静安玺樾首页网站-静安玺樾售楼处电话-静安玺樾楼盘详情-交房时间-地址-最新房价户型图-小区环境-楼盘详情-交房时间-周边配套-售楼处电话

嘉峪关楼市发布 2025-11-14 17:43:09
用手机看
扫描到手机,新闻随时看

扫一扫,用手机看文章
更加方便分享给朋友

静安玺樾营销中心电话:400-9975-759

在上海楼市“品质为王”的时代,静安玺樾自面市以来便凭借硬核实力持续领跑,成为购房者心中的“理想之选”。 静安玺樾售楼处电话:400-9975-759

立足城市发展黄金脉络,项目将区位优势与居住本质深度融合,✅ 静安玺樾售楼处电话:400-9975-759✅✅

既承接板块发展红利,又精研人居细节,为上海精英家庭献上一份高品质生活答卷。 静安玺樾售楼处电话:400-9975-759

静安玺樾营销中心电话:400-9975-759

静安玺樾售楼处电话:400-9975-759✔【已认证】「静安玺樾」

静安内环内 国际中兴城

加推约97-106㎡2-3房海派著品

8号线中兴路站距离约330米

均价124191元/㎡ 共165套

另前期少许94-165㎡2-4房在售

均价125777元/㎡ 总价约945万起

奢华地库+海派园林+万科物业

样板房线上火热预约

静安玺樾售楼处电话:400-9975-759✔【已认证】

,时长

01:46

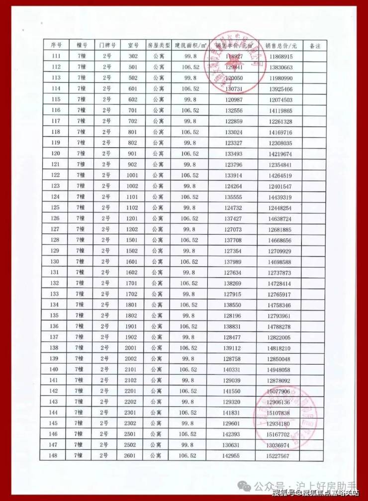
静安玺樾三期一房一价表▼

区位是价值的基石,静安玺樾占据上海“金色中环”或滨江核心等战略板块,坐享政策与资源双重倾斜。 静安玺樾售楼处电话:400-9975-759

区域内已汇聚数百优质企业,产业势能持续释放,未来十万级高净值人群将在此聚集,为房产价值提供坚实支撑。交通方面,✅ 静安玺樾售楼处电话:400-9975-759✅✅

项目紧邻多条城市主干道, 静安玺樾售楼处电话:400-9975-759

距地铁X号线站点仅200米,30分钟直达人民广场、陆家嘴等核心商圈,无论是通勤还是出行都高效便捷。 静安玺樾售楼处电话:400-9975-759

静安玺樾营销中心电话:400-9975-759

全维配套是生活的底气。生态上,项目被14万方城市绿带与滨江公园环绕,15.5公里滨水步道推窗即达, 静安玺樾售楼处电话:400-9975-759

清晨晨跑、傍晚漫步,让江风与绿意成为日常。 静安玺樾售楼处电话:400-9975-759

商业上,800米内覆盖22万方商业综合体,既有盒马鲜生、星巴克等日常配套,也有独立书店、文创空间等潮流场所,满足多元消费需求。 静安玺樾售楼处电话:400-9975-759

教育医疗资源更堪称优质,1公里内包含两所区重点中小学与社区卫生服务中心,3公里可达三甲医院,✅ 静安玺樾售楼处电话:400-9975-759✅✅

为家庭健康与孩子成长全程护航。

产品力是制胜的关键。静安玺樾推出100-160㎡全生命周期户型,空间使用率高达99%,较同面积产品多出约13%实用空间。✅ 静安玺樾售楼处电话:400-9975-759✅✅

户型设计遵循“南向多开间”原则,搭配全景阳台与落地飘窗,最大化引入阳光与江景。装修上采用一线品牌建材,配备智能安防、全屋净水等系统,细节 静安玺樾售楼处电话:400-9975-759

静安玺樾营销中心电话:400-9975-759

静安玺樾售楼处电话:400-9975-759✔【已认证】

最新消息:静安玺樾三期加推2号楼的18单元和20单元、7号楼的2单元,主力户型包括建面约98-107㎡2-3房,3房总价约千万级起!

