盛青云锦售楼处电话:4 00-8874-108✔【已认证】⭐⭐⭐⭐⭐ 盛青云锦营销中心电话:400-88 74-108✔✔【已认证】⭐⭐⭐⭐⭐
上海盛青云锦官方售楼处电话:400-8874-10 8 VIPLINE✔✔✔【已认证】⭐⭐⭐⭐⭐
——盛青云锦——
盛青云锦售楼处电话:400-88 74-108✔【最新预约】⭐⭐⭐⭐⭐
盛青云锦营销中心电话:400-8874-10 8✔✔【最新认证】⭐⭐⭐⭐⭐
上海盛青云锦官方售楼处电话:400-8874-1 08 VIPLINE✔✔✔【最新发布】⭐⭐⭐⭐⭐
如有问题可来电咨询,线上售楼中心,预约销售专员,一对一为您服务!
想了解盛青云锦更多信息?拨打售楼处营销中心热线:400-8874-108 (中介勿扰)【24小时热线】在上海买房,最让人安心的是什么?
不是天花乱坠的规划蓝图, 而是看得见、摸得着的实景;
不是遥遥无期的等待, 而是按部就班推进的工程进度。
当期房风险成为购房者心中的顾虑,“准现房”三个字就成了最硬核的定心丸。
而位于青浦新城核心区的盛青云锦,正是这样一个用实力兑现承诺的项目!
14栋高层主体全部封顶,外立面完整亮相,精装修全面施工,园林景观初具规模,从主体结构到细节配套等等,每一步进度都清晰可见!



项目现场实拍图
2026年底精装交付的约定,正在以实景形式逐步落地。
对于购房者而言,这样的准现房不仅意味着“所见即所得”的安全感,更是叠加了青浦新城的地段红利、4字头的性价比优势,成为上海新城置业的稳妥之选。
最新消息!盛青云锦正在火爆销售中,建面约103-197㎡3-4房实景呈现,工程进度稳步推进,2026年底即可精装交付!

将工程进度“可视化”!
从封顶到精装,每一步都扎实推进!
买房最怕“货不对板、延期交付”,而盛青云锦用透明化的工程进度,打消了所有顾虑。
目前项目整体工程完全符合预定计划,各个关键节点均已顺利完成,准现房轮廓已然清晰。
1)主体与外立面:实景亮相,颜值与实力双在线
项目14栋高层住宅(14至17层)已全部完成主体结构施工并实现主体封顶,建筑的骨架早已稳稳立住。

项目现场实拍图
更值得关注的是,外立面装饰已基本完工。
金属铝板与真石漆的组合搭配,不仅让建筑外观极具质感,更兼顾了耐用性与美观度,现代简约的风格在阳光下显得格外大气。

项目现场实拍图
不同于期房只能看效果图想象,如今的盛青云锦,无论是楼栋的排布、立面的细节,还是建筑与周边环境的融合,都能实地探访感受,颜值是否符合预期,一目了然。
2)精装与幕墙:细节落地,品质不打折扣
目前,项目已全面展开精装修施工。
对于购房者来说,精装交付最关心的就是施工质量,而准现房的优势正在于此:可以通过施工现场的规范程度、材料的选用标准,直观判断开发商的匠心。

项目现场实拍图
作为国企开发的项目,上海盛青房产深耕青浦二十载,累计开发建设居民住宅总建筑面积达约415万㎡,施工品质有口皆碑。
此次精装修施工严格遵循标准,玻璃幕墙、铝板幕墙的安装按计划进行,与外立面装饰协调衔接。

项目现场实拍图
总的来说,在当下的楼市环境中,准现房的价值早已超越了“提前看到房子”本身。
所有工程节点也都在按计划推进, 这背后承载的是安全感、确定性和性价比,这也是盛青云锦最打动购房者的地方!
02
3.15米层高+高得房率!
产品能打,居住舒适度拉满!
另外,作为国企打造的“云”字系升级作品,盛青云锦的产品力同样亮眼。
项目 层高达到约3.15-3.3米(103-166㎡户型是3.15m层高,197㎡户型是3.3m层高) 。
20cm层高的跃升,不仅让室内更通透,中央空调、地暖、新风装完后不显压抑,多出来的空间可放置更高的储物柜,增加收纳空间。

