衡辰公寓-售楼处首页-衡辰公寓-售楼处电话-开盘时间-衡辰公寓房价-户型-楼盘详情-周边环境-户型-价格-地址-楼盘详情-售楼处电话
扫描到手机,新闻随时看
扫一扫,用手机看文章
更加方便分享给朋友




01.项目基本信息:
项目名称:衡辰公寓
项目板块:长宁天山板块
物业类型:70年住宅
付款要求:首套1.5成,二套2成.(贷款可贷足)
建筑面积:约68m²-294m²
总价约:约504万-1390万
在售套数:20套
交付标准:带装修,现房
总层高:18层
层高:2.7米
车位配比:1:0.5
梯户比:2号楼3梯6户/4号楼3梯5户
拿地时间:2003年
竣工时间:2007年
物业公司:上海联远物业管理有限公司
物业费:2.89/m²/月
交易类型:一手税费二手流程
长宁区位于上海中心城区西部,东连静安区,西与西南邻闵行区,东南接徐汇区,北与普陀区以吴淞江(苏州河)为界。交通有新华路、江苏路、延安路、长宁路、虹桥路等主要道路,延安路高架、内环线、中环线、外环线和轨道交通2号线、3号线、4号线、10号线均通过区境。虹桥国际机场位于区域西部。区内有国家级开发区虹桥经济技术开发区,上海最集中的涉外高标准住宅商务办公综合区古北新区。
长宁区纪念地有全国重点文物保护单位宋庆龄陵园,市级文物保护单位中共中央机关刊物
《布尔塞维克》
编辑部旧址等。文化体育设施有刘海粟美术馆等。长宁区10个街道(镇)均被评为市级文明社区,成功创建了一批市级、区级文明小区、文明单位,2011年荣膺全国文明城区称号。
衡辰公寓所在的长宁天山板块,与2号线威宁路站0距离,常被购房者拿来和古北、中山公园板块放在一起进行比较。板块内新盘供应十分稀缺。衡辰公寓2008年建成,且对外交付一批房源,剩余房源则改为自持对外租赁项目自持房源目前租赁期限已到,现在拿出来出售。项目体量不大,几栋楼沿天山路并列一排,外立面也是在当时比较受欢迎的小瓷砖贴面 。
2023年10月,新长宁以总价27.11亿元摇号竞得长宁区程家桥街道248街坊8丘41-17地块,成交楼板价75350元/㎡,联动价11.8万/㎡。
项目位于中外环间,距离地铁10号线动物园站出入口约1公里,地处虹桥路历史风貌区,紧邻上海动物园、市文物保护建筑沙逊别墅,周边以住宅区域为主。

项目装修标准不低于4000元/㎡,还需要绿色二星级+近零能耗建筑,完成8%公租房比例。11.8万/㎡的单价,千万级的入主门槛,就能和西郊大佬做邻居!
根据设计方案显示,项目拟建设7栋11-13层小高层住宅,规划292户,用地面积17986.5㎡,容积率2.0,地上总建筑面积39600㎡,其中,商品住宅总建筑面积33921.01㎡。
社区内设置有1339.24㎡配套用房,设置了物业服务、社区级公共服务、综合便民商业、智能快件箱等空间;更有2054.21㎡架空层,未来或将用作泛会所。
衡辰公寓地理位置,周边配套都非常不错 价格是西郊去庐的一半,唯一的缺点就是小区没有规模,户型不是属于南北通透的。
目前可售楼栋为2号、4号楼高层,五楼以下为商业,涉及银行、证券、教育、快餐饮、医疗等基本生活行业。总层高18层,共推出152户一期已售罄,二期最后51套;3梯6户/3梯5户,车位配比约:1:0.6,物业费3元,主力户型为68-81-116-148-280㎡及特殊户型。82㎡的两居室的租金约1万/月,预计68㎡一房租金在8500元/月左右。各种房型数量分布如下:


天山板块部分配套展示示意图
交通:地铁2号线威宁路站上盖,2站可达中山公园与3/4号线接轨,地铁10/13号线紧邻;公交:519路、827路、158路、646路等多条公交;紧邻内环高架、中环高架、延安西路高架,出行非常便利。
周边教育:南新幼儿园、威宁小学、长宁实验小学、天山第二小学、天山初级中学、新元学校等;
商场:118广场、龙之梦购物公园、来福士广场、百联西郊购物中心等;
医院:上海市儿童医院(泸定路园区)、上海市同仁医院、长宁区天山中医医院、民航上海医院等;
休闲:长宁老年公园、虹桥公园、长风公园、仙霞公园、新虹桥广场、风铃绿地等;
可拎包入住,房屋品质看得到,我们还了解到这批租赁房源的住户都是日本租客,对房屋保护的比较好,租金也相对较高。82㎡的两居室的租金约10000元/月,1房的租赁房源虽然没有在挂牌的,而据我们了解,52㎡一房租金也都在8500元/月以上。
长宁在上海来说是属于市中心地段,有地铁2号线加持加上地铁威宁路上盖,加上是现房,价格方面也比较低,真的是诚意满满,上海买房主要看一点,就是地段,除了地段还是地段,地段是不可复制的。
衡辰公寓售楼处电话:4 00-8874-108✔【已认证】⭐⭐⭐⭐⭐
衡辰公寓营销中心电话:400-88 74-108✔✔【已认证】⭐⭐⭐⭐⭐
上海衡辰公寓官方售楼处电话:400-8874-10 8 VIPLINE✔✔✔【已认证】⭐⭐⭐⭐⭐
如有问题可来电咨询,线上售楼中心,预约销售专员,一对一为您服务!
想了解衡辰公寓更多信息?拨打售楼处营销中心热线:400-8874-108 (中介勿扰)【24小时热线】
楼盘项目全面介绍,本电话为开发商提供线上预约售楼电话,楼盘项目全面介绍(包含楼盘简介,均价,房价,现房,期房,别墅,叠墅,大平层,价格,楼盘地址,户型图,交通规划,备案价,备案名,项目配套,样板间,开盘时间,认筹时间,楼盘详情,售楼处电话,最新消息,最新详情,周边配套,一房一价,最新进展等详情咨询)楼盘详情丨价格丨更多优惠丨机不可失丨欢迎致电丨诚邀品鉴!售楼处位置丨特价房丨工抵房丨剩余房源丨户型图丨最新消息丨免责声明:将文章内容综合来源于网络、只作分享,版权归原作者所有!!如有侵权,请联系我们,我们第一时间处理如有问题欢迎来电咨询,专业一对一热情服务,让您用专业眼光去买房.如果您想了解更多楼盘详情,欢迎提前预约拨打
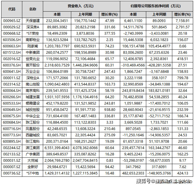
中房网根据同花顺iFinD数据统计,截至10月31日,A股共有85家上市房企披露2025年三季度业绩报告。其中,超4成房企营收实现同比增长;43家房企实现盈利,占比超五成;归母净利润实现同比增长的房企共有37家,占比为43.53%。
自2022年起,房地产行业业绩承压态势已延续数年。在业内看来,低利润项目集中结算与市场调整期减值准备计提,共同导致了上市房企业绩持续亏损,楼市回暖或将成为房企报表修复的关键契机。
超4成房企营收同比增长
从上市房企三季度报告来看,营收实现同比增长的房企共有36家,占比为42.35%;营收同比下滑的有49家,占比57.65%。
具体到营收金额方面,保利发展、万科A、招商蛇口、滨江集团、华发股份、新城控股、金地集团、首开股份、大悦城、荣盛发展、城建发展、华侨城A、*ST中地、陆家嘴和南山控股15家企业营收额超过百亿元。其中,保利发展、万科A和招商蛇口分别以1737.2亿元、1613.9亿元和897.66亿元的营收居于A股上市房企前三位。

