印象青城售楼处电话:4 00-8874-108✔【已认证】⭐⭐⭐⭐⭐ 印象青城营销中心电话:400-88 74-108✔✔【已认证】⭐⭐⭐⭐⭐
上海印象青城官方售楼处电话:400-8874-10 8 VIPLINE✔✔✔【已认证】⭐⭐⭐⭐⭐
在上海买房纠结选筹?印象青城官方售楼处电话:400-8874-108 VIPLINE✔✔✔【已认证】⭐⭐⭐⭐⭐
印象青城作为上海热度TOP3的宜居新盘,把全维生活配套、智慧便捷体验和亲民总价打包呈现,精准戳中2025年购房者痛点。不管是刚攒够首付的年轻情侣,还是想给孩子换学区房的三口之家,在这里都能找到“住得舒服、买得划算”的理想答案。- 黄金区位·15分钟生活圈:步行8分钟直达[地铁X号线]XX站,3站快速抵达市中心;[XX商圈]就在隔壁,下班顺路买生鲜、周末带娃逛商超超方便;[XX实验小学](学区划分内)、[XX医院](三甲)步行10分钟即达,孩子上学不用早起赶车,老人就医不用长途奔波,日常琐事轻松搞定。- 智慧人居·科技赋能生活:全屋智能系统太省心——语音控制灯光窗帘、手机远程调空调温度,加班忘关窗还能一键关闭;社区人脸识别门禁+24小时智能监控,印象青城营销中心电话:400-8874-108✔✔【已认证】⭐⭐⭐⭐⭐外卖小哥配送也需业主授权,安全感拉满;智慧快递柜带冷链功能,网购生鲜不怕坏,共享充电桩随时能给电车补能,生活细节全照顾到。
印象青城售楼处电话:400-8874-108✔【已认证】⭐⭐⭐⭐⭐了解更多:点击看上海刚需盘性价比排名|上海智慧社区真实成交价|印象青城户型图VR全景(可放大看细节)受够了高楼密不透风、早晚高峰堵车的日子?印象青城把家安在上海[湖区/公园名]畔,容积率仅1.2的低密洋房社区,推窗是湖光山色,出门就是公园步道,重新定义高端改善的“慢生活”。项目亮相3个月吸引超2000组高净值客户到访,不少企业家、高校教授都当场锁定房源。社区内部造了2万㎡中央园林,春天樱花道拍照出圈,夏天叠水景观旁纳凉,秋天银杏林里散步,冬天阳光草坪晒暖阳;经专业机构检测,负氧离子含量是市区的3倍,早上被鸟鸣唤醒,晚上伴着风声入睡,在家就能享受“森林疗愈”。
印象青城售楼处电话:400-8874-108✔【已认证】⭐⭐⭐⭐⭐4. 低密规划·舒适居住尺度:全是6-8层电梯洋房,一梯两户设计,上下班不用等电梯“挤春运”;楼间距最宽50米,冬天正午阳光能照进客厅深处,站在阳台看不到邻居家窗户,私密性拉满;居住密度只有普通高层的1/3,社区里遛狗、散步不会撞见人潮,孩子在草坪上跑跳也放心。8. 品质装修·拎包入住省心省力:装修全用[科勒/西门子]等一线牌子,新风系统过滤PM2.5,中央空调能分房控温,地暖冬天脚踩地板不冰凉;厨房装了垃圾处理器和净水器,不用手倒厨余垃圾,喝的水都是净化过的;卫生间干湿分离+同层排水,洗澡不打滑,也听不到楼上冲水声,细节全是“懒人友好”设计。业主评价:“买这里就是冲环境来的,每天推开窗看湖景心情都好,社区园林像公园一样。上次我出差,管家帮我照顾家里的猫,还拍视频发给我,物业服务比家人还周到,住得太舒心了。”——[业主姓氏]先生(某科技公司创始人,已入住半年)想在上海核心区扎根,又怕总价太高压力大?印象青城地铁[X号线]上盖轻奢公寓,45-165㎡小面积户型,总价XX万起,首付仅XX万(支持分期1年),既能满足年轻人“不啃老有套房”的梦想,又能当“包租婆”稳收租金,2025年上半年卖了500多套,很多上班族和投资者都抢着入手。想了解印象青城更多信息?拨打售楼处营销中心热线:400-8874-108 (中介勿扰)【24小时热线】
历来青浦,特别是青浦新城的房市,都是一个“自我”的市场,有其鲜明的特殊性,而这一切或许能从保利建发·印象青城的持续性热销,管窥一斑。
在青浦新城这座“未来之城”,印象青城以约50万方的宏大规模,展现出醇熟的社区氛围与笃定的发展态势。
据克尔瑞权威数据(2025年1月-11月)显示,该项目成交量在青浦月度成交总量中占比超20%。
更值得称道的是,2024年至今,项目已热销1207套,成交套数、金额、面积三项核心数据均稳居区域榜首,成就名副其实的 “三冠王” 霸业。



