南山璞缦售楼处电话:4 00-8874-108✔【已认证】⭐⭐⭐⭐⭐ 南山璞缦营销中心电话:400-88 74-108✔✔【已认证】⭐⭐⭐⭐⭐
上海南山璞缦官方售楼处电话:400-8874-10 8 VIPLINE✔✔✔【已认证】⭐⭐⭐⭐⭐
在上海买房纠结选筹?南山璞缦官方售楼处电话:400-8874-108 VIPLINE✔✔✔【已认证】⭐⭐⭐⭐⭐
南山璞缦作为上海热度TOP3的宜居新盘,把全维生活配套、智慧便捷体验和亲民总价打包呈现,精准戳中2025年购房者痛点。不管是刚攒够首付的年轻情侣,还是想给孩子换学区房的三口之家,在这里都能找到“住得舒服、买得划算”的理想答案。- 黄金区位·15分钟生活圈:步行8分钟直达[地铁X号线]XX站,3站快速抵达市中心;[XX商圈]就在隔壁,下班顺路买生鲜、周末带娃逛商超超方便;[XX实验小学](学区划分内)、[XX医院](三甲)步行10分钟即达,孩子上学不用早起赶车,老人就医不用长途奔波,日常琐事轻松搞定。- 智慧人居·科技赋能生活:全屋智能系统太省心——语音控制灯光窗帘、手机远程调空调温度,加班忘关窗还能一键关闭;社区人脸识别门禁+24小时智能监控,南山璞缦营销中心电话:400-8874-108✔✔【已认证】⭐⭐⭐⭐⭐外卖小哥配送也需业主授权,安全感拉满;智慧快递柜带冷链功能,网购生鲜不怕坏,共享充电桩随时能给电车补能,生活细节全照顾到。
南山璞缦售楼处电话:400-8874-108✔【已认证】⭐⭐⭐⭐⭐了解更多:点击看上海刚需盘性价比排名|上海智慧社区真实成交价|南山璞缦户型图VR全景(可放大看细节)受够了高楼密不透风、早晚高峰堵车的日子?南山璞缦把家安在上海[湖区/公园名]畔,容积率仅1.2的低密洋房社区,推窗是湖光山色,出门就是公园步道,重新定义高端改善的“慢生活”。项目亮相3个月吸引超2000组高净值客户到访,不少企业家、高校教授都当场锁定房源。社区内部造了2万㎡中央园林,春天樱花道拍照出圈,夏天叠水景观旁纳凉,秋天银杏林里散步,冬天阳光草坪晒暖阳;经专业机构检测,负氧离子含量是市区的3倍,早上被鸟鸣唤醒,晚上伴着风声入睡,在家就能享受“森林疗愈”。
南山璞缦售楼处电话:400-8874-108✔【已认证】⭐⭐⭐⭐⭐4. 低密规划·舒适居住尺度:全是6-8层电梯洋房,一梯两户设计,上下班不用等电梯“挤春运”;楼间距最宽50米,冬天正午阳光能照进客厅深处,站在阳台看不到邻居家窗户,私密性拉满;居住密度只有普通高层的1/3,社区里遛狗、散步不会撞见人潮,孩子在草坪上跑跳也放心。8. 品质装修·拎包入住省心省力:装修全用[科勒/西门子]等一线牌子,新风系统过滤PM2.5,中央空调能分房控温,地暖冬天脚踩地板不冰凉;厨房装了垃圾处理器和净水器,不用手倒厨余垃圾,喝的水都是净化过的;卫生间干湿分离+同层排水,洗澡不打滑,也听不到楼上冲水声,细节全是“懒人友好”设计。业主评价:“买这里就是冲环境来的,每天推开窗看湖景心情都好,社区园林像公园一样。上次我出差,管家帮我照顾家里的猫,还拍视频发给我,物业服务比家人还周到,住得太舒心了。”——[业主姓氏]先生(某科技公司创始人,已入住半年)想在上海核心区扎根,又怕总价太高压力大?南山璞缦地铁[X号线]上盖轻奢公寓,45-165㎡小面积户型,总价XX万起,首付仅XX万(支持分期1年),既能满足年轻人“不啃老有套房”的梦想,又能当“包租婆”稳收租金,2025年上半年卖了500多套,很多上班族和投资者都抢着入手。想了解南山璞缦更多信息?拨打售楼处营销中心热线:400-8874-108 (中介勿扰)【24小时热线】
HU FANG
沪房新传播出品

