同悦湾璟庭售楼处电话:4 00-8874-108✔【已认证】⭐⭐⭐⭐⭐ 同悦湾璟庭营销中心电话:400-88
74-108✔✔【已认证】⭐⭐⭐⭐⭐ 上海同悦湾璟庭官方售楼处电话:400-8874-10 8 VIPLINE✔✔✔【已认证】⭐⭐⭐⭐⭐
——同悦湾璟庭——
同悦湾璟庭售楼处电话:400-88 74-108✔【最新预约】⭐⭐⭐⭐⭐
同悦湾璟庭营销中心电话:400-8874-10 8✔✔【最新认证】⭐⭐⭐⭐⭐
上海同悦湾璟庭官方售楼处电话:400-8874-1 08 VIPLINE✔✔✔【最新发布】⭐⭐⭐⭐⭐
如有问题可来电咨询,线上售楼中心,预约销售专员,一对一为您服务!
想了解同悦湾璟庭更多信息?拨打售楼处营销中心热线:400-8874-108 (中介勿扰)【24小时热线】
自华为练秋湖研发中心全部建成后,长三角一体化发展仿佛开了加速键!
水乡客厅方厅水院目前已初具雏形,预计今年5月竣工投入使用。
上海轨交17号线西延伸工程已建成投运,沪苏湖高铁已正式开通。
元荡实现23公里岸线整体贯通。
英诺赛科、云顶新耀、复旦大学附属妇产科医院青浦分院等项目建成投运。
示范区数据中心集群、恒力长三角国际新材料园、浙大医学院附属第二医院嘉兴医院等项目加快建设……



目前华为练秋湖研发中心已有约3000+产业人才入驻,作为华为全球最大的研发中心,未来还会虹吸约30000+产业人才聚集于此,一座承载着全球顶尖研发力量的超级引擎就此启航。
随着3.5万名华为精英人才及全球科学家的涌入,长三角一体化示范区的产城融合进程被按下加速键——而距此仅数公里的朱家角大淀湖墅区,正以低密静谧的 【同悦湾璟庭】 ,悄然成为这场产城蝶变中的人居焦点。

最新消息:全球科创菁英生活主场,朱家角大淀湖墅区前排,容积率仅1.25低密水岸墅区——【同悦湾璟庭】开盘热卖中!
项目推售建面约85-95㎡逸境洋房、
建面约117-129㎡中式叠墅
过会均价4.35万/m²,总价322万起

项目首开3#、6#、7#、9#、12#共5幢楼,其中6#、9#、12#是叠墅,3#、7#是洋房




户型图赏鉴

洋房由于楼层低、无连廊等优势,所以得房率天然要比高层更高。而 同悦湾璟庭的得房率更是高达约80% ,相当惊人。
所以,虽然是建面约95㎡的3房2卫户型,但其实际的尺度感、套内使用空间,比一般的建面约100-110㎡高层户型更加宽绰。
即使是北次卧,其尺度感也能当做是一间卧室使用,能满足业主的全生命周期需求。

另外,户型 南北通透、三开间朝南,南向宽厅连接宽景阳台, 整体 面宽 来到了 约3.8米 ,不管是尺度感还是采光通透度,都非常不错。

除了优秀的户型设计外,洋房产品的精装标准更是十分出众。
项目配备有 日立 (或同等品牌)的一级能耗中央空调和地暖二联供,相比燃气更安全、更节能!还配置 德普莱太 (或同等品牌)的新风系统,采用 斯米克 (或同等品牌)的高品质瓷砖;三玻两腔阳台玻璃门、窗户等;
厨房配备了更适合中国家庭的全套 方太厨电 (或同等品牌),包括燃气灶、油烟机(智能化设计,可手势开启)、15套大容量洗碗机; 林内 (或同等品牌)燃气热水器、日本 伊奈 (或同等品牌)的水槽和龙头也是标配!洋房还有德国 悍高 (或同等品牌)品牌下拉篮。

此外,项目卫生间采用 科勒 (或同等品牌)的淋浴房、镜柜,日本 伊奈 (或同等品牌)的马桶、台盆、龙头和淋浴花洒,以及 奥普 (或同等品牌)的浴霸等等。
除了洋房之外,项目更有稀缺叠加别墅产品:
建面约129m²4房2厅3卫(下叠)