2号楼18单元和20单元:往外可瞰芷江绿地,内可赏入口中轴景观。

项目社区景观效果示意图,仅供参考,以实际交付为准

7号楼2单元:可远眺三件套、中兴公园,楼下还有中心景观。

项目基本信息

开发商:上海市静安城市更新投资发展有限公司

板块:静安内环内•国际中兴城板块

在售面积:94㎡/98㎡/100㎡2房2厅2卫

103㎡/104㎡/122㎡/134㎡3房2厅2卫

165㎡4房2厅3卫

总价:945-2354万

均价:125000元/㎡

总体量:926套

总层数:17层、19层、33层

层高:3-3.1m

交房时间:2026年6月

物业公司:上海万科物业服务有限公司(一级资质)

物业费:9.8元/m/月

在售楼栋:1号/2号/4号/5号/7号,3号/6号 待加推(预计10月底)

总用地面积:31352.4㎡

总建筑面积:152702.85㎡

住宅建筑面积:91316.33㎡

得房率:75-79%

容积率:3.05

绿化率:35.25%

车位总数:1150个

【静安玺樾】是位于上海市静安区中兴城社区内的典型城市更新项目,是继佘山玺樾后,又一top系力作,代表着北方集团在静安内环标杆项目,以好的产品力,高标准的实力呈现。

里面/地库/园林/样板间正式公开

众所周知,示范区是整个项目未来品质的超前剧透,它究竟为你带来了怎样的惊喜呢?它没有去考验业主的想象力,而是把生活场景、规划的蓝图提前搬到了面前,不惜成本给业主优先带来了一波产体验。

据悉这一次开放,整个项目的立面、地库、园林、样板间将全部亮相此次示范区。这意味着窥其一二,全貌都可 “一览无余”。

【静安玺樾】沉淀北方集团近20载城市更新修为,从雅、境、奢、艺四相出发 ,构筑品级、建筑、公区、用材、精装、景观、户型、服务、配套、层等12大维度标准,打造上海心上的矜贵珍藏。

效果图

海派立面 看到品质的具象化

作为项目面向未来的建筑表情,静安玺樾从在地化角度思考,与静安气质保持一致,以海派风格为主,采用石材,铺以横向铝板线条,通过对材质细部的精细化设计,真实还原海派立面的摩登风格,很具识别度。