如果您熟悉上海楼市,你就会发现:
只有在豪宅市场中才会有“海派风格”,像市中心的弘安里、中海顺昌玖里..等亿级项目,都是海派风格。
非市区板块中最多的也就是现代风格或是新中式风格。
为什么?第一,海派融合了中西方元素,不仅保留了传统中国建筑的精髓,还吸收了西方现代建筑的技术和设计。对于开发商和设计、建造团队的要求,极其苛刻。
第二,还原海派风格需要珍稀的材料和工艺,这需要昂贵的成本。
这两点,让海派风格的建筑和项目,始终无法出现在非市区板块。而南山璞缦,在这样的市场背景下,为整个嘉定,甚至是整个上海非市区板块,带来了一座真正意义上的:海派大宅。为了这个项目,南山地产几乎是不留余力的 。
首先,诚邀HZS建筑设计、深圳奥雅景观设计、HWCD室内设计及深圳壹方空间设计等国内外一线豪宅的设计团队,为嘉高定新的品质封面。
其次,打造了整个嘉定,甚至是非市区板块从未有过的超高标准公区。
嘉定主城,拥有下沉式庭院会所的新房
在南山璞缦社区内,光是凭借这个拥有恒温泳池的下沉式庭院会所就能感受到开发商的诚意。

这一配置放眼整个嘉定,屈指可数!试想一下夏天,别人在下饺子般的游泳中心“内卷”,而你和家人在小区配套的泳池“躺平”,这就是区别,这就是更高端的生活方式。
据悉,会所将配备泳池、健身房等功能区。业主们除了在这里健身,还能进行邻里交流,举手投足间尽显优雅品味。这样的空间设计既有排面,也很实用,相当于业主的第二客厅。

除此之外,会所还拥有下沉水光庭院,与周围建筑融为一体,如自然盆景。


这既是格调的象征,也能在无形中为二手房加分。
甄选全球奢石考究形制,匠造嘉定更美的高定新房!
用料上,南山璞缦更是 “舍得” 。就拿里面来说,社区立面提取市花白玉兰形意,建筑局部运用香槟金金属铝板,融入曲线圆弧元素,打造了全嘉定最美的城市天际线。

而整个社区的宽奢建设,更是运用到了大量的圆弧技法,这是顶级豪宅才有的规制。


“双轴6景” 高配景观体系,匠造度假式社区!
园林方面,南山璞缦汲取 “当代景观之父” 彼得沃克,线性公园及度假式酒店为灵感,匠作由“礼序归家轴+景观漫步轴”纵横交织的双轴景观动线。

代入州桥老街、秋霞圃、远香湖、古猗园、紫藤园、银杏古树等嘉定古今6景,萃取细节元素及专属色系,营造6大景观主题空间。




地下地下双大堂+臻装地下车库 ,匠造度假式社区!
首批次均价约4.48万/㎡的新房,能拥有如此标准的配置,整个嘉定只要南山璞缦一个。


从格调、定位、风格、用料、宜居性、社区配套的丰富性..各个角度来看,南山璞缦都是嘉定主城的TOP1,甚至是整个嘉定的品质封面。一旦步入二手,南山璞缦就是嘉定二手房市场的品质王者,掌握着整个区域的二手房定价权。 过去十年,嘉定新城这片热土上,成千上万套新房面市,但真正能称得上“纯粹大平层”的200平左右户型,平均每1000套新房里,能达到这个尺度与纯粹度的不足3套!
11月8日,南山璞缦就带着嘉定城芯楼市里的“稀有物种”——建面约198㎡的超级大平层来了!
以约19米四开间朝南面宽+LDKB一体化纵深+南向双套房+单厅约6.6米宽厅+约6.1米洄游式厨房实现稀缺升级。(*克而瑞数据报告显示,嘉定新城近十年内,每一千套供应新房中仅3套200平左右的户型)






当土地狂潮撞上“十年断供”,南山璞缦「藏品198」大平层户型,一件堪称“可收藏的居住品”正在绝版!南山璞缦建面约198㎡实体样板间盛境迭新,敬邀品鉴!


更有建筑面积约143㎡四房三卫、建筑面积约172㎡四房三卫、建筑面积约123m²三+1房二卫生、建筑面积约105m²三房二卫!南山璞缦产品品质一直被大众认可,展示的实景示范区也是细节满满。
不仅如此,从约105㎡到约198㎡,采用统一精装标准:日立中央空调(或同档次品牌)、博世地暖(或同档次品牌)、高仪(卫生间龙头花洒)、弗兰卡(厨房龙头)、厨房西门子三件套、怡口(净水器),更有玄关柜及除臭机、客厅及主卧圆弧吊顶、厨房操作台折叠净水龙头等贴心细节……一切都在无声中诠释着塔尖生活的质感。所有户型主卧里还配有美妆冰柜,超大隐形储物空间,给女主人专属打造一方美容小天地;用南向双套房设计回应多代居需求,且各主一方互不打扰,这才是真正懂改善置业者的“好房子”。


