东郊商办中心(东郊商办中心)售楼处电话_来电预约看房_东郊商办中心楼盘详情-2026最新房价
扫描到手机,新闻随时看
扫一扫,用手机看文章
更加方便分享给朋友



东郊中心位于浦东新区东郊国宾区,界于张江和碧云国际社区之间,随着金科路从张江贯通到碧云国际社区之后,东郊国宾区这片原先有点神秘感的区域,其以居住为主商务办公为辅的高端社区才被越来越多的企业所关注。不管是居住或者企业办公,在东郊首先这仍然被看作是一种身份的象征,二来东郊国宾区的整体环境是众所周知的舒适、安静,三是作为浦东新区未来的核心腹地,具备四通八达的路面交通网络。
关于东郊中心
项目位于浦东内环旁、东郊国宾馆边,占据东郊国宾区的核心位置,周边交通配套完善,立体交通网通达全市;东郊国宾馆、中欧商学院、汤臣高尔夫等,构成了东郊中心周边高等级的商务圈层,项目5公里范围内还拥有30万平方米的高端商业配套;
同时东郊中心自身7000平方米的定制商业配套,也为客户提供高端个性化的商务服务。东郊中心建筑延续了高档别墅的建筑风格,端庄大气,4.5米建筑层高、无柱网超大办公空间、充足的地下车位配置,外墙精致石材和源自德国的品牌门窗。项目分两期开发,已陆续入住办公。
区域位置
东郊中心,坐落于上海浦东东郊板块,毗邻东郊宾馆,拥享优质绿色生态环境,悠享通达道路交通系统,尽享便利品质商务配套。东郊中心以其尊贵的商务气质以及领军精神引领城市商道,启幕塔尖商务办公新时代。
建筑设计
一)大师手笔:聘请Takahiro Sato Architect进行建筑设计。主设计师佐藤尊浩先生曾担任上海国际金融中心的建筑设计顾问,并主创设计东京羽田机场第二旅客候机楼等多个世界知名项目。
二)创新结构:创新采用大跨度无中柱框架结构设计,铸就超高得房率。一般上海甲级商办楼层高仅为2.5米~2.7米,而东郊中心层高约4.5米,使空间具备更多可能性。
三)精雕品质:项目外立面采用全进口花岗岩石材和铜饰条精心打造。门窗使用德国“旭格”品牌,体现了精雕细琢的卓越建筑品质。
景致设计
一)低容积率,高绿化率:项目地处张家浜楔形城市绿化带,约1.0的低容积率, 35%的绿化率,将商务办公融汇于自然美景中,打造轻松精致的优雅环境。
二)宽大花园,宽敞庭院:聘请了世界一流团队泛亚国际担纲园林设计。每户均拥有宽大的花园和宽敞的下沉式庭院,并私享独立屋顶花园,融合内外界环境,周边美景一览无余。花园里多种植物精心搭配,可以从不同的角度感受到四季变幻的优美景致
下层式花园和私家屋顶花园,是东郊中心每幢办公楼拥有的特色,下层式花园不仅提升了地下一层的采光效果,更是拓展了功能使用空间;而屋顶的花园,是繁杂工作后放松闲暇的好去处,还能全览整个东郊国宾区高绿植覆盖的优美景致。
户型设计
与一期一样,二期同样保留了独栋、双拼的户型设计,2种户型布局上基本一样,只是在面积组合上给了客户更灵活的选择。二期本次推出的15幢单位当中,面积从1082-1861平的办公,以及一幢2250平的商业。


