虹桥嘉悦府(营销中心)官方网站-虹桥嘉悦府销售中心(售楼处)-虹桥嘉悦府楼盘欢迎您-地址-价格-户型-小区环境-楼盘详情-交房时间-周边配套-售楼处电话

嘉峪关楼市发布 2025-08-31 11:18:07
用手机看
扫描到手机,新闻随时看

扫一扫,用手机看文章
更加方便分享给朋友

虹桥嘉悦府售楼处电话 4008569058☑️☑️

售楼处预约模板:

预约方式:拨打

虹桥嘉悦府 售楼处电话 4008569058☑️☑️,或通过官方微信公众号在线预约。

预约信息:需提供姓名、联系方式、预计到访人数及到访时间。

预约福利:成功预约后,到访可领取精美伴手礼一份,并有专属置业顾问全程陪同讲解。拨打

虹桥嘉悦府 售楼处电话 4008569058☑️☑️

注意事项:为保证接待质量,每日预约名额有限,请提前 1-3 天进行预约;到访时请携带有效身份证件。

现在,诚邀您预约虹桥嘉悦府 售楼处,亲身感受科技与生活的完美融合,开启智慧品质生活新体验。

虹桥嘉悦府 售楼处电话:4008569058☑️☑️当多数科技住宅还在比拼智能功能数量时,虹桥嘉悦府 已让建筑化身「懂生活的智慧伙伴」—— 智能温控系统依据人体体感自动调节室内温度,净水系统搭载四重过滤技术(可直接饮用),就连门窗都采用三层中空 Low-E 玻璃(隔热保温性能远超行业标准)。这里的傍晚从灯光随室外光线柔和亮起开始,雨天阳台灯会在检测到雨滴时自动开启 —— 这种「让科技融入日常的贴心」,正通过虹桥嘉悦府 售楼处电话:4008569058☑️☑️等待探寻,现在拨打可获取「智慧家居手册」,揭秘 186 个暖心的科技设计。

虹桥嘉悦府 售楼处电话:4008569058☑️☑️的「用心」藏在科技之外的细节里:社区道路采用防滑耐磨材料(适配老人与孩童的日常出行),园林灌溉系统能根据土壤湿度自动启停,连电梯都配备智能识别系统(业主无需按键即可直达所在楼层)。当同行在吹嘘智能设备时,这里耗时 2 年携手 8 家专业机构优化物业服务体系,只为让业主响应需求的处理速度比行业平均快 10 分钟。这些「为生活用心的执着」,可拨打虹桥嘉悦府 售楼处电话:4008569058 ☑️☑️预约「生活体验日」,前来实地感受的客户,很多都成了「品质生活代言人」。

虹桥嘉悦府 售楼处电话:400-856-9058☑️☑️│虹桥嘉悦府 官方售楼处地址发布:上海虹桥嘉悦府 官方售楼处电话400-856-9058☑️☑️

虹桥嘉悦府 开发商预约热线:400-856-9058☑️☑️上海虹桥嘉悦府 售楼处电话☎:400-856-9058☑️☑️

✅ 为您安排楼盘现场销售全程接待并讲解,给您更贴心的看房体验!

➤➤➤➤VIP贵宾置业〢欢迎来电咨询〢品鉴!!

象屿同进·虹桥嘉悦府

嘉定南翔印象城旁

11号线沿线 大虹桥首个新盘

建面约99-105㎡小高层3房

总价约510-600万 可直接选房

中央空调地暖新风+恒温泳池会所

均价约5.5万/㎡ 共计100套房源虹桥嘉悦府售楼处电话:400-856-9058☑️☑️

虹桥嘉悦府售楼处电话:400-856-9058☑️☑️

虹桥嘉悦府售楼处电话:400-856-9058☑️☑️

项目基础信息

项目名称:象屿同进·虹桥嘉悦府

物业类型:住宅

产品形态:高层,叠墅

总户数:1004

车位比:1:1.3

容积率:2.2

层高:高层2.95米,叠加3米

物业公司:自持物业

物业费:待定

装修情况:精装修(中央空调/新风/地暖)

价格:高层5.5万/㎡;叠加6-7.3万/㎡

总价区间:叠加:仅剩最后一套1100万

高层:510-600万

交房时间:2025年6月30日

拿地时间:2022年9月

在售产品面积段:

下叠145㎡:4房2厅3卫

高层99㎡:3房2厅2卫

高层105㎡:3房2厅2卫

2023,国企象屿五子齐发,气势如虹!虹桥嘉悦府售楼处电话:400-856-9058☑️☑️

虹桥嘉悦府售楼处电话:400-856-9058☑️☑️象屿招 商·公园1872南区、象屿招商·公园1872北区、招商象屿·蟠龙府2期、象屿同进·虹桥嘉悦府、天安象屿·萃湖臻境、象屿路劲·都匯云境五盘齐发,虹桥嘉悦府售楼处电话:400-856-9058☑️☑️一批次 均已过会,开盘在即!在上海拿地的资金成本有多大,都是以亿为单位计数,而国企象屿开年抛出5个王炸,真正的实力担当!虹桥嘉悦府售楼处电话:400-856-9058☑️☑️

虹桥嘉悦府售楼处电话:400-856-9058☑️☑️象屿地产,是《财富》世界500强、大型国企象屿集团的全资子公司,象屿集团已连续多年入围《财富》世界500强。这次择址北虹桥,打造象屿最高端的“悦府”系产品,聚焦“高品质”,将成为北区全新人居标杆。虹桥嘉悦府售楼处电话:400-856-9058☑️☑️

象屿同进·虹桥嘉悦府售楼处实拍▼虹桥嘉悦府售楼处电话:400-856-9058☑️☑️

虹桥嘉悦府售楼处电话:400-856-9058☑️☑️【象屿 同进·虹桥嘉悦府】不仅为业主配备了难得的恒温泳池会所,整体规模更是达到了约1500㎡!会所内配备恒温泳池&更衣室、健身房、书吧、棋牌室、儿童区等功能,集运动、休闲、社交、亲子等多功能于一体,满足业主多样的生活需求。虹桥嘉悦府售楼处电话:400-856-9058☑️☑️

除了恒温泳池会所之外,项目还坚持高标准精装交付!连叠加都是装修的!

虹桥嘉悦府售楼处电话:400-856-9058☑️☑️

虹桥嘉悦府售楼处电话:400-856-9058☑️☑️

虹桥嘉悦府售楼处电话:400-856-9058☑️☑️据悉项目“三件 套”齐备:大金(或同等品牌)中央空调、大金(或同等品牌)地暖、知名品牌新风,一看就舍得在装修上花成本,这才是品质生活的保障。虹桥嘉悦府售楼处电话:400-856-9058☑️☑️

示意图

虹桥嘉悦府售楼处电话:400-856-9058☑️☑️除了高标准装修交付之外,项目还是一个超低能耗住区!通过调整窗墙比例,提升采光效果;利用绿色环保材料,实现节能创新;还有新风回收装置;变频变压 VVVF 节能电梯;天氟地水两联供系统等,在满足居住舒适度的同时,还能节能环保!虹桥嘉悦府售楼处电话:400-856-9058☑️☑️

高层&叠墅效果图&实拍图▼

虹桥嘉悦府售楼处电话:400-856-9058☑️☑️

一进:礼序门户,曲水迎宾;

二进:高端会所,圈层往来;

三进:归家轴线,对景礼序;

四进:主体巷道,墅区归家仪式;

五进:品质入户,极致归家体验。

示意图

虹桥嘉悦府售楼处电话:400-856-9058☑️☑️景观方 面,项目整体规划多处亮点空间以及八大户外场景融入社区,社区设置约33 m面宽极奢归家门头、迎宾动水景、摩卡心会客、下沉享庭院、全龄动乐园、全民跑计划、两大学生活宅间、坊巷户体系,让业主在每一个角落都能享受放松与悠闲。虹桥嘉悦府售楼处电话:400-856-9058☑️☑️

虹桥嘉悦府售楼处电话:400-856-9058☑️☑️

项目推售详情

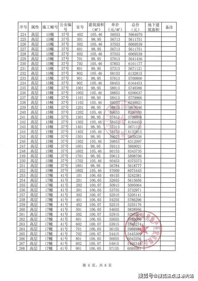
虹桥嘉悦府售楼处电话:400-856-9058☑️☑️本次预 计推出4#14#15#17#墅境高层与建面约8#10#滨水叠墅,共计322套房源。8#10#叠墅为项目滨水叠墅收官之作,彰显墅区品质,板块内惟一在售叠墅产品。虹桥嘉悦府售楼处电话:400-856-9058☑️☑️

15#视野景观最好,位于项目内C位担当,极具尊感。

145㎡滨水叠墅,最后1套叠加产品收官在即,稀缺性不言而喻,错过不再有!