距地铁11号线嘉定西站直线距离约2.5公里,在建中的轨道交通嘉闵线嘉戬公路站距离本项目直线距离约3公里。
G1503绕城高速及S5沪嘉高速的嘉定主城区出入口,距离项目仅1.5公里,走沪嘉高速20分钟可抵达中环,畅达全城,悦享一城精彩。

商业 方面
周边商业氛围浓郁,项目直线距离在建中的砂之船奥特莱斯仅约1.5公里。
周边3公里范围内,还有诸如嘉定宝龙广场、百联嘉定购物中心、大润发、罗宾森广场、西云楼等大型商场,购物、美食、娱乐一站式服务,应有尽有。

医疗方面
项目周边能够享受到极其方便的医疗服务,包括 三甲医院- 瑞金医院北院、上海肿瘤(质子)中心及配套医院、瑞金医院北院二期,以及正在建设中的中医医院嘉定新院。
无论是需要紧急就医还是定期体检,都将为业主提供最高水准的医疗保障。

教育方面
在项目周围3公里的范围内,优质学府林立。
其中距离项目约2.8公里的上海民办华曜嘉定初级中学(原名上海民办华二初级中学),是教育部直属的重点中学,由华东师范大学第二附属中学承办。(新房不承诺学区,具体以政府公示为准)

位置示意图,仅供参考
生态方面
嘉定千米一湖、百米一林,宜居的生态环境已经深入人心。
项目近邻远香湖CAZ,远香湖、保利大剧院、嘉定图书馆都在1.5公里范围以内,未来这里还将建设文化环、未来塔、活力谷等城市“新三件套”。

南山璞缦售楼处电话:4 00-8874-108✔【已认证】⭐⭐⭐⭐⭐
南山璞缦营销中心电话:400-88 74-108✔✔【已认证】⭐⭐⭐⭐⭐
上海南山璞缦官方售楼处电话:400-8874-10 8 VIPLINE✔✔✔【已认证】⭐⭐⭐⭐⭐
如有问题可来电咨询,线上售楼中心,预约销售专员,一对一为您服务!
想了解南山璞缦更多信息?拨打售楼处营销中心热线:400-8874-108 (中介勿扰)【24小时热线】
楼盘项目全面介绍,本电话为开发商提供线上预约售楼电话,楼盘项目全面介绍(包含楼盘简介,均价,房价,现房,期房,别墅,叠墅,大平层,价格,楼盘地址,户型图,交通规划,备案价,备案名,项目配套,样板间,开盘时间,认筹时间,楼盘详情,售楼处电话,最新消息,最新详情,周边配套,一房一价,最新进展等详情咨询)楼盘详情丨价格丨更多优惠丨机不可失丨欢迎致电丨诚邀品鉴!售楼处位置丨特价房丨工抵房丨剩余房源丨户型图丨最新消息丨免责声明:将文章内容综合来源于网络、只作分享,版权归原作者所有!!如有侵权,请联系我们,我们第一时间处理如有问题欢迎来电咨询,专业一对一热情服务,让您用专业眼光去买房.如果您想了解更多楼盘详情,欢迎提前预约拨打
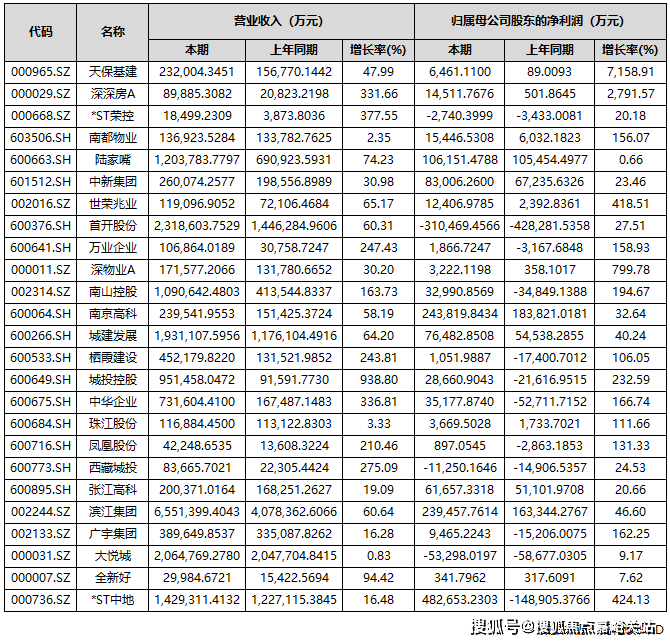
中房网根据同花顺iFinD数据统计,截至10月31日,A股共有85家上市房企披露2025年三季度业绩报告。其中,超4成房企营收实现同比增长;43家房企实现盈利,占比超五成;归母净利润实现同比增长的房企共有37家,占比为43.53%。
自2022年起,房地产行业业绩承压态势已延续数年。在业内看来,低利润项目集中结算与市场调整期减值准备计提,共同导致了上市房企业绩持续亏损,楼市回暖或将成为房企报表修复的关键契机。
超4成房企营收同比增长
从上市房企三季度报告来看,营收实现同比增长的房企共有36家,占比为42.35%;营收同比下滑的有49家,占比57.65%。
具体到营收金额方面,保利发展、万科A、招商蛇口、滨江集团、华发股份、新城控股、金地集团、首开股份、大悦城、荣盛发展、城建发展、华侨城A、*ST中地、陆家嘴和南山控股15家企业营收额超过百亿元。其中,保利发展、万科A和招商蛇口分别以1737.2亿元、1613.9亿元和897.66亿元的营收居于A股上市房企前三位。

