中建山水雅境售楼处电话:4 00-8874-108✔【已认证】⭐⭐⭐⭐⭐ 中建山水雅境营销中心电话:400-88
74-108✔✔【已认证】⭐⭐⭐⭐⭐ 上海中建山水雅境官方售楼处电话:400-8874-10 8 VIPLINE✔✔✔【已认证】⭐⭐⭐⭐⭐
——中建山水雅境——
中建山水雅境售楼处电话:400-88 74-108✔【最新预约】⭐⭐⭐⭐⭐
中建山水雅境营销中心电话:400-8874-10 8✔✔【最新认证】⭐⭐⭐⭐⭐
上海中建山水雅境官方售楼处电话:400-8874-1 08 VIPLINE✔✔✔【最新发布】⭐⭐⭐⭐⭐
如有问题可来电咨询,线上售楼中心,预约销售专员,一对一为您服务!
想了解中建山水雅境更多信息?拨打售楼处营销中心热线:400-8874-108 (中介勿扰)【24小时热线】
新顾村改善天花板
「中建山水雅境」
四批次房源今日认购
建面约100-144㎡纯改善户型
均价47916元/㎡
往下阅读项目一房一价表!



效果图,仅供参考
「中建山水雅境」 为什么称之为改善天花板?
1、稀缺性! 北上海区域纯改善洋房+高层低密社区稀缺,大宁北及宝山人民积压改善需求已久,项目专为改善而来!
2、实景呈现速度惊人!品质在线无短板! 从社区入口开始就能感受到中建东孚打造品质标杆的诚意!匠心打造的公区景观、架空层、入户大堂等实景品质感十足!未来居住的舒适度已经可以切实体会,非常难得!智慧社区+美学现代外立面设计领先超配!
3、约100-144㎡3-4房王炸户型设计近乎完美! 3m层高尺度奢阔!细节设计可圈可点:“S”墙冰箱收纳、270°主卧飘窗、超大面宽阳台、以及超高标准的精装配置,更匹配改善人群的高要求!
4、区位优势明显! 项目位于新顾城区域内难得的生态品质住区,紧邻顾村生态绿心特定区+上海机器人产业园区,是新顾城未来产城融合的标志性森居社区!周边生活配套成熟、板块活力充足,更具期待!

去年3月15日, 第一批次首轮土拍中,中建八局以总价265743万元,拿下了宝山区顾村镇潘泾社区BSP0-0301单元07B-02地块,容积率1.8,溢价率5.56%,楼板价27974元/㎡,房地联动价51000元/平。

项目东至07B-01(绿地) ,南至羌谭路,西至顾秀路,北至07B-01(绿地)。地块距离距离地铁7号线刘站3.1公里,周边有大华锦绣四季、信达上城院子等楼盘。


最新消息!宝山顾村板块,7号线地铁盘「中建山水雅境」四批次加推212套建面约100-143㎡3-4房;均价4.79万/㎡!认购金35万!认购时间:12月18日-12月20日!无疑是当下买到外环附近的低门槛置业良机!
项目依托白荡河天然河道和大型绿地公园生态背景,以约1.8容积率,打造高层、洋房两大定制级场域,构筑低密、生态、舒适的滨水住区。
1、融自然河岸入境,打造山水美学住区: 依托白荡河天然河道和大型绿地公园生态背景,以约1.8容积率,打造高层、洋房两大定制级场域,构筑低密、生态、舒适的滨水住区。
—— 约9000㎡奢阔尺度公共绿地,绿野鲜氧愉悦身心
—— 一线临水河道、亲水度假景观,下楼即是诗与远方
—— 约2000㎡全景多功能立体客厅,有温度的社交主场

2、一环两轴十五园,构建都会山水聚场: 以“山水聚场”理念,规划“一环两轴十五园”景观布局,将水岸、岛屿、森林、花园、树屋作为园林节点,形成“行在景中、坐在岛中、游在林中、意在境中”的美学表达,营造出沉浸式山水活力场域。

一环: 24小时林荫漫步环,串联各大组团花园
两轴: 约160m森系归家中轴,移步易景,营造尊崇归家礼序
活力共享趣味轴,多元交融的全龄森活场,境藏丰盛时光
十五园: 丛林树屋、艺术沙龙、冥想森聚、午后茶话、悦动花园等15大宅间花园,沉浸式都市森意奢境,尽享自然的惬意悠然