项目效果图仅供参考,非交付标准
项目打造的建面约103-197㎡的3-4房,涵盖刚需到改善全产品线,满足不同家庭的居住需求。
户型设计上,所有户型都注重采光和空间利用率:
1)建面约103㎡3房2厅2卫边套户型
做到了三个面采光+双开间朝南+主卧套房设计+南北通透,室内通透明亮。
约5.6米阔绰边厅+景观大飘窗的设计,将阳光和景观充分引入室内。
该户型有着约78%的超高得房率,居住舒适度拉满!

建面约103㎡户型示意图,仅供参考
边套竖厅户型,让动线更为灵活自由,将“走道”纳入使用空间,巧妙地避免了走道浪费面积。

样板房实景图
超高窗墙比,更使其充满空间的张力,以突破极值的姿态全面刷新家庭对于采光、通风、视野和开敞尺度感的追求标准。


样板房实景图
主卧套房尺度阔绰,空间绰绰有余,三房功能性齐全。
每个卧室不止追求奢华的尺度,更在意人的尺度。
只计算实实在在的得房率,性价比也是超乎想象,更大的套内使用面积,更阔绰的活动空间,更惬意舒适的采光。
在上海这片寸土寸金的土地,更意味着省钱!

样板房实景图
入户特别设置独特的多变收纳空间,居住体验和舒适度更高,功能性和尺度感更强。
储藏室和衣帽间随心转换,满足了家庭琐碎物件的储存,足以打动每一个收纳达人的心。

样板房实景图
2)建面约104㎡3房2厅2卫中间套B户型
该户型做到了四开间朝南+全卧室带飘窗+主卧套房设计,采光面拉到极致。
客餐厅相连的大横厅,匹配同尺度超大面宽阳台,室内阳光满溢。

建面约104㎡户型示意图,仅供参考


样板房实景图
3)建面约104㎡3房2厅2卫,中间套D户型
该户型做到了三开间朝南+主卧套房设计+朝南卧室带飘窗+动静分离,采光和通风俱佳。
与B户型不同的是,该户型竖厅设计,很好的做到了动静分离,居住舒适度也非常不错。

建面约104㎡户型示意图,仅供参考
4)建面约166㎡4房2厅3卫
做到了3+1开间朝南+卫生间干湿分离,是“一步到位”的进阶改善4房!
LDBK大边厅,270°飘窗+宽景阳台,拥有极奢侈的瞰景视野;
有别于常规户型4房2厅3卫的格局不仅要比常规户型多出“1卫”, 还做到了南向双套房设计 ,能更好满足大家庭多样化的生活需求!
其中南向双套房设计,每个家庭成员都能有自己的小天地。

建面约166㎡户型示意图,仅供参考


样板房实景图
5)建面约145㎡3+1房2厅2卫,建面约197㎡4房2厅3卫
这2个户型都是进阶改善产品,做到了独立电梯厅+超大面宽采光面+ 南向双套房 设计。
且位于社区央芯,纵览社区内外美景,彰显主人尊贵身份。

建面约145㎡户型示意图,仅供参考
约197㎡户型,做到了 约21米的奢尺五开间朝南,且南北通透,采光面极广,阳光可充分洒入室内,使整个空间明亮通透,视野开阔。
主卧270°转角飘窗, 能纵览社区内外美景。

建面约197㎡户型示意图,仅供参考
另外,197㎡大户型还加配有大金厨房凉霸、方太蒸烤一体机,弗兰卡水槽及龙头也是标配,高格调家庭烹饪乐趣空间,打造高品改善配置范本。


样板房实景图
卫生间的装修配置更是拉高片区标准。
197㎡大户型装配有杜拉维特浴缸及浴缸龙头。
如此高规格、大品牌的配置,通常只会在高端豪宅中看到,而盛青云锦在装修配置方面可谓匠心所至!