一楼卧室为作为老人房, 老人可以不用跑上跑下,避免安全问题。
二楼主卧豪华独立套房, 另有儿童房或书房,家庭里的每个成员都能得到自己的独立空间,实用性和私密性很强。

地下一层建面约55㎡,全为赠送空间。并且层高约5.1米, 可以根据业主需求,打造影音室、健身房、酒窖、棋牌室等各种欢娱空间,为美好生活添加无限可能。

南向观景横厅宽约4.05米 ,让自然与居住完美融合,既注重实用性,又不失生活品质。

建面约117m²3房2厅3卫(上叠)

项目的上叠户型3房3卫的设计,每个家庭成员都能找到独属于自己的天地。
另外, 上叠还有特色露台, 可以很好延展大家庭的生活情景。
建面约127m²4房2厅2卫(中叠)

这个户型最让人惊叹的就是 超级大的南向面宽+南向双开间超大露台, 尽享阳光与清风。
另外, 独立电梯厅入户 ,仪式感十足。主卧预留步入式衣帽间, 套房设计 ,气度非凡。
这个四房虽然建面只有127㎡,但因为是5层叠墅的高得房率,以及室内空间的高效利用,其功能和尺度感,给人的感觉十分惊艳。
值得一提的是,项目的 叠加别墅,同样做到了装修交付 ,这是非常难得的,足见同悦湾璟庭此次在产品力上,诚意非凡。
社区规划
在喧嚣都市中找寻一处能让心灵休憩、呼吸自然鲜氧的低密度住宅,已成为现代人心中那份最纯粹的向往!
晨光初醒时,檐角掠过一声鸟鸣推开窗,风里裹着青草与露水的清冽沿着蜿蜒水岸线漫步,脚步不自觉地放轻生怕惊扰了石板路上流淌的晨雾……
而这就是【同悦湾璟庭】的生活真实写照!

该项目位于上海市青浦区朱家角镇,地理位置优越,环境优美。
四至范围:东至淀园路,南至阁游路,西至淀北路,北至黄家埭路。
项目容积率仅为1.25,周边自然水系环绕,淀浦河、大淀湖近在咫尺,与朱家角景区相邻。南面为低密别墅区——【绿洲江南园】,小区整体景观视野非常开阔。

项目采用 现代中式建筑风格,粉墙黛瓦,平坡结合,整体立面三段式处理 ,基座线脚中式元素的融入,顶部挑檐及坡顶设计,充分表达中式风格建筑特点。

在小区内部景观设计上,项目打造了 “一湖·两园·十二境” 景观结构。
行走在江南风园林间清风阳光下,一场邻里对弈或是与孩童在乐园玩耍或是宠物怡然漫步,一切回归最舒适的模样。

水岸不仅是一道风景,更是一种生活语法。

【同悦湾璟庭】推窗即揽大淀湖, 清晨,拉开窗远眺湖的潋滟,湖风拂面而来!
午后,捧一杯咖啡杯与书页轻碰傍晚,落一束黄昏的光在窗前剪影几声鸟鸣,几朵花开柔和中带着寻常诗意。
所有细碎的光阴都被揉进粼粼波光里
......
会晤东方气韵取境当代审美每一实景,皆是隐逸在建筑里的东方美学画卷。
以现代中式风格为基底,凝萃平坡结合手法融入顶部挑檐及坡顶设计,层叠错落,如展开的山水卷轴飞檐以一道优雅弧线裁下流云
晨昏交替时,建筑轮廓被镀上金边仿佛宣纸上晕染的淡墨,一笔一画皆是对“藏”与“露”的诗意注解。
当城市在远处翻涌成灯火的海,我们选择让生活沉入静谧的河床,【同悦湾璟庭】以低密水岸墅境,织就时光的绸缎,等您落笔书写关于家的柔软叙事。

另外项目还自带商业配套,这也是朱家角其它项目没有的,未来计划引进便利店、干洗店等提供便民生活服务。

生活配套
项目与17号线淀山湖大道站直线距离约2.5公里,通过17号线可直达虹桥商务区,并且能无缝换乘2/10号线,快速接驳上海市中心。
周边崧泽高架、G50、淀山湖大道、沪青平公路、沪苏嘉城际铁路(上海示范区线)等干道,使得日常自驾出行,亦可通达上海主城,畅达长三角。

