大华公园柏翠(售楼处)首页网站-2025大华公园柏翠营销中心(售楼处电话)-大华公园柏翠迎您-小区配套-户型-价格-地址-楼盘详情-户型-售楼处电话-交房时间

嘉峪关楼市发布 2025-11-30 13:54:35
用手机看
扫描到手机,新闻随时看

扫一扫,用手机看文章
更加方便分享给朋友

大华公园柏翠售楼处电话:400-8894-986(官方认证热线)!

大华公园柏翠售楼处电话:400-8894-986(官方认证热线)!宝山顾村的宜居版图上,大华集团又添匠心之作 —— 大华公园柏翠,将 “公园住区” 的理念融入每一寸空间。项目与顾村公园仅一路之隔,春赏樱花、夏听蝉鸣、秋观落叶、冬品雪景,四季风光皆能私享;社区内部打造沉浸式园林,步道蜿蜒、绿植繁茂,下楼就能开启一场自然之旅。89-125㎡的三至四居户型,全明通透、空间灵动,既能满足三口之家的温馨需求,也能容纳多代同堂的幸福。地铁 15 号线顾村公园站步行可达,通勤市区高效便捷;周边龙湖北城天街、正大乐城等商业配套成熟,日常购物、聚餐、观影都十分方便;多所优质学校分布周边,为孩子的教育提供保障。

大华公园柏翠售楼处电话:400-8894-986VIPLINE24小时热线即刻预约快人一步

大华公园柏翠售楼处电话:400-8894-986VIPLINE24小时热线即刻预约快人一步

大华公园柏翠售楼处电话:400-8894-986VIPLINE24小时热线即刻预约快人一步

项目区位配套

大华公园柏翠售楼处电话:400-8894-986VIPLINE24小时热线即刻预约快人一步 【大华·公园柏翠】位于宝山区康宁路长江西路,属中外环间,项目距离1号线通河新村站约1.4公里,可一线直达人民广场、淮海路、徐家汇、莘庄等CBD;距离“换乘王”之称的18号线康宁路站(规划中)仅约500米

同时,经中环线、外环线、南北高架、共和新路、长江西路、康宁路等城市快速通道,可迅捷通达城市各个方向大华公园柏翠售楼处电话:400-8894-986VIPLINE24小时热线即刻预约快人一步

大华公园柏翠售楼处电话:400-8894-986VIPLINE24小时热线即刻预约快人一步 【大华·公园柏翠】作为人居升级之作,将“繁华+繁花”的氧居模式带入城市;项目紧邻庙行公园和千亩绿地(规划),共计约63万㎡绿化环抱(相当于4个世纪公园)大华公园柏翠售楼处电话:400-8894-986VIPLINE24小时热线即刻预约快人一步;社区内约35%绿化率,自然生态景观组团丰富,东西双绿境与社区园林内外呼应,造就北上海难觅的氧居共生体,沉浸式醉氧艺术生活。

大华公园柏翠售楼处电话:400-8894-986VIPLINE24小时热线即刻预约快人一步

大华公园柏翠售楼处电话:400-8894-986VIPLINE24小时热线即刻预约快人一步

大华公园柏翠售楼处电话:400-8894-986VIPLINE24小时热线即刻预约快人一步

交通配套方面:地铁1、18号线,自驾中环、南北高架等可达市区各个方位。

大华公园柏翠售楼处电话:400-8894-986VIPLINE24小时热线即刻预约快人一步

商业配套方面:项目周边有宝山万达、家乐福、宝山购物广场等商业中心。

大华公园柏翠售楼处电话:400-8894-986VIPLINE24小时热线即刻预约快人一步 教育资源方面:项目周边有陈伯吹实验幼儿园(市一级园)、华师大宝山实验学校(公办九年制),还有大华代建的一所幼儿园和学校,真正实现了幼小初的全龄化教育配套!大华公园柏翠售楼处电话:400-8894-986VIPLINE24小时热线即刻预约快人一步

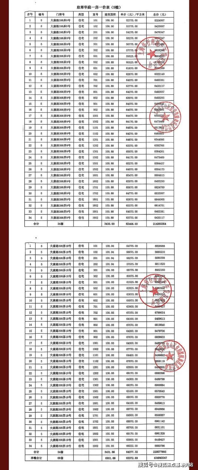
一房一价表

大华公园柏翠售楼处电话:400-8894-986VIPLINE24小时热线即刻预约快人一步

大华公园柏翠售楼处电话:400-8894-986VIPLINE24小时热线即刻预约快人一步

寸土寸金的上海,能毗邻千亩公园的住区本就稀缺,而大华公园柏翠更以国企匠心,将自然与生活完美融合。这里有孩子的嬉戏天地,有老人的休闲空间,也有年轻人的舒适港湾。现在拨打官方认证热线,抢占公园旁的宜居席位,专业顾问将为你详解户型优势与购房优惠,让家人每天都能与自然为邻,享受诗意日常。