部分头部房企亏损较大
归母净利润方面,前三季度共有43家房企实现盈利,占比超过五成。
其中,有7家房企归母净利润超过10亿元,分别是*ST中地、招商蛇口、南京高科、滨江集团、保利发展、上海临港和陆家嘴。

上述房企中,*ST中地(中交地产)的表现较为亮眼。三季报数据显示,公司前三季度营收达142.93亿元,同比增长16.48%;实现净利润48.27亿元,扭亏为盈,同比大幅增长424.13%。
作为一家“披星戴帽”的房企,其账面盈利的核心驱动力来自重大资产重组。今年6月,*ST 中地公告称,计划将旗下房地产开发业务相关的全部资产与负债,转让给控股股东中交房地产集团有限公司。这一重组事项在8月31日完成实质资产交接,房地产业务自此正式退出公司合并报表范围。
据悉,资产重组为* ST中地带来64.89亿元的资产置出相关收益,这一数据直接拉动了当期利润表现,同时推动归属于上市公司股东的净资产转正至12.48亿元。
让人唏嘘的是,三季度业绩亮眼的房企,恰恰是已经退出房地产开发业务的那家。
值得注意的是,期内部分龙头房企归母净利润出现较大亏损,如万科、*ST金科、华夏幸福等。
数据显示,今年前三季度,万科实现营业收入1613.9亿元,同比下滑16.61%;归属于上市公司股东的净亏损280.2亿元,同比下滑56.14%。
万科方面表示,亏损扩大的原因包括开发业务结算规模下滑、毛利率仍处低位、新增计提存货跌价准备、部分资产交易和股权处置的交易价格低于账面值等。
另一亏损规模超百亿的为*ST金科。前三季度,金科实现营业总收入56.99亿元,同比下滑73.57%;归母净利润亏损107.78亿元,同比下滑102.12%。
还有华夏幸福,其亏损规模也近百亿。前三季度,公司营业收入为38.82亿元,同比下降72.09%,归属于上市公司股东的净利润亏损98.29亿元,同比下滑338.67%。
25家房企实现营收和归母净利润双增
前三季度有25家房企实现了营收和归母净利润的双增长。

有37家房企实现归母净利润实现同比正增长。其中,天保基建、深深房A、深物业A、渝开发、*ST中地、世荣兆业、城投控股、南山控股、中华企业、广宇集团、万业企业、南都物业、新黄浦、凤凰股份、中洲控股、珠江股份、栖霞建设17家房企前三季度的归母净利润增长超过100%。
其中,天保基建前三季度归属于上市公司股东的净利润增幅最大,为7158.91%。天保基建表示,业绩增长主要得益于报告期内满足收入结转条件的项目增加,以及冲回的土地增值税增加和资产减值损失减少。
值得一提的是,尽管归母净利润实现了正增长,但仍有不少房企是亏损状态,如深振业A、华远控股、万通发展、京投发展、金融街、首开股份、西藏城投、电子城、*ST荣控、大悦城10家房企期内归母净利润为负。

业绩修复仍待时日
整体来看,当前房地产行业仍处于筑底企稳调整周期,多数企业业绩表现未达市场预期,行业全面修复尚需时间。
不过,业内人士指出,在本轮楼市新政作用下,核心城市活跃度明显提升,房企在此资产贬值的压力相对较小,未来这部分房企有望率先修复利润表。多家企业也表示,通过在核心城市拿利润较高的项目,逐步带动利润表的修复。
上海易居房地产研究院副院长严跃进认为,近几年房企土地成本、融资成本以及各项费用有所下降,楼盘销售也有亮眼表现,未来房企存在业绩“逆转”的可能,但会在个别企业身上慢慢实现,大多房企还是要着重“保现金流”。
声明:本文由入驻焦点开放平台的作者撰写,除焦点官方账号外,观点仅代表作者本人,不代表焦点立场。