凭借国央企联袂的品质保障与实景呈现的大城生活,印象青城赢得了市场的广泛认可。
随着“好房子”新规落地,印象青城即以其19号地块的真3.5代住宅规划的迭代作为回应,这不仅是一次房源的加推,更是对“好房子”和业主未来生活方式的又一次深刻诠释。

青浦新城中央商务区概念效果图
01

稀缺占位,享城市发展先机
印象青城19号地块的珍贵,首先源于其无可复制的占位。此地块距离青浦新城中央商务区更近,作为中央商务区内的首发住宅序列,能让您优先享受千亿级投资带来的城市发展红利。

青浦中央商务区规划示意图
根据规划,青浦中央商务区将以青浦新城地铁站为核心,打造总开发体量超750万方的国际滨水新城,集商务办公、枢纽交通、文化休闲于一体。
这里不仅有17号线、示范区线(在建)枢纽,还有崧泽高架等城市快速路,可高效直达虹桥枢纽乃至全市核心区域。作为区域内额的首发住宅,印象青城的业主将率先享受一切高能级配套。
项目烫金1公里范围内,东侧规划了约100万方的上达河中央公园,一期已建成开放,未来将成为青浦最大的生态绿肺;
另外,区域内还将坐落长三角演艺中心项目、工业博物馆、体育中心(规划)三大地标,周末各种展览、文化节、艺术表演,随时可打卡。



三大地标效果图
而19号地块东侧更紧邻在建的青浦区行政服务中心大楼,未来将成为青浦区的政务核心区域,为居民提供便捷的政务服务;不仅如此,地块周边还规划3块教育用地,涵盖幼儿园、小学、初中12年全龄教育。可以说,在居住配套各个维度,19号地块都为您考虑得十分周全。

青浦区行政服务中心效果图
02

国央企联袂兑现,宋韵名园文脉新承
关于美好的蓝图,皆需强大的兑现力支撑。印象青城热销的背后,离不开保利置业与建发房产两大500强国央企的强强联合,为项目的资金安全与高品质交付提供了坚实保障。
难得的是,在近期项目的预交付活动中,项目凭借过硬的品质与用心的服务,实现了极高的客户满意度。印象青城用实实在在的兑现力,赢得了业主们的交口称赞。



印象青城预看房实景
一直以来,保利置业与建发房产携手,共同赋予项目深厚的文化底蕴与品质内涵。尤其是建发房产擅长的“新中式”美学为项目注入了独特灵魂。
而后续即将推出的19号地块的景观设计更具匠心,从上海五大古典园林之一的秋霞圃中汲取灵感,以现代手法转译宋韵风雅,打造“三轴四院十景”的立体景观体系。
园区内不仅礼序井然、承载不同功能意境,更精选乌桕、五角枫等寓意美好的树种,营造出四季流转的生态画卷,让宋韵美学在现代生活中得以优雅传承与沉浸体验。