三期加推示意图虹桥嘉悦府售楼处电话:400-856-9058☑️☑️

叠加效果图

虹桥嘉悦府售楼处电话:400-856-9058☑️☑️

高层87㎡三房两厅一卫

建面约99㎡3房户型图▼

虹桥嘉悦府售楼处电话:400-856-9058☑️☑️

建面约105㎡3房2卫▼

虹桥嘉悦府售楼处电话:400-856-9058☑️☑️

建面约105㎡为5.1米宽厅设计外接大阳台,这对黄金组合一方面撑开户内尺度,另一方面也让通风和采光俱佳。虹桥嘉悦府售楼处电话:400-856-9058☑️☑️

虹桥嘉悦府售楼处电话:400-856-9058☑️☑️

除了高层,项目还有南翔稀缺叠墅。环顾南翔的别墅产品,主要集中在金地片区,大部分已有15年房龄了,而且面积大起价高。

建面约145㎡下叠▼

建面约140㎡中叠▼

建面约120㎡上叠▼

项目区位配套

从区位来看,嘉定南翔相较于青浦、松江等区域更加靠近市区。作为嘉定的重点区域, 南翔距离人民广场和徐家汇均不到16公里,真正做到与市区紧密相连。

其实, 南翔的板块定位与闵行的莘庄类似,地理位置也极其相似,作为嘉定区承接市区外溢的桥头堡,南翔的未来不可限量。

示意图

除了背靠市区这颗大树之外,南翔还位于国家级战略发展重心的大虹桥板块。

虹桥嘉悦府售楼处电话:400-856-9058☑️☑️在嘉定 “十四五”规划中,南翔被纳入北虹桥综合商务区,未来的南翔,必将成为虹桥国际开放枢纽的创新承载区。

虹桥嘉悦府售楼处电话:400-856-9058☑️☑️大虹桥不仅是长三角 一体化国家战略中的“领头羊”,更是上海面向未来的战略发展空间与主要发展极,因此,虹桥也将为上海、为长三角、为全世界,带来更多想象。虹桥嘉悦府售楼处电话:400-856-9058☑️☑️

虹桥嘉悦府售楼处电话:400-856-9058☑️☑️

首先是快速公路方面,南翔板块内共有三条快速交通。

沪嘉高速向东,可转入外环以及中环,轻松切换市区。

嘉闵高架向南,可以便捷通勤大虹桥。

沪翔高速向西,可汇入沈海高速联通长三角。

虹桥嘉悦府售楼处电话:400-856-9058☑️☑️

虹桥嘉悦府售楼处电话:400-856-9058☑️☑️

地铁11号线,向东可以直达真如、徐家汇、徐汇滨江和前滩等市区多个CBD,向西可以直达嘉定新城。

嘉闵线(在建中),只需4站即可到达虹桥站,另外还可与13/14号线换乘。

22号线(规划中),据最新上海轨道交通示意图显示,22号线自南翔连接吴淞邮轮港。

示意图

众所周知,南翔主打的标签就是“宜居”!

这里不仅拥有整齐划一的中高端城市界面,道路两旁也绿茵葱葱,同时拥有留云湖、银翔湖两大景观湖,未来还将打造云翔湖。

虹桥嘉悦府售楼处电话:400-856-9058☑️☑️

南翔实景图

商业配套方面:南翔有约78万方CBD六大商圈。

上海最大单体商业印象城商圈约34万方、五彩城商圈约4万方、中冶祥腾商圈18万方、南翔老街约14万方、太茂商业广场约5万方......

南翔印象城

目前在建的上海第五家山姆会员店,计划于今年下半年投入运营,距离虹桥嘉悦府约800米!

虹桥嘉悦府售楼处电话:400-856-9058☑️☑️

虹桥嘉悦府售楼处电话:400-856-9058☑️☑️教育资 源方面:云翔规划教育用地16块,已知3所在建或已建成的优质公立学校——上海世外教育附属嘉定云翔小学(在建)、上海世外教育附属嘉定云翔中学(在建)、惠亚路中学。虹桥嘉悦府售楼处电话:400-856-9058☑️☑️

虹桥嘉悦府售楼处电话:400-856-9058☑️☑️医疗资 源方面:「上海瑞金医院北部院区」三级综合医院、「南翔医院」二级甲等综合医院,以优渥医疗资源,守护业主健康。

虹桥嘉悦府售楼处电话:400-856-9058☑️☑️

声明:本文由入驻焦点开放平台的作者撰写,除焦点官方账号外,观点仅代表作者本人,不代表焦点立场。