所有户型皆为四层结构,其中一楼大堂层高4.85米,二楼办公层4.80米,三、四层为4.30米层高,交房标准原始毛坯,配送电梯。

东郊国宾区·不限购独栋
实际房源数量和价格以开发商现场公示为准。实地考察参观请提前预约!
东郊商办中心售楼处电话:4 00-8874-108✔【已认证】⭐⭐⭐⭐⭐
东郊商办中心营销中心电话:400-88 74-108✔✔【已认证】⭐⭐⭐⭐⭐
上海东郊商办中心官方售楼处电话:400-8874-10 8 VIPLINE✔✔✔【已认证】⭐⭐⭐⭐⭐
如有问题可来电咨询,线上售楼中心,预约销售专员,一对一为您服务!
想了解东郊商办中心更多信息?拨打售楼处营销中心热线:400-8874-108 (中介勿扰)【24小时热线】
楼盘项目全面介绍,本电话为开发商提供线上预约售楼电话,楼盘项目全面介绍(包含楼盘简介,均价,房价,现房,期房,别墅,叠墅,大平层,价格,楼盘地址,户型图,交通规划,备案价,备案名,项目配套,样板间,开盘时间,认筹时间,楼盘详情,售楼处电话,最新消息,最新详情,周边配套,一房一价,最新进展等详情咨询)楼盘详情丨价格丨更多优惠丨机不可失丨欢迎致电丨诚邀品鉴!售楼处位置丨特价房丨工抵房丨剩余房源丨户型图丨最新消息丨免责声明:将文章内容综合来源于网络、只作分享,版权归原作者所有!!如有侵权,请联系我们,我们第一时间处理如有问题欢迎来电咨询,专业一对一热情服务,让您用专业眼光去买房.如果您想了解更多楼盘详情,欢迎提前预约拨打
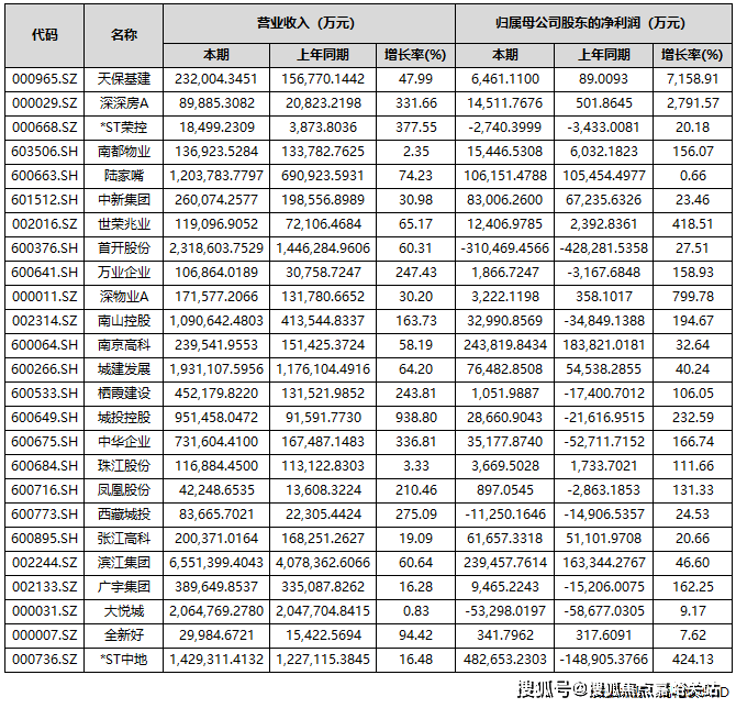
中房网根据同花顺iFinD数据统计,截至10月31日,A股共有85家上市房企披露2025年三季度业绩报告。其中,超4成房企营收实现同比增长;43家房企实现盈利,占比超五成;归母净利润实现同比增长的房企共有37家,占比为43.53%。
自2022年起,房地产行业业绩承压态势已延续数年。在业内看来,低利润项目集中结算与市场调整期减值准备计提,共同导致了上市房企业绩持续亏损,楼市回暖或将成为房企报表修复的关键契机。
超4成房企营收同比增长
从上市房企三季度报告来看,营收实现同比增长的房企共有36家,占比为42.35%;营收同比下滑的有49家,占比57.65%。
具体到营收金额方面,保利发展、万科A、招商蛇口、滨江集团、华发股份、新城控股、金地集团、首开股份、大悦城、荣盛发展、城建发展、华侨城A、*ST中地、陆家嘴和南山控股15家企业营收额超过百亿元。其中,保利发展、万科A和招商蛇口分别以1737.2亿元、1613.9亿元和897.66亿元的营收居于A股上市房企前三位。