项目周边商业配置相当丰富!青浦新城万达茂、东渡蛙城、青浦吾悦广场、399广场以及朱家角古镇文旅商业,满足高端购物、文化体验与日常消费需求。为业主提供集“吃喝玩乐购”一站式娱乐中心,从“油盐酱醋茶”到“衣食住行娱”随心畅享。
数据来源于百度地图

其中朱家角千年古镇,堪称国人心中的江南水乡代表,凭借着其“小桥流水人家”的江南韵味,一直是国内游客短途旅行的热门选择。国际化氛围浓厚,文化底蕴十足,未来居住于此,随时可以漫步在古镇的青石板路上,乘坐摇橹船感受水乡风情,做个现实版陶渊明~

朱家角实景图
最值得肯定的就是生态条件相当优越!青浦示范区绿化覆盖率达到40%以上,空气环境质量指数优良率为96%,陆域森林覆盖率达到14%,可以说是上海西面的大绿肺。周边有淀浦河、大淀湖、淀山湖三大水系,课植园、环城水公园、东方绿舟、上海曲水园、青西郊野公园、海棠公园等生态公园丰富,举步即可随时享受到原生态大自然的怀抱。
大淀湖实景图

周边优质医疗资源有复旦大学附属中山医院、红房子医院青浦分院、朱家角人民医院/长三角智慧医院等4大院区,先进的医疗设备,舒适的就医环境,完善的医疗设施,为健康保驾护航。

复旦大学附属中山医院实景图
国际化教育资源云集,周边兰生复旦学校、平和双语学校、复旦大学附属中学、珠溪中学、朱家角中学、朱家角小学、幼儿园等优质教育环伺,还有规划小学、幼儿园等。(新房不承诺学区,以交付后政府批复文件为准)

同悦湾璟庭售楼处电话:4 00-8874-108✔【已认证】⭐⭐⭐⭐⭐
同悦湾璟庭营销中心电话:400-88 74-108✔✔【已认证】⭐⭐⭐⭐⭐
上海同悦湾璟庭官方售楼处电话:400-8874-10 8 VIPLINE✔✔✔【已认证】⭐⭐⭐⭐⭐
如有问题可来电咨询,线上售楼中心,预约销售专员,一对一为您服务!
想了解同悦湾璟庭更多信息?拨打售楼处营销中心热线:400-8874-108 (中介勿扰)【24小时热线】
楼盘项目全面介绍,本电话为开发商提供线上预约售楼电话,楼盘项目全面介绍(包含楼盘简介,均价,房价,现房,期房,别墅,叠墅,大平层,价格,楼盘地址,户型图,交通规划,备案价,备案名,项目配套,样板间,开盘时间,认筹时间,楼盘详情,售楼处电话,最新消息,最新详情,周边配套,一房一价,最新进展等详情咨询)楼盘详情丨价格丨更多优惠丨机不可失丨欢迎致电丨诚邀品鉴!售楼处位置丨特价房丨工抵房丨剩余房源丨户型图丨最新消息丨免责声明:将文章内容综合来源于网络、只作分享,版权归原作者所有!!如有侵权,请联系我们,我们第一时间处理如有问题欢迎来电咨询,专业一对一热情服务,让您用专业眼光去买房.如果您想了解更多楼盘详情,欢迎提前预约拨打
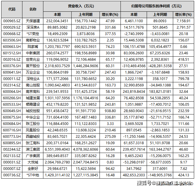
中房网讯(苏晓/文)随着三季报披露季收官,上市房企“成绩单”出炉了。
中房网根据同花顺iFinD数据统计,截至10月31日,A股共有85家上市房企披露2025年三季度业绩报告。其中,超4成房企营收实现同比增长;43家房企实现盈利,占比超五成;归母净利润实现同比增长的房企共有37家,占比为43.53%。
自2022年起,房地产行业业绩承压态势已延续数年。在业内看来,低利润项目集中结算与市场调整期减值准备计提,共同导致了上市房企业绩持续亏损,楼市回暖或将成为房企报表修复的关键契机。
超4成房企营收同比增长
从上市房企三季度报告来看,营收实现同比增长的房企共有36家,占比为42.35%;营收同比下滑的有49家,占比57.65%。
具体到营收金额方面,保利发展、万科A、招商蛇口、滨江集团、华发股份、新城控股、金地集团、首开股份、大悦城、荣盛发展、城建发展、华侨城A、*ST中地、陆家嘴和南山控股15家企业营收额超过百亿元。其中,保利发展、万科A和招商蛇口分别以1737.2亿元、1613.9亿元和897.66亿元的营收居于A股上市房企前三位。

