「佳运名邸」
北上海稀缺低密纯洋房
建面约90-129㎡精装3-4房
均价39837元/㎡总价约298万起
首推315套房源 正在认购
售楼处线上火热预约
佳运名邸售楼处电话:400-8894-986

佳运名邸售楼处电话:400-8894-986

佳运名邸售楼处电话:400-8894-986
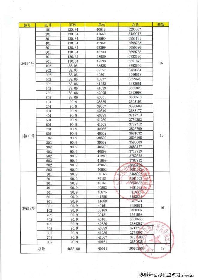
佳运名邸一房一价表:

佳运名邸售楼处电话:400-8894-986


佳运名邸售楼处电话:400-8894-986


佳运名邸售楼处电话:400-8894-986


佳运名邸售楼处电话:400-8894-986


佳运名邸售楼处电话:400-8894-986

项目基础信息
项目名称:佳运名邸
占地面积:5.3万方
建筑面积:14万方
容积率:1.4
绿化率:35%
户型和套数:
洋房:90平 3房2厅1卫:231套
总价:毛坯316-373万 精装298-390万
108平3房2厅2卫:46套
总价:精装440-490万
129平 4房2厅2卫:38套
总价:毛坯473-540万 精装525-590万
建筑总高:洋房8层(层高3米)
车位配比:1:1.28 小区人车分流
梯户比:洋房1梯2户
得房率:85%
预计交房时间:2025年6月底
物业公司:中航物业管理有限公司
物业费:4.3元/平米/月
佳运名邸售楼处电话:400-8894-986

项目推售详情
佳运名邸售楼处电话:400-8894-986
【佳运名邸】拥有1.4的低容积率,根据规划显示,将打造纯粹8层洋房住区,装修交付。佳运名邸售楼处电话:400-8894-986

佳运名邸售楼处电话:400-8894-986在社区景观规划上,佳运名邸携手澳大利亚知名景观设计院,从传统府院规制汲取灵感,融合现代生活美学,打造轴线对称式花园,营造九重归家臻境,呈现洋房生活的尊崇仪式,兑现纯粹臻席的花园洋房生活。佳运名邸售楼处电话:400-8894-986

佳运名邸售楼处电话:400-8894-986

【佳运名邸】主力户型为建面约126㎡四居、约108㎡三居、约90㎡三居,关照每位家庭成员的居住体验,实现人居空间到情感剧场的美好创变。
项目户型图▼

佳运名邸售楼处电话:400-8894-986
项目区位配套

佳运名邸售楼处电话:400-8894-986

佳运名邸售楼处电话:400-8894-986交通配 套方面:佳运名邸距离S7沪崇高速直线距离约2公里,S7沪崇高速二期月罗公路-宝钱公路段已通车,沪太路(中环到郊环段)快速化(规划中),如火如荼进行中,未来将促进交通路网的升级。还有S16蕰川高速(规划中)、沪太路等路网,轻松畅,全城。佳运名邸售楼处电话:400-8894-986

佳运名邸售楼处电话:400-8894-986商业配 套方面:项目约500米即可到达上坤上街购物中心,还有大润发、罗店世纪联华、各类生鲜超市、生活超市等满足日常生活所需;约5公里可达约70万方城市综合体美兰城,一站式打造城市崭新休闲主场。佳运名邸售楼处电话:400-8894-986

医疗资源方面:板块内还有华山医院,国际和平妇幼保健院美兰湖分院,宝山罗店医院等医疗资源,为健康保驾护航。佳运名邸售楼处电话:400-8894-986
佳运名邸售楼处电话:400-8894-986教育资 源方面:社区自带幼儿园,板块内还有贝尔乐幼儿园、罗溪路四方幼儿园、金锣号幼儿园、宝山区罗店镇幼儿园、申花幼儿园、佳运名邸售楼处电话:400-8894-986上海市罗店中心校、上海罗店中学、罗阳小学、上海市宝山陈伯吹中学、上海外国语大学附属宝山双语学校等幼小中学府,距九年一贯制上海世外教育集团附属美兰湖学校仅约3公里,丰富优教资源为孩子营造高品质成长环境。佳运名邸售楼处电话:400-8894-986

佳运名邸售楼处电话:400-8894-986生态资 源方面:罗新公园、罗溪公园、闻道园等林立,约110亩美兰湖、美兰湖高尔夫球场、诺贝尔科技公园等各大主题景观带环伺,围合一座“都市氧吧”。佳运名邸售楼处电话:400-8894-986