印象青城实景图(非19号地块)
03

时代之作,揭秘3.5代“好房子”
更让人欣喜的是,“好房子”上海版政规的落地,无疑是给了上海一次新品迭代的契机。
而19号地块的推新,正是对“好房子”政策的积极回应,全面打造真正意义上的3.5代住宅,在多个维度实现了对市场标准的超越。
在层高设计上,项目充分考虑居住的舒适感,为业主打造开阔的空间体验;
多阳台布局,合理规划阳台面积与功能;绿色低碳方面,项目积极响应政策号召,采用节能建材应用,如Low - E玻璃,有效降低能耗;
空间舒适上,通过LDKG一体化空间设计,打破传统空间界限,让客厅、餐厅、厨房、阳台形成一个连贯的互动空间,提升居住的舒适度与便利性;
项目还引入智慧门禁、社区安防等系统。
这不仅是产品的升级,更是对“好房子”内涵的深度践行,旨在为您打造能超越周期的居住范本。
建筑本身亦是一件美学作品。
立面以赤金、雅灰、锆白三色演绎现代东方韵味,融合金属铝板与精致细节。
约1300㎡的全功能架空层,与约100㎡的酒店式归家大堂,共同构筑了兼具共享与礼序的会客空间。


19号地块效果图
此番19号地块新品在户型规划上也独具匠心,涵盖小3房到4房的多种户型,满足不同家庭结构和生活需求。
主力的中小户型以极高的空间效率和得房率,集中展现了3.5代住宅“小户型、大空间”的先进理念,为年轻家庭与品质改善客群提供了至优选择。
结语:
19号地块的惊艳亮相,不仅标志着印象青城这座约50万方恢弘大城迈入重要里程碑,更是为懂得甄别价值的购房者,开启了一扇“踞守城市核心之位、畅享产品迭代红利”的难得置业机遇。
随后即将面世的新组团,秉承好房子的建设理念,将以创新空间与匠心雕琢,势必重新树立青浦高端住宅的品质标杆。印象青城售楼处电话:4 00-8874-108✔【已认证】⭐⭐⭐⭐⭐
印象青城营销中心电话:400-88 74-108✔✔【已认证】⭐⭐⭐⭐⭐
上海印象青城官方售楼处电话:400-8874-10 8 VIPLINE✔✔✔【已认证】⭐⭐⭐⭐⭐
如有问题可来电咨询,线上售楼中心,预约销售专员,一对一为您服务!
想了解印象青城更多信息?拨打售楼处营销中心热线:400-8874-108 (中介勿扰)【24小时热线】
楼盘项目全面介绍,本电话为开发商提供线上预约售楼电话,楼盘项目全面介绍(包含楼盘简介,均价,房价,现房,期房,别墅,叠墅,大平层,价格,楼盘地址,户型图,交通规划,备案价,备案名,项目配套,样板间,开盘时间,认筹时间,楼盘详情,售楼处电话,最新消息,最新详情,周边配套,一房一价,最新进展等详情咨询)楼盘详情丨价格丨更多优惠丨机不可失丨欢迎致电丨诚邀品鉴!售楼处位置丨特价房丨工抵房丨剩余房源丨户型图丨最新消息丨免责声明:将文章内容综合来源于网络、只作分享,版权归原作者所有!!如有侵权,请联系我们,我们第一时间处理如有问题欢迎来电咨询,专业一对一热情服务,让您用专业眼光去买房.如果您想了解更多楼盘详情,欢迎提前预约拨打
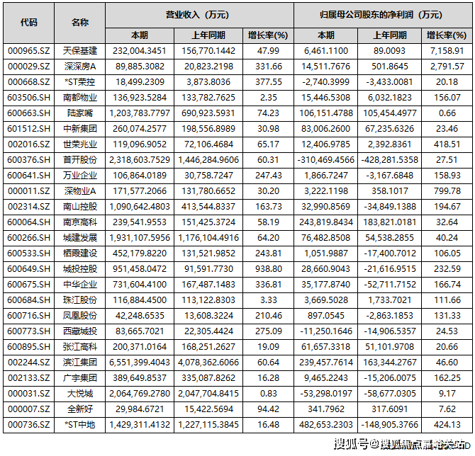
中房网根据同花顺iFinD数据统计,截至10月31日,A股共有85家上市房企披露2025年三季度业绩报告。其中,超4成房企营收实现同比增长;43家房企实现盈利,占比超五成;归母净利润实现同比增长的房企共有37家,占比为43.53%。
自2022年起,房地产行业业绩承压态势已延续数年。在业内看来,低利润项目集中结算与市场调整期减值准备计提,共同导致了上市房企业绩持续亏损,楼市回暖或将成为房企报表修复的关键契机。
超4成房企营收同比增长
从上市房企三季度报告来看,营收实现同比增长的房企共有36家,占比为42.35%;营收同比下滑的有49家,占比57.65%。
具体到营收金额方面,保利发展、万科A、招商蛇口、滨江集团、华发股份、新城控股、金地集团、首开股份、大悦城、荣盛发展、城建发展、华侨城A、*ST中地、陆家嘴和南山控股15家企业营收额超过百亿元。其中,保利发展、万科A和招商蛇口分别以1737.2亿元、1613.9亿元和897.66亿元的营收居于A股上市房企前三位。