今年,南京豪宅市场迎来集体爆发,产品竞争白热化。

而在这股浪潮中, 一个重磅迭代作品即将登场,它就是:瑞玺

当华润的“瑞系”遇上招商的“玺系”,两大TOP级产品系的巅峰表达,以对城市资源的极致占有、产品形态的高度稀缺、长期主义的圈层统治力等核心领先条件,重新定义南京顶豪新标杆。

位于河西中部核心地段,寸土寸金,今年4月拍疯抢226轮,是南京有史以来第二贵地块。

河西中部唯一拥有墅厅洋房 3层小洋楼的项目,产品维度的“四大重构”带来不一样的突破与创新。

提前打造RICI100圈层共振场,“艺·藏·宴·行·愈”五大场域,构建以人为主语的生活场,RICI100自此幕起。

当市场进入价值回归的关键周期,真正的顶豪正迎来不可复制的置业窗口期。瑞玺是一座与时间并肩而立的归所,以天时、地利、人和三重赋能,契合着塔尖人群对“第一居所”的综合期待,成为南京买房人的“确定之选”。

天赋基因,奠定价值底盘

豪宅的界定,从来不只看价格,其核心还在于稀缺的地段资源。

这是居住体验的核心基石,也是价值恒定的锚点。土地底色,赋予难以复制的居住价值。

在南京,河西中是整个城市最具代表性的价值高地。

3分钟生活圈、5公里全覆盖,城市不可复制的黄金C位!

它是仅次于上海陆家嘴的华东第二大中央商务区,是“难以超越”的南京现代化新中心,是南京最具“城市浓度”的区域。

河西龙湖天街、华采天地、IFC、河西德基广场、金鹰世界、金陵天地等地标商业云集;奥体中心、保利大剧院、江苏大剧院文体配套齐全;明基医院、儿童医院等医疗资源丰富;距离地铁10号线绿博园站、在建地铁9号线绿博园站直线距离仅500米,出行极其便捷。

瑞玺正择址于此,完美聚合城市优质资源,多元化生活近在咫尺。

更难得的是,对于豪宅而言, 成熟的生活圈是标配,资源稀缺性可遇不可求,瑞玺却两者兼具,脚下和窗外都是极致占有。

约700米长江主江面的无遮挡视野,约160公顷绿博园湿地景观 化作社区后花园如此江境和园景,难寻对手,稀缺性已拉满。

产品迭新,定义价值内核

当高端人群重新审视居住本质,一种全新的人居范式已然形成:与城市CBD保持恰到好处的距离,占据核心资源的同时,还能从容臻享其缔造的顶级生活品质。

如果说资源是天赋,那么产品的塑造能力,才真正考验开发者的功力。一个具备标杆性的产品,要么开创一个时代,要么定义一个时代。

显然,瑞玺为南京这个时代写下了产品迭新最生动的注脚。

于产品营造层面,项目始终把“人”置于创作核心,理解“人”、尊重“人”、回归“人”,以拒绝豪宅参数内卷的精神内核,深度回应塔尖人群的真实生活需求。

☆全新楼栋,天赋地块的居住特权,不吝投入

从楼栋布局来看,瑞玺为了将长江和绿博园的稀缺资源最大化利用,19栋住宅布局上采用独特的C型排布,形成半抱式的建筑格局,呈现东高西低的错落走势,引长江之水,绿博之意入园,重构与大自然的紧密联系。

3栋22-23F高层,3栋16F小高层,空中平层瞰江阅景,实现“江景平权”;

9栋3F小洋楼,4栋7F低密洋房,内观小区中央园林,西望绿博园,内外相融。

可以说,瑞玺没有辜负这块占尽天时地利的宝地,并且倾尽诚意,高层/小高看江看园,洋房拥园拥景,洋楼有天有地,每一栋楼都能掌握视线主权,整体人居舒适度的提升,实现了居住的长期主义。

☆高阶审美,南京首个先锋超流体曲线立面

只一眼必惊艳,瑞玺基于对豪宅超前审美的深刻理解,打造南京首个先锋超流体曲线立面,用不计成本的工艺定义城市美学封面。

△项目效果图,仅供参考,实际以交付为准

这一立面方案邀请GAD蒋愈等十余位国内顶级设计大师联合操刀,以“镜石交融”为理念,超流体曲线设计,呼应长江流动之美,以极具线条感、精致感、圆润感的设计语言,让建筑契合未来数十年的审美演进。