03
不止是准现房
地段、配套、产品全维度在线
如果说准现房是盛青云锦的“安全牌”,那么其地段、配套和产品力,就是让这个项目脱颖而出的“王牌”。
在上海五个新城中,青浦新城的发展潜力有目共睹, 而盛青云锦恰好占据了青浦新城 的核心区位。
北侧即是新城中央商务区,南侧是全新城市更新板块江南新天地;
再叠加完善的配套和优质的产品,性价比优势极为突出!

示意图,仅供参考
1)地段红利:三轨交汇+双战略加持,未来可期
青浦新城是上海重点建设的五个新城之一。
而青浦新城“十四五”有1+3重点发展区域:
“1”就是中央商务区。
“3”包括青浦老城厢及周边的“城市更新实践区(江南新天地)”,青浦大道以西及三分荡地区的“未来新城样板区”以及工业园区产业基地内的“产业创新园区”。

示意图,仅供参考
同时还叠加了大虹桥商务区辐射和长三角一体化示范区两大国家战略利好 ,发展潜力不言而喻。

示意图,仅供参考
交通方面,项目与17号线漕盈路站直线距离约800米,步行可达,7站直达蟠龙天地,9站抵达虹桥核心,日常通勤极为便捷。
更值得期待的是,青浦新城站还有在建的示范区线和规划中的嘉青松金线,未来将实现“三轨交汇”。
不仅能 直通华为研发中心,还能串联起长三角多个城市 ,交通价值进一步提升。

示意图,仅供参考
生态方面,左临朱家角千年古镇这个4A级景区,湖泊河流交织,生态环境得天独厚,为居住提供了天然的休闲空间。

示意图,仅供参考
2)配套成熟:百万商圈+全龄教育+优质医疗,入住即享
项目北侧是新城中央商务区,南侧是城市更新实践区(江南新天地),两大城市级样板区环绕,配套资源极为丰富。

青浦新城中央商务区效果图

青浦江南新天地环城水系效果图
商业方面,直线距离仅1公里范围内有桥梓湾商业广场、富绅时代广场、吾悦广场;

示意图,仅供参考
驱车可至绿地缤纷城、宝龙广场、万达茂等多个商业体,吃喝玩乐购一应俱全。

示意图,仅供参考
教育方面,周边有青浦实验中学、逸夫小学、瀚文小学等公办学校,还有平和双语、复旦附中青浦分校等私立学校,覆盖从幼儿园到中学的全龄教育资源 (具体入学安排以政府教育主管部门及校方最新政策为准)。