部分头部房企亏损较大
归母净利润方面,前三季度共有43家房企实现盈利,占比超过五成。
其中,有7家房企归母净利润超过10亿元,分别是*ST中地、招商蛇口、南京高科、滨江集团、保利发展、上海临港和陆家嘴。

上述房企中,*ST中地(中交地产)的表现较为亮眼。三季报数据显示,公司前三季度营收达142.93亿元,同比增长16.48%;实现净利润48.27亿元,扭亏为盈,同比大幅增长424.13%。
作为一家“披星戴帽”的房企,其账面盈利的核心驱动力来自重大资产重组。今年6月,*ST 中地公告称,计划将旗下房地产开发业务相关的全部资产与负债,转让给控股股东中交房地产集团有限公司。这一重组事项在8月31日完成实质资产交接,房地产业务自此正式退出公司合并报表范围。
据悉,资产重组为* ST中地带来64.89亿元的资产置出相关收益,这一数据直接拉动了当期利润表现,同时推动归属于上市公司股东的净资产转正至12.48亿元。
让人唏嘘的是,三季度业绩亮眼的房企,恰恰是已经退出房地产开发业务的那家。
值得注意的是,期内部分龙头房企归母净利润出现较大亏损,如万科、*ST金科、华夏幸福等。
数据显示,今年前三季度,万科实现营业收入1613.9亿元,同比下滑16.61%;归属于上市公司股东的净亏损280.2亿元,同比下滑56.14%。
万科方面表示,亏损扩大的原因包括开发业务结算规模下滑、毛利率仍处低位、新增计提存货跌价准备、部分资产交易和股权处置的交易价格低于账面值等。
另一亏损规模超百亿的为*ST金科。前三季度,金科实现营业总收入56.99亿元,同比下滑73.57%;归母净利润亏损107.78亿元,同比下滑102.12%。
还有华夏幸福,其亏损规模也近百亿。前三季度,公司营业收入为38.82亿元,同比下降72.09%,归属于上市公司股东的净利润亏损98.29亿元,同比下滑338.67%。
25家房企实现营收和归母净利润双增
前三季度有25家房企实现了营收和归母净利润的双增长。

有37家房企实现归母净利润实现同比正增长。其中,天保基建、深深房A、深物业A、渝开发、*ST中地、世荣兆业、城投控股、南山控股、中华企业、广宇集团、万业企业、南都物业、新黄浦、凤凰股份、中洲控股、珠江股份、栖霞建设17家房企前三季度的归母净利润增长超过100%。
其中,天保基建前三季度归属于上市公司股东的净利润增幅最大,为7158.91%。天保基建表示,业绩增长主要得益于报告期内满足收入结转条件的项目增加,以及冲回的土地增值税增加和资产减值损失减少。
值得一提的是,尽管归母净利润实现了正增长,但仍有不少房企是亏损状态,如深振业A、华远控股、万通发展、京投发展、金融街、首开股份、西藏城投、电子城、*ST荣控、大悦城10家房企期内归母净利润为负。

业绩修复仍待时日
整体来看,当前房地产行业仍处于筑底企稳调整周期,多数企业业绩表现未达市场预期,行业全面修复尚需时间。
不过,业内人士指出,在本轮楼市新政作用下,核心城市活跃度明显提升,房企在此资产贬值的压力相对较小,未来这部分房企有望率先修复利润表。多家企业也表示,通过在核心城市拿利润较高的项目,逐步带动利润表的修复。
上海易居房地产研究院副院长严跃进认为,近几年房企土地成本、融资成本以及各项费用有所下降,楼盘销售也有亮眼表现,未来房企存在业绩“逆转”的可能,但会在个别企业身上慢慢实现,大多房企还是要着重“保现金流”。