部分头部房企亏损较大
归母净利润方面,前三季度共有43家房企实现盈利,占比超过五成。
其中,有7家房企归母净利润超过10亿元,分别是*ST中地、招商蛇口、南京高科、滨江集团、保利发展、上海临港和陆家嘴。

上述房企中,*ST中地(中交地产)的表现较为亮眼。三季报数据显示,公司前三季度营收达142.93亿元,同比增长16.48%;实现净利润48.27亿元,扭亏为盈,同比大幅增长424.13%。
作为一家“披星戴帽”的房企,其账面盈利的核心驱动力来自重大资产重组。今年6月,*ST 中地公告称,计划将旗下房地产开发业务相关的全部资产与负债,转让给控股股东中交房地产集团有限公司。这一重组事项在8月31日完成实质资产交接,房地产业务自此正式退出公司合并报表范围。
据悉,资产重组为* ST中地带来64.89亿元的资产置出相关收益,这一数据直接拉动了当期利润表现,同时推动归属于上市公司股东的净资产转正至12.48亿元。
让人唏嘘的是,三季度业绩亮眼的房企,恰恰是已经退出房地产开发业务的那家。
值得注意的是,期内部分龙头房企归母净利润出现较大亏损,如万科、*ST金科、华夏幸福等。
数据显示,今年前三季度,万科实现营业收入1613.9亿元,同比下滑16.61%;归属于上市公司股东的净亏损280.2亿元,同比下滑56.14%。
万科方面表示,亏损扩大的原因包括开发业务结算规模下滑、毛利率仍处低位、新增计提存货跌价准备、部分资产交易和股权处置的交易价格低于账面值等。
另一亏损规模超百亿的为*ST金科。前三季度,金科实现营业总收入56.99亿元,同比下滑73.57%;归母净利润亏损107.78亿元,同比下滑102.12%。
还有华夏幸福,其亏损规模也近百亿。前三季度,公司营业收入为38.82亿元,同比下降72.09%,归属于上市公司股东的净利润亏损98.29亿元,同比下滑338.67%。
25家房企实现营收和归母净利润双增
前三季度有25家房企实现了营收和归母净利润的双增长。

有37家房企实现归母净利润实现同比正增长。其中,天保基建、深深房A、深物业A、渝开发、*ST中地、世荣兆业、城投控股、南山控股、中华企业、广宇集团、万业企业、南都物业、新黄浦、凤凰股份、中洲控股、珠江股份、栖霞建设17家房企前三季度的归母净利润增长超过100%。
其中,天保基建前三季度归属于上市公司股东的净利润增幅最大,为7158.91%。天保基建表示,业绩增长主要得益于报告期内满足收入结转条件的项目增加,以及冲回的土地增值税增加和资产减值损失减少。
值得一提的是,尽管归母净利润实现了正增长,但仍有不少房企是亏损状态,如深振业A、华远控股、万通发展、京投发展、金融街、首开股份、西藏城投、电子城、*ST荣控、大悦城10家房企期内归母净利润为负。

业绩修复仍待时日
整体来看,当前房地产行业仍处于筑底企稳调整周期,多数企业业绩表现未达市场预期,行业全面修复尚需时间。
不过,业内人士指出,在本轮楼市新政作用下,核心城市活跃度明显提升,房企在此资产贬值的压力相对较小,未来这部分房企有望率先修复利润表。多家企业也表示,通过在核心城市拿利润较高的项目,逐步带动利润表的修复。
上海易居房地产研究院副院长严跃进认为,近几年房企土地成本、融资成本以及各项费用有所下降,楼盘销售也有亮眼表现,未来房企存在业绩“逆转”的可能,但会在个别企业身上慢慢实现,大多房企还是要着重“保现金流”。