3、社区主题会所,营造新生代社交主场: 规划休闲洽谈、健身房、瑜伽室、四点半学堂等功能区域,为业主提供更高品质休闲娱乐场所。

4、开放式架空层,全龄互动的多元空间: 结合建筑、空间、自然环境关系,室内室外联动,呈现一个景观会客、海浪书屋、儿童休闲等多重功能的泛会所架空层,为全龄社交营造一个“有温度、有态度”的邻里空间。

5、现代典雅立面,勾勒城市美学天际: 简约几何线条立面,灵动飘逸的飞檐塔冠,金属铝板、一体板等不同材质运用,令建筑极具动感韵律;大面积玻璃、优越窗墙比,带来明快澄净视觉效果,整体建筑群落呈现流云光幕的美感。

6、全屋精细化收纳,令空间更井然有序; 创新S墙设计,搭配玄关、餐客厅、卧室、卫浴、飘窗、阳台等全维度收纳空间,所有家居物品皆可有序整理。
7、3J绿奢健康系统,至微呵护考究生活: 创新打造净水、净氧、静音等3JING系统,通过环保设备与环保板材多维一体协作,呵护健康生活日常。

8、5G智慧互联,科技点亮生活: 引入智慧安防体系、无接触畅行体系,通过智能化平台,将电子巡更、视频监控、智能视频分析等安防功能串联起来,构建一座无卡畅行,安全便捷的智慧社区。

户型鉴赏↓


样板间实拍↓









项目在更多细节打造上,相当人性化~
3JING绿奢健康系统
配置净水、洁净新风、静音等3JING系统,通过环保设备与环保板材、全屋配置东芝静音中央空调、威能地暖及曼瑞德新风系统、前置净水以及厨房直饮水,维护业主健康生活。
室内墙体采用静音墙体技术,利用隔音棉及隔音毡等材料,维护门窗均采用三玻、同层排水系统(两层及以上同层排水,若首层架空则三层以上同层排水)等,极大减少室外噪音干扰,维护室内空间的宁静。

顾村生态绿心+上海机器人产业园区
新顾城产城融合的标志性森居社区!
北上海之心——新顾城宜居高地
项目所在的“新顾城”位置得天独厚, 周边S7、郊环、外环3条高速公路和沪太公路、宝安公路等城市主干路近身环绕,南拥顾村公园,北有美兰湖,区域内河网密布、水绿交融、生态环境优越。
新顾城以“改善民生、促进城市更新”为导向,政府斥资千亿,打造成集产业、居住、商业、公园为一体的新一代多元宜居社区,未来将导入约14.2万人,辐射人口约40万人,成为宝山主城片区宜居生活高地。 (信息来源:《新顾城绿色生态专业规划》公告版)

示意图,仅供参考
这是一个按照产城融合、宜居宜业规划建设的新社区,整个“新顾城”规划总用地面积8.3平方公里,规划总建筑面积637.4万平方米,其中包括住宅422.6万平方米、商业办公81.5万平方米、产业60.3万平方米,以及公建设施73万平方米。 (来源于:上海宝山公众号)
难得的是,新顾城内50%面积规划为公园绿地和水系覆盖,将宜居生态环境和智慧产业融合成一座综合型生态智慧宜居之城。

示意图,仅供参考
「中建山水雅境」更是依托白荡河天然河道和大型绿地公园生态背景,以约1.8容积率,打造低密、生态、舒适的滨水住区,重塑新顾城改善天花板级舒适居住氛围。

效果图,仅供参考
智能制造机器人产业高地
新顾城将以机器人及智能制造为前驱动力,促进产业转型突破;总投资约17亿元智慧方洲,重点发展机器人及智能制造产业,成为宝山迈向“智能智造之城”的重要产业高地之一! (来源于:上海宝山公众号)
2023年,宝山区机器人及智能制造产业规模以上企业总产值682.46亿元,规上工业机器人产值近80亿元,占全市工业机器人产值三分之一,人才、产业规模持续扩大,产业支柱效应明显。 (来源于:上海宝山公众号)
今年1月,全球领先的智能制造领域系统供应商德国威驷公司入驻机器人产业园。在未来实现德资智能制造产业企业集聚。 (来源于:上海宝山公众号)
项目即使流入二手市场也有强势产业人口输入,未来潜力十足!