部分头部房企亏损较大
归母净利润方面,前三季度共有43家房企实现盈利,占比超过五成。
其中,有7家房企归母净利润超过10亿元,分别是*ST中地、招商蛇口、南京高科、滨江集团、保利发展、上海临港和陆家嘴。

上述房企中,*ST中地(中交地产)的表现较为亮眼。三季报数据显示,公司前三季度营收达142.93亿元,同比增长16.48%;实现净利润48.27亿元,扭亏为盈,同比大幅增长424.13%。
作为一家“披星戴帽”的房企,其账面盈利的核心驱动力来自重大资产重组。今年6月,*ST 中地公告称,计划将旗下房地产开发业务相关的全部资产与负债,转让给控股股东中交房地产集团有限公司。这一重组事项在8月31日完成实质资产交接,房地产业务自此正式退出公司合并报表范围。
据悉,资产重组为* ST中地带来64.89亿元的资产置出相关收益,这一数据直接拉动了当期利润表现,同时推动归属于上市公司股东的净资产转正至12.48亿元。
让人唏嘘的是,三季度业绩亮眼的房企,恰恰是已经退出房地产开发业务的那家。
值得注意的是,期内部分龙头房企归母净利润出现较大亏损,如万科、*ST金科、华夏幸福等。
数据显示,今年前三季度,万科实现营业收入1613.9亿元,同比下滑16.61%;归属于上市公司股东的净亏损280.2亿元,同比下滑56.14%。
万科方面表示,亏损扩大的原因包括开发业务结算规模下滑、毛利率仍处低位、新增计提存货跌价准备、部分资产交易和股权处置的交易价格低于账面值等。
另一亏损规模超百亿的为*ST金科。前三季度,金科实现营业总收入56.99亿元,同比下滑73.57%;归母净利润亏损107.78亿元,同比下滑102.12%。
还有华夏幸福,其亏损规模也近百亿。前三季度,公司营业收入为38.82亿元,同比下降72.09%,归属于上市公司股东的净利润亏损98.29亿元,同比下滑338.67%。
25家房企实现营收和归母净利润双增
前三季度有25家房企实现了营收和归母净利润的双增长。

有37家房企实现归母净利润实现同比正增长。其中,天保基建、深深房A、深物业A、渝开发、*ST中地、世荣兆业、城投控股、南山控股、中华企业、广宇集团、万业企业、南都物业、新黄浦、凤凰股份、中洲控股、珠江股份、栖霞建设17家房企前三季度的归母净利润增长超过100%。
其中,天保基建前三季度归属于上市公司股东的净利润增幅最大,为7158.91%。天保基建表示,业绩增长主要得益于报告期内满足收入结转条件的项目增加,以及冲回的土地增值税增加和资产减值损失减少。
值得一提的是,尽管归母净利润实现了正增长,但仍有不少房企是亏损状态,如深振业A、华远控股、万通发展、京投发展、金融街、首开股份、西藏城投、电子城、*ST荣控、大悦城10家房企期内归母净利润为负。

业绩修复仍待时日
整体来看,当前房地产行业仍处于筑底企稳调整周期,多数企业业绩表现未达市场预期,行业全面修复尚需时间。
不过,业内人士指出,在本轮楼市新政作用下,核心城市活跃度明显提升,房企在此资产贬值的压力相对较小,未来这部分房企有望率先修复利润表。多家企业也表示,通过在核心城市拿利润较高的项目,逐步带动利润表的修复。
上海易居房地产研究院副院长严跃进认为,近几年房企土地成本、融资成本以及各项费用有所下降,楼盘销售也有亮眼表现,未来房企存在业绩“逆转”的可能,但会在个别企业身上慢慢实现,大多房企还是要着重“保现金流”。
声明:本文由入驻焦点开放平台的作者撰写,除焦点官方账号外,观点仅代表作者本人,不代表焦点立场。