海派建筑立面,香槟金与经典咖的审美复兴,惊艳上海心

色、材、纹、饰,从色彩到材质,再到细节,纯粹匠心

实景图

处尽显匠心。社区内打造7000㎡森系泛会所,涵盖亲子活动、健身休闲等功能区,为邻里社交提供温馨场所。

在上海新房市场稳步发展的当下, 静安玺樾售楼处电话:400-9975-759

静安玺樾以“高性价比+强成长性”✅ 静安玺樾售楼处电话:400-9975-759✅✅

脱颖而出。相较于同板块竞品,项目均价更具优势,且依托不可再生的滨江或核心地段资源, 静安玺樾售楼处电话:400-9975-759

未来升值空间清晰可见。选择静安玺樾,✅ 静安玺樾售楼处电话:400-9975-759✅✅

不仅是购置一套房产,更是抢占城市发展红利,拥抱一种“进退自如”的高品质生活。目前营销中心已开放,诚邀莅临品鉴。

1.15万亿资产的地产龙头,筹谋配售发债。

11月13日,华润置地公告,拟配售手中4950万股华润万象生活的股份, 套现20.6亿港元

3天前,其宣布准备申请一笔中期票据计划,募集39亿美元。若两大计划顺利推行,华润置地所补充的资金,折合人民币在300亿左右。

市场正等待回温,董事长李欣领衔的地产巨兽,在业绩承压的关键时期,同样在增强资金储备。

本月初,其发债平台“华润置地控股”刚完成核心高管调整。由华润置地总裁徐荣出任董事长,与新任财务总监赵伟,组成新的管理团队。

“徐荣与赵伟的搭配, 预示公司后续融资动作或将进一步加码。”上海易居房地产研究院副院长严跃进评价称。

果不其然,融资动作紧随而来。

密集出招

李欣团队这次配售,时机瞅得准,正值华润万象生活的股价高点。

这家商管龙头企业,同样由李欣掌舵,主营商业和物业运营管理,截至6月末,覆盖125个购物中心和27个写字楼,在管建筑面积为4.2亿平方米。

2024年以来,华润万象生活的股价,从低点18.34港元,最高涨至46.54港元,一度创下近两年新高, 市值重返千亿港元

华润置地作为大股东,在华润万象生活持股72.29%,此次配股价为41.70港元,较最后交易日收市价折让约9.58%,相当于打九折,较年初股价仍高了1.6倍。

《21CBR》记者从华润置地方面了解到, 本次配售获全球机构积极响应,认购倍数达4倍,最终长线投资者获分配近60%,包括多家主权基金及长线资管公司。

配售完成后,华润置地对万象生活的持股比例,降至70.12%,依然握有实控权。

回笼的20.6亿港元,将极大补充华润置地的流动资金,用于收购储备土地、开发成本等。

李欣团队还有一重考量。

公告指出,配售将令华润万象生活的股东结构更多元,增强其市场流动性和股权价值,大股东也将受益。

今年以来, 华润置地基于央企背景和稳健经营,已完成多轮企业票据公司债发行,优化债务结构

最近一次在11月10日,华润置地公布了39亿美元中期票据计划,是时隔6年来首次进行境外债融资。

今年以来,华润置地还在国内获得多项定期贷款、发行中期票据及公司债等。

架构调整

李欣治下,华润置地的内部调整,动作不断。

10月底,华润置地控股完成核心高管调整。徐荣正式出任董事长,与新任财务总监赵伟组队, 分别接替李欣与郭世清的职务

徐荣与赵伟的新搭配,被外界解读为华润强化其财务团队,有望拓宽融资渠道。

具体看这两人的经验,赵伟是华润系的财务老将,曾任华润啤酒和华润医药的CFO。

徐荣在2023年初才加盟华润,去年12月就升任华润置地总裁。

当时公告称, 他曾任职深圳市规划和国土资源委员会、招商局集团等,在城市更新等方面拥有丰富经验。

政府出身加上企业经验,两年多时间,徐荣跃升为公司“二把手”。

新管理层官宣数日后,11月5日,华润置地控股就发布公告,发行不超过65亿元的公司债券,债券票面利率为1.78%。

除了人事变动,李欣也对华润置地的组织架构进行了大调整。

年中的变动, 主要是弱化大区的平台职能,形成“强总部、强一线、弱大区”的管理模式,大区转变为“运营督导”的角色。

具体来看,大区层面涉及住宅开发业务的职能全部取消,相关权限收归总部或下沉至城市公司。

商业综合开发建设部门,则保留在区域,因为华润置地的商业开发业务比重较大,而且需要体系化运营。

其实,李欣在去年初,就开始对组织架构动刀了,其思路是一脉相承的。

当时,他把原有7个大区重组为5个,28个地区公司重组为20个,并放权至一线,地区公司的权限增大,大区权力相应弱化。

克而瑞的一份报告显示,其监测的65家重点房企,今年以来纷纷调整组织架构,通过“换血”与资源重组,寻求降本增效与战略转型的新路径。

缓解压力

放眼地产行业,华润置地是少有稳健的房企,营收、利润有回暖态势。

当前,其确实有较强的资金需求。这个地产巨头,总资产达1.15万亿,今年重现扩张节奏。

1-10月, 华润置地的权益拿地金额为538亿元,已接近去年全年

来源:网络

最受瞩目的一次在8月,华润置地与联合方,以244.7亿元拿下上海两个项目。

“改善型需求将持续释放,华润置地已做好充分准备,积极把握市场机遇。”李欣在中期业绩会强调。

只是,面对行业颓势,华润置地也难独善其身。1-10月,其累计合同销售约1696亿元,同比减少16.6%。尤其是10月份,销售额同比砍半。

在业绩承压的节点,多渠道补充现金,能为后续投资提供保障,同时优化债务结构。

过往数年的扩张,让华润置地的有息债务压力加大。

截至6月末, 其综合有息借贷总额2813亿元,半年就增加了211.52亿元。其中,一年内到期的银行及其他借贷、中期票据,超过616亿元。

现在,华润置地的账上还有1202亿元现金,应对短债无虞,要兼顾持续发展,仍有压力。

几番资本腾挪,李欣团队借新还旧,未雨绸缪,应对周期挑战。

声明:本文由入驻焦点开放平台的作者撰写,除焦点官方账号外,观点仅代表作者本人,不代表焦点立场。