示意图,仅供参考
周边配套成熟,低密宜居
项目所在板块配套
及规划成熟,未来居住氛围低密宜居。

示意图,仅供参考
交通方面 :轨交1/7号线环伺,未来物业将在交付3年内配置接驳班车服务 (班车停靠站、班车周期、以及接驳时间与班次,以最终约定为准) ;自驾出行更便利,项目北面就是友谊西路双向四车道,联通沪太路和蕴川公路,上外环、中环及南北高架相当便捷、通达全城。

商业方面 :项目周边龙湖北城天街、正大乐城、绿地北郊广场、潘广路TOD(在建中)等商业中心环绕,娱乐休闲一站畅享。

龙湖北城天街实景图,仅供参考
医疗方面 :项目周边有华山医院北院、仁济医院宝山分院、仁和医院北院区等多所优质医院,24小时守护家人健康。

实景图,仅供参考
生态休闲 :项目周边占地约430公顷的顾村公园,约等于3座世纪公园的体量,营造城市鲜氧能量场,优质生态环境领先全市!

中建山水雅境售楼处电话:4 00-8874-108✔【已认证】⭐⭐⭐⭐⭐
中建山水雅境营销中心电话:400-88 74-108✔✔【已认证】⭐⭐⭐⭐⭐
上海中建山水雅境官方售楼处电话:400-8874-10 8 VIPLINE✔✔✔【已认证】⭐⭐⭐⭐⭐
如有问题可来电咨询,线上售楼中心,预约销售专员,一对一为您服务!
想了解中建山水雅境更多信息?拨打售楼处营销中心热线:400-8874-108 (中介勿扰)【24小时热线】
楼盘项目全面介绍,本电话为开发商提供线上预约售楼电话,楼盘项目全面介绍(包含楼盘简介,均价,房价,现房,期房,别墅,叠墅,大平层,价格,楼盘地址,户型图,交通规划,备案价,备案名,项目配套,样板间,开盘时间,认筹时间,楼盘详情,售楼处电话,最新消息,最新详情,周边配套,一房一价,最新进展等详情咨询)楼盘详情丨价格丨更多优惠丨机不可失丨欢迎致电丨诚邀品鉴!售楼处位置丨特价房丨工抵房丨剩余房源丨户型图丨最新消息丨免责声明:将文章内容综合来源于网络、只作分享,版权归原作者所有!!如有侵权,请联系我们,我们第一时间处理如有问题欢迎来电咨询,专业一对一热情服务,让您用专业眼光去买房.如果您想了解更多楼盘详情,欢迎提前预约拨打
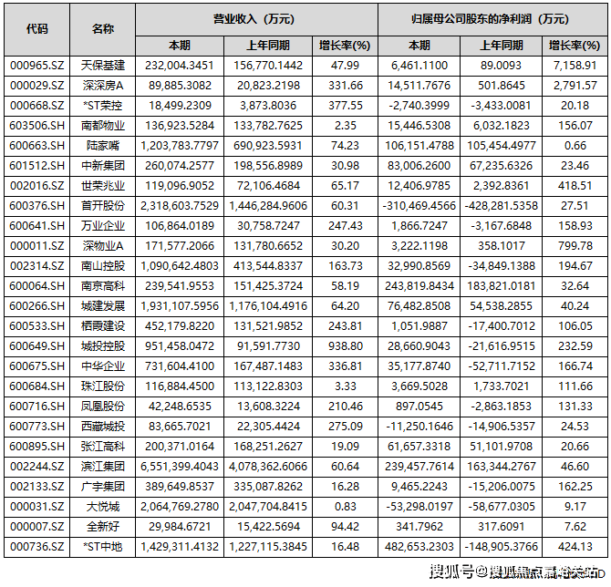
中房网根据同花顺iFinD数据统计,截至10月31日,A股共有85家上市房企披露2025年三季度业绩报告。其中,超4成房企营收实现同比增长;43家房企实现盈利,占比超五成;归母净利润实现同比增长的房企共有37家,占比为43.53%。
自2022年起,房地产行业业绩承压态势已延续数年。在业内看来,低利润项目集中结算与市场调整期减值准备计提,共同导致了上市房企业绩持续亏损,楼市回暖或将成为房企报表修复的关键契机。
超4成房企营收同比增长
从上市房企三季度报告来看,营收实现同比增长的房企共有36家,占比为42.35%;营收同比下滑的有49家,占比57.65%。
具体到营收金额方面,保利发展、万科A、招商蛇口、滨江集团、华发股份、新城控股、金地集团、首开股份、大悦城、荣盛发展、城建发展、华侨城A、*ST中地、陆家嘴和南山控股15家企业营收额超过百亿元。其中,保利发展、万科A和招商蛇口分别以1737.2亿元、1613.9亿元和897.66亿元的营收居于A股上市房企前三位。