佳运名邸售楼处电话:400-8894-986
一位郑州阿姨(@桐杨),就晒出了自己已经用了10年的厨房,整间厨房装修简单不过度,但却收拾得干干净净,丝毫感受不到很多老旧厨房那种油污过重的状态。

看过她家的厨房,我才终于明白,原来“干净”二字,才是过日子最美的状态。
【不锈钢灶台及时清洁】

厨房里最容易脏的,可能就是灶台周围了,炒菜时溅的油污、菜渣、水渍,很容易让灶台变脏,进而让厨房显得脏乱邋遢。
但这位郑州阿姨家的厨房,却在这十年间一直保持着干干净净的状态,每次做完饭,她都会及时用油污清洁剂擦拭清理干净周围的油污水渍,用了很久的灶台,还和新的一样。

油烟机也是,这清洁频率甚至高到每天清理擦拭滤网外层,每半个月拆下来清理里面积聚的油污。
虽说也是用了多年的油烟机,但目前来看也同样是没有什么重油污,以至于过年大扫除的时候,都不用刻意去清理油烟机。
【锅具保养得当】

厨房里的锅具,也是保养得很到位。
炒菜用的铁锅,每次用后都会烧热再擦上一点油,不仅能保证其不生锈,也能避免炒菜时出现粘锅、炒不散的情况,虽说看起来有些麻烦,但对于铁锅来说确实是最好的保养方式。

蒸锅在使用的过程中,也会在蒸屉上盖一块笼屉布,用的时候保证食物不直接和笼屉接触,卫生的同时也方便清洗,用后只需要清洗这笼屉布再简单冲洗一下笼屉就行,当然,锅具周围的擦拭也丝毫不会落下。
【水槽周围不乱放】

很多人家里水槽周围,都会乱放很多东西,但她家的水槽,却只放了洗洁精和一个沥水篮,每天洗完碗以后,会把水池周围的水渍擦干净,让水槽长久保持干爽的状态。
没有什么多余的装修,就是这种干干净净的状态,真的让人感到舒服。

洗碗布用挂钩挂在水槽内壁上,平时收纳起来既不会让水槽显得乱,又可以充分起到沥水的作用,这么一个小小的挂钩,就解决了洗碗布收纳时容易滴水和不卫生的问题,细节做得十分到位。
【底柜收纳餐厨具】

家里的底柜,主要用来收纳餐具和厨具,虽说十年前的装修碗篮还不太普及,但因为餐具量不算多,里面也有一定的留白,放起来倒是不乱也不挤,柜子上面再贴一层膜,平时擦拭清洁也很方便。

像是饼铛、电磁炉这类不常用的餐具,也都放在了灶台下方的底柜里,留有缝隙方便拿取,用的时候不用再翻找。
看到没,即便是隐藏收纳,她做得也十分到位,不会因为是在柜子里就胡乱摆放,这点值得学习。
【吊柜保持干净】

吊柜分成两层,上层主要收纳些不常用的东西,或者调味料备用品,长时间不拿也不会觉得不方便。
下层相当于是个灵活的空间,主要来放置些绞肉机、料理机等小厨电,绝不放无用之物,留有足够的空间灵活应变。

哦对,包括大米在内的各种粮食,也是都放在了米桶、罐头瓶、收纳盒里,且只准备不超过收纳容器的量,一般情况下一两个月补充一次就行,避免让柜内放得东西太多而导致拿取不便。
【利用纵向空间做收纳】

她家厨房久住不乱还有一个秘诀,就是将纵向空间充分利用了起来。
比如吊柜底部,安装挂钩当杯架、厨具挂钩,筷子篓也是贴在墙面上,尽量减少在台面空间放置的物品,节省空间的同时也方便平时用抹布擦拭台面。

另一边的空白墙壁上安装挂钩,挂竹编篮子和饺子盘,也是同时起到晾干沥水和充分利用空间的双重用途。
你别说,简单的厨房挂上这俩东西,还真显得很有烟火气儿呢~
【文末结语】

总而言之,这位郑州阿姨家里的厨房让我大开眼界—— 用了十年还能干净如新,且每天都会勤快自律地进行清洁打理,这生活状态和习惯也是真的让人佩服!
原来,干干净净才是过日子的最佳状态~你说对吗?