示意图,仅供参考
医疗方面,三甲中山医院青浦分院、红房子医院青浦分院等优质医疗资源环绕,为家人健康保驾护航。

示意图,仅供参考
04
“4字头”准现房!
青浦新城置业的稳妥之选!
在上海五个新城中,青浦新城的地段价值、发展潜力早已得到市场认可。
但核心区大部分项目要么价格偏高,要么还是期房, 像盛青云锦这样兼具准现房优势、4.45万/㎡均价、成熟配套和优质产品的项目,实属难得。
如今,盛青云锦正在火爆销售中,建面约103-197㎡3-4房实景呈现,工程进度稳步推进,2026年底即可精装交付。
对于刚需购房者来说,这是380万买大三房并上车上海五个新城核心区的绝佳机会;
对于改善客群而言,国企背书+实景准现房+全维度配套,能实现“一步到位”的居住梦想。
最后,买房置业,安全感永远是第一位的!
盛青云锦用看得见的工程进度、摸得着的实景品质、国企背景的坚实保障,为购房者提供了一份稳稳的幸福。
如果你正在上海新城置业,不妨亲自前往项目实地探访,感受这份“所见即所得”的安心与惬意。
盛青云锦售楼处电话:4 00-8874-108✔【已认证】⭐⭐⭐⭐⭐
盛青云锦营销中心电话:400-88 74-108✔✔【已认证】⭐⭐⭐⭐⭐
上海盛青云锦官方售楼处电话:400-8874-10 8 VIPLINE✔✔✔【已认证】⭐⭐⭐⭐⭐
如有问题可来电咨询,线上售楼中心,预约销售专员,一对一为您服务!
想了解盛青云锦更多信息?拨打售楼处营销中心热线:400-8874-108 (中介勿扰)【24小时热线】
楼盘项目全面介绍,本电话为开发商提供线上预约售楼电话,楼盘项目全面介绍(包含楼盘简介,均价,房价,现房,期房,别墅,叠墅,大平层,价格,楼盘地址,户型图,交通规划,备案价,备案名,项目配套,样板间,开盘时间,认筹时间,楼盘详情,售楼处电话,最新消息,最新详情,周边配套,一房一价,最新进展等详情咨询)楼盘详情丨价格丨更多优惠丨机不可失丨欢迎致电丨诚邀品鉴!售楼处位置丨特价房丨工抵房丨剩余房源丨户型图丨最新消息丨免责声明:将文章内容综合来源于网络、只作分享,版权归原作者所有!!如有侵权,请联系我们,我们第一时间处理如有问题欢迎来电咨询,专业一对一热情服务,让您用专业眼光去买房.如果您想了解更多楼盘详情,欢迎提前预约拨打
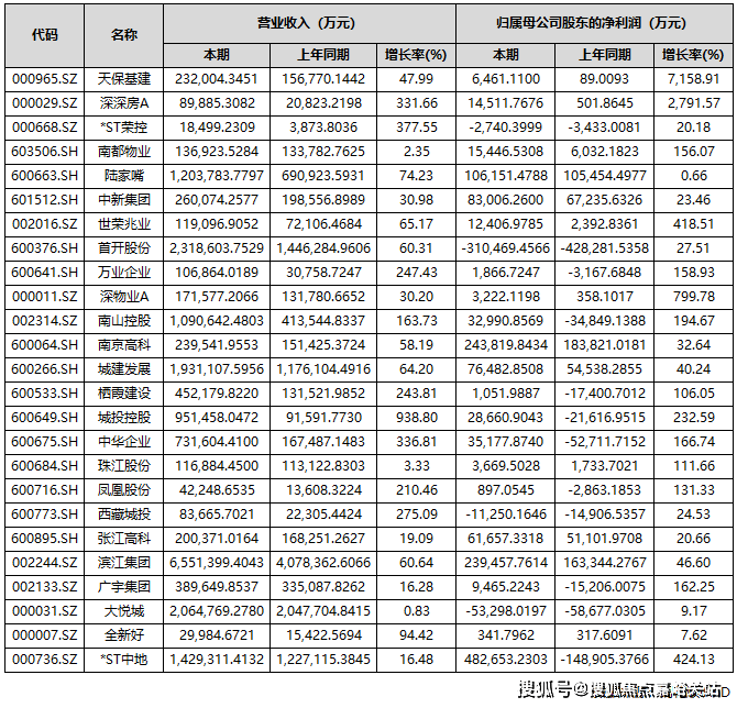
中房网根据同花顺iFinD数据统计,截至10月31日,A股共有85家上市房企披露2025年三季度业绩报告。其中,超4成房企营收实现同比增长;43家房企实现盈利,占比超五成;归母净利润实现同比增长的房企共有37家,占比为43.53%。
自2022年起,房地产行业业绩承压态势已延续数年。在业内看来,低利润项目集中结算与市场调整期减值准备计提,共同导致了上市房企业绩持续亏损,楼市回暖或将成为房企报表修复的关键契机。
超4成房企营收同比增长
从上市房企三季度报告来看,营收实现同比增长的房企共有36家,占比为42.35%;营收同比下滑的有49家,占比57.65%。
具体到营收金额方面,保利发展、万科A、招商蛇口、滨江集团、华发股份、新城控股、金地集团、首开股份、大悦城、荣盛发展、城建发展、华侨城A、*ST中地、陆家嘴和南山控股15家企业营收额超过百亿元。其中,保利发展、万科A和招商蛇口分别以1737.2亿元、1613.9亿元和897.66亿元的营收居于A股上市房企前三位。