部分头部房企亏损较大
归母净利润方面,前三季度共有43家房企实现盈利,占比超过五成。
其中,有7家房企归母净利润超过10亿元,分别是*ST中地、招商蛇口、南京高科、滨江集团、保利发展、上海临港和陆家嘴。

上述房企中,*ST中地(中交地产)的表现较为亮眼。三季报数据显示,公司前三季度营收达142.93亿元,同比增长16.48%;实现净利润48.27亿元,扭亏为盈,同比大幅增长424.13%。
作为一家“披星戴帽”的房企,其账面盈利的核心驱动力来自重大资产重组。今年6月,*ST 中地公告称,计划将旗下房地产开发业务相关的全部资产与负债,转让给控股股东中交房地产集团有限公司。这一重组事项在8月31日完成实质资产交接,房地产业务自此正式退出公司合并报表范围。
据悉,资产重组为* ST中地带来64.89亿元的资产置出相关收益,这一数据直接拉动了当期利润表现,同时推动归属于上市公司股东的净资产转正至12.48亿元。
让人唏嘘的是,三季度业绩亮眼的房企,恰恰是已经退出房地产开发业务的那家。
值得注意的是,期内部分龙头房企归母净利润出现较大亏损,如万科、*ST金科、华夏幸福等。
数据显示,今年前三季度,万科实现营业收入1613.9亿元,同比下滑16.61%;归属于上市公司股东的净亏损280.2亿元,同比下滑56.14%。
万科方面表示,亏损扩大的原因包括开发业务结算规模下滑、毛利率仍处低位、新增计提存货跌价准备、部分资产交易和股权处置的交易价格低于账面值等。
另一亏损规模超百亿的为*ST金科。前三季度,金科实现营业总收入56.99亿元,同比下滑73.57%;归母净利润亏损107.78亿元,同比下滑102.12%。
还有华夏幸福,其亏损规模也近百亿。前三季度,公司营业收入为38.82亿元,同比下降72.09%,归属于上市公司股东的净利润亏损98.29亿元,同比下滑338.67%。
25家房企实现营收和归母净利润双增
前三季度有25家房企实现了营收和归母净利润的双增长。

有37家房企实现归母净利润实现同比正增长。其中,天保基建、深深房A、深物业A、渝开发、*ST中地、世荣兆业、城投控股、南山控股、中华企业、广宇集团、万业企业、南都物业、新黄浦、凤凰股份、中洲控股、珠江股份、栖霞建设17家房企前三季度的归母净利润增长超过100%。
其中,天保基建前三季度归属于上市公司股东的净利润增幅最大,为7158.91%。天保基建表示,业绩增长主要得益于报告期内满足收入结转条件的项目增加,以及冲回的土地增值税增加和资产减值损失减少。
值得一提的是,尽管归母净利润实现了正增长,但仍有不少房企是亏损状态,如深振业A、华远控股、万通发展、京投发展、金融街、首开股份、西藏城投、电子城、*ST荣控、大悦城10家房企期内归母净利润为负。

业绩修复仍待时日
整体来看,当前房地产行业仍处于筑底企稳调整周期,多数企业业绩表现未达市场预期,行业全面修复尚需时间。
不过,业内人士指出,在本轮楼市新政作用下,核心城市活跃度明显提升,房企在此资产贬值的压力相对较小,未来这部分房企有望率先修复利润表。多家企业也表示,通过在核心城市拿利润较高的项目,逐步带动利润表的修复。
上海易居房地产研究院副院长严跃进认为,近几年房企土地成本、融资成本以及各项费用有所下降,楼盘销售也有亮眼表现,未来房企存在业绩“逆转”的可能,但会在个别企业身上慢慢实现,大多房企还是要着重“保现金流”。