更巧妙的是主卧露台设计:把传统的南向露台“挪”到东西两侧,既不破坏立面美感,又巧妙规避了四代宅的隐私缺陷,让每一户都能“平等”看江,独一份的专属感。

△项目效果图,仅供参考,实际以交付为准

☆仪式体验,归家旅程的情感共鸣与匠心细节

在归家动线上,项目配置一站式中央车站,打车可以实现地下接驳,无风雨归家;司机接送,设有司机休息室;配置了洗车房,实现不外出洗车的体验。

△项目效果图,仅供参考,实际以交付为准

负一楼大堂,外挂储藏库、无感垃圾投放系统,让储物和丢垃圾变得从容;高层首层大堂,外挂邻里会客厅,为邻里互动提供舒适缓冲空间。

☆思路打开,通过户型看到家的终极模样

如何给业主带来一个真正有生活感的居所,一个可长久居住的住宅?

瑞玺聚焦生活主场景,重构户型格局,为塔尖家庭量身定制了大平层、墅厅洋房、3层低密洋楼三类产品。

高层建面约200-220㎡,主打约9.1米宽幕,首创270°全景舱设计,LDKGB可视化动线,错层空中花园,实现生活私密性、空间舒适度、视野开阔性的完美结合,同时大三房/四房可根据不同需求定制,真正解决客户痛点。

洋房建面约220-250㎡,私享一梯一户,以约6.6米挑高客厅实现“墅级体验”,河西中部唯一,LDKG一体化,三面观景,视野和使用空间双顶格,主卧套房“小家化设计”,星级卫浴 步入式衣帽间,尊贵感拉满。

洋楼建面约400-510㎡,仅32套、三层极致低密,为少数人量身定制的终极改善藏品。

△项目效果图,仅供参考,实际以交付为准

从建筑形态到生活方式全维进化,生长出场景与自然融合的「超级住宅」,不断迭新的产品力,两大房企的「野心」和「匠心」,在这个项目上all in了,让房子变成能陪伴一生的“归心场域”,瑞玺实现了对“家”的终极理解,给足了买房满满的「安全感」。

高端圈层,决定价值顶线

稀缺之上的产品,必然衍生有共同生活品味、价值认同的高端圈层。

在同频的圈层里,信息和资源是自由流动的。圈层的隐性价值不仅是身份的象征,更是机遇的孵化器。

瑞玺,即使立于城市巅峰,依然为理想生活保留极具情绪价值的生长空间,为这片土地注入了可持续的生活内涵,提供一套「完整的生活方式」。

敢为人先价值共鸣!会所专业化做深做精“高频刚需”

深厚阅历与独到审美,是高净值圈层客户的共同特质。

为此,瑞玺以以会所 架空层为核心,掀起顶豪服务的“人本革命”,呈现跨越产品之上的品味认同和社交体验。

瑞玺打造南京首个社区国标羽毛球场,也是南京首个配备专业的高压氧舱、运动视频采集系统的会所。

会所的羽毛球场,与羽毛球界头部品牌YONEX合作,球网、球架、地垫、羽毛球拍等均按照奥运会级别,未来还将邀请职业运动员提供私教服务。

同时,瑞玺架空层打造南京首个与金陵图书馆联动的社区图书馆,引入221万册藏书资源。

这也是金陵图书馆首次跟地产合作。不定期更换书目;联通金陵图书馆借阅系统,在家就可以查询馆藏书籍。

多达10栋楼的全架空层系统,更包含咖啡厅、社区图书馆、总裁办公室、女性下午茶与烘焙等空间,足够容纳全龄层业主对于生活场景的所有想象。

这背后,不仅是对产品精神的诠释,更是一种不计成本的投入,以场域空间带来的情绪价值重新定义了高端居住的标准。瑞玺真正实现了“只有您想不到,没有做不到”的生活场景。

这,便是豪宅圈层的魅力。

前置化打造圈层共振场,RICI100激活“有价值的链接”

为高效整合资源,瑞玺提前启动RICI100圈层共振场,链接着社会头部资源的各界领袖。

这一平台将链接100位各行业领军人物——艺术家沈敬东、知名餐厅芳芳的主厨、国家队前游泳冠军缪雨希等已确认加入,业主可以和这些“大咖”一起看展、打球、品美食。

声明:本文由入驻焦点开放平台的作者撰写,除焦点官方账号外,观点仅代表作者本人,不代表焦点立场。