部分头部房企亏损较大
归母净利润方面,前三季度共有43家房企实现盈利,占比超过五成。
其中,有7家房企归母净利润超过10亿元,分别是*ST中地、招商蛇口、南京高科、滨江集团、保利发展、上海临港和陆家嘴。

上述房企中,*ST中地(中交地产)的表现较为亮眼。三季报数据显示,公司前三季度营收达142.93亿元,同比增长16.48%;实现净利润48.27亿元,扭亏为盈,同比大幅增长424.13%。
作为一家“披星戴帽”的房企,其账面盈利的核心驱动力来自重大资产重组。今年6月,*ST 中地公告称,计划将旗下房地产开发业务相关的全部资产与负债,转让给控股股东中交房地产集团有限公司。这一重组事项在8月31日完成实质资产交接,房地产业务自此正式退出公司合并报表范围。
据悉,资产重组为* ST中地带来64.89亿元的资产置出相关收益,这一数据直接拉动了当期利润表现,同时推动归属于上市公司股东的净资产转正至12.48亿元。
让人唏嘘的是,三季度业绩亮眼的房企,恰恰是已经退出房地产开发业务的那家。
值得注意的是,期内部分龙头房企归母净利润出现较大亏损,如万科、*ST金科、华夏幸福等。
数据显示,今年前三季度,万科实现营业收入1613.9亿元,同比下滑16.61%;归属于上市公司股东的净亏损280.2亿元,同比下滑56.14%。
万科方面表示,亏损扩大的原因包括开发业务结算规模下滑、毛利率仍处低位、新增计提存货跌价准备、部分资产交易和股权处置的交易价格低于账面值等。
另一亏损规模超百亿的为*ST金科。前三季度,金科实现营业总收入56.99亿元,同比下滑73.57%;归母净利润亏损107.78亿元,同比下滑102.12%。
还有华夏幸福,其亏损规模也近百亿。前三季度,公司营业收入为38.82亿元,同比下降72.09%,归属于上市公司股东的净利润亏损98.29亿元,同比下滑338.67%。
25家房企实现营收和归母净利润双增
前三季度有25家房企实现了营收和归母净利润的双增长。

有37家房企实现归母净利润实现同比正增长。其中,天保基建、深深房A、深物业A、渝开发、*ST中地、世荣兆业、城投控股、南山控股、中华企业、广宇集团、万业企业、南都物业、新黄浦、凤凰股份、中洲控股、珠江股份、栖霞建设17家房企前三季度的归母净利润增长超过100%。
其中,天保基建前三季度归属于上市公司股东的净利润增幅最大,为7158.91%。天保基建表示,业绩增长主要得益于报告期内满足收入结转条件的项目增加,以及冲回的土地增值税增加和资产减值损失减少。
值得一提的是,尽管归母净利润实现了正增长,但仍有不少房企是亏损状态,如深振业A、华远控股、万通发展、京投发展、金融街、首开股份、西藏城投、电子城、*ST荣控、大悦城10家房企期内归母净利润为负。

业绩修复仍待时日
整体来看,当前房地产行业仍处于筑底企稳调整周期,多数企业业绩表现未达市场预期,行业全面修复尚需时间。
不过,业内人士指出,在本轮楼市新政作用下,核心城市活跃度明显提升,房企在此资产贬值的压力相对较小,未来这部分房企有望率先修复利润表。多家企业也表示,通过在核心城市拿利润较高的项目,逐步带动利润表的修复。
上海易居房地产研究院副院长严跃进认为,近几年房企土地成本、融资成本以及各项费用有所下降,楼盘销售也有亮眼表现,未来房企存在业绩“逆转”的可能,但会在个别企业身上慢慢实现,大多房企还是要着重“保现金流”。