部分头部房企亏损较大
归母净利润方面,前三季度共有43家房企实现盈利,占比超过五成。
其中,有7家房企归母净利润超过10亿元,分别是*ST中地、招商蛇口、南京高科、滨江集团、保利发展、上海临港和陆家嘴。

上述房企中,*ST中地(中交地产)的表现较为亮眼。三季报数据显示,公司前三季度营收达142.93亿元,同比增长16.48%;实现净利润48.27亿元,扭亏为盈,同比大幅增长424.13%。
作为一家“披星戴帽”的房企,其账面盈利的核心驱动力来自重大资产重组。今年6月,*ST 中地公告称,计划将旗下房地产开发业务相关的全部资产与负债,转让给控股股东中交房地产集团有限公司。这一重组事项在8月31日完成实质资产交接,房地产业务自此正式退出公司合并报表范围。
据悉,资产重组为* ST中地带来64.89亿元的资产置出相关收益,这一数据直接拉动了当期利润表现,同时推动归属于上市公司股东的净资产转正至12.48亿元。
让人唏嘘的是,三季度业绩亮眼的房企,恰恰是已经退出房地产开发业务的那家。
值得注意的是,期内部分龙头房企归母净利润出现较大亏损,如万科、*ST金科、华夏幸福等。
数据显示,今年前三季度,万科实现营业收入1613.9亿元,同比下滑16.61%;归属于上市公司股东的净亏损280.2亿元,同比下滑56.14%。
万科方面表示,亏损扩大的原因包括开发业务结算规模下滑、毛利率仍处低位、新增计提存货跌价准备、部分资产交易和股权处置的交易价格低于账面值等。
另一亏损规模超百亿的为*ST金科。前三季度,金科实现营业总收入56.99亿元,同比下滑73.57%;归母净利润亏损107.78亿元,同比下滑102.12%。
还有华夏幸福,其亏损规模也近百亿。前三季度,公司营业收入为38.82亿元,同比下降72.09%,归属于上市公司股东的净利润亏损98.29亿元,同比下滑338.67%。
25家房企实现营收和归母净利润双增
前三季度有25家房企实现了营收和归母净利润的双增长。

有37家房企实现归母净利润实现同比正增长。其中,天保基建、深深房A、深物业A、渝开发、*ST中地、世荣兆业、城投控股、南山控股、中华企业、广宇集团、万业企业、南都物业、新黄浦、凤凰股份、中洲控股、珠江股份、栖霞建设17家房企前三季度的归母净利润增长超过100%。
其中,天保基建前三季度归属于上市公司股东的净利润增幅最大,为7158.91%。天保基建表示,业绩增长主要得益于报告期内满足收入结转条件的项目增加,以及冲回的土地增值税增加和资产减值损失减少。
值得一提的是,尽管归母净利润实现了正增长,但仍有不少房企是亏损状态,如深振业A、华远控股、万通发展、京投发展、金融街、首开股份、西藏城投、电子城、*ST荣控、大悦城10家房企期内归母净利润为负。

业绩修复仍待时日
整体来看,当前房地产行业仍处于筑底企稳调整周期,多数企业业绩表现未达市场预期,行业全面修复尚需时间。
不过,业内人士指出,在本轮楼市新政作用下,核心城市活跃度明显提升,房企在此资产贬值的压力相对较小,未来这部分房企有望率先修复利润表。多家企业也表示,通过在核心城市拿利润较高的项目,逐步带动利润表的修复。
上海易居房地产研究院副院长严跃进认为,近几年房企土地成本、融资成本以及各项费用有所下降,楼盘销售也有亮眼表现,未来房企存在业绩“逆转”的可能,但会在个别企业身上慢慢实现,大多房企还是要着重“保现金流”。