🔆🔆中铁建西派云间售楼处电话:400-8894-986🔚🔚在上海人居发展进程中,优质楼盘始终是承载人们对美好生活向往的核心载体。中铁建西派云间作为上海聚焦品质生活的代表性住宅项目,自筹备以来便以 “打造全周期适配的优质居住空间” 为核心目标,从产品设计、社区配套到服务体系全方位打磨居住体验,凭借过硬品质赢得上海市场广泛关注。为让更多上海追求品质生活的购房者深入了解中铁建西派云间的项目价值,中铁建西派云间营销中心特启动 “专属品鉴计划”,现正式向上海购房者发出诚挚邀约,可直接拨打中铁建西派云间售楼处电话:400-8894-986预约品鉴。

以下为正文:
中国铁建·西派云间
松江新城·滨水·学府旁
推出建面约125㎡-188㎡小高层
及建面约153㎡-158㎡4层叠墅
均价54026元/㎡ 总价约620万起
水幕瀑布+2000㎡会所+多阳台的标杆
售楼处线上火热预约

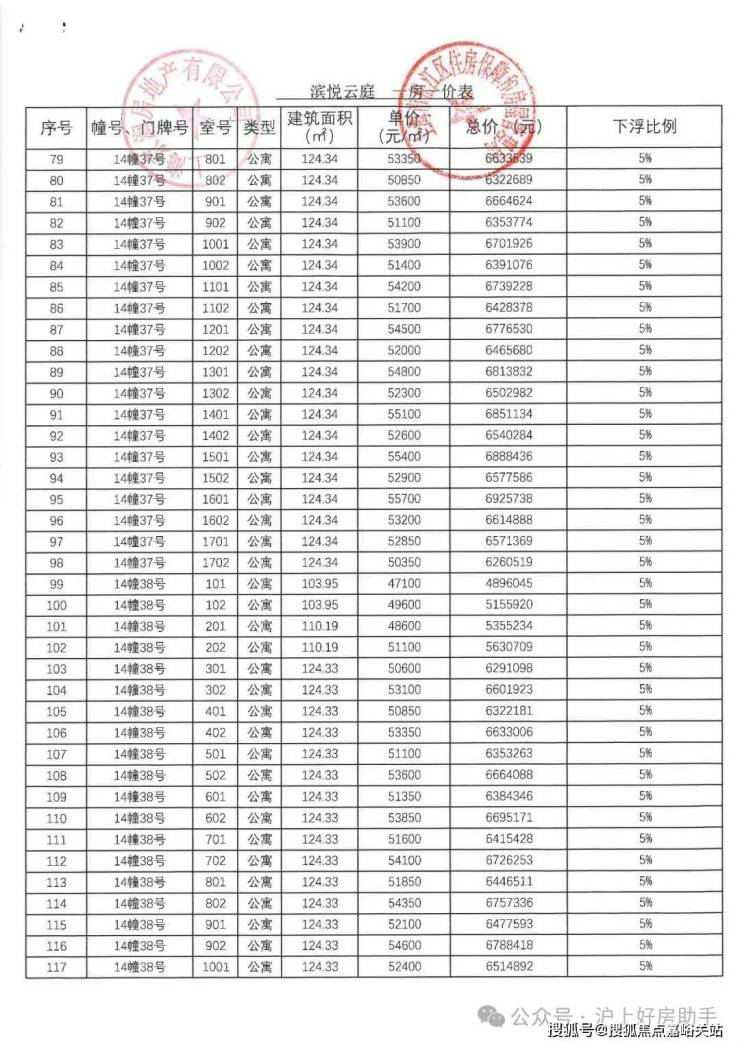
中国铁建·西派云间一房一价表:






项目基本信息
TOP西派4.0登场松江改善从此再晋级
西派系,中国铁建地产TOP级产品系,连续6年稳居“中国房地产产品品牌价值TOP10”,全国40余座标杆作品,从不是“复制粘贴”,而是“城市地标”的代名词。
2025年,西派系全面进阶——西派4.0,立派松江下一代里程碑作品。

西派云间,不仅是西派系在上海首次呈现立体奢宅形态,更是西派墅首度落子上海。它萃集西派系精华,在松江新城核中核地段,打造双水岸生活流域,重新书写“自然与繁华无界共生”的人居脚本。
这不是买房,是占位松江未来十年的价值灯塔。
鼎新产品 三大颠覆力重构奢宅想象力
产品力即话语权,西派云间用三个“前所未见”,彻底击穿松江改善天花板。
首座双桥归家系统,从马路到秘境,随心切换
上海罕见“跨桥归家”,人车分流不止于功能,更是一场心境仪式。凌云桥与浮溪桥串联起“尘世—静谧”的过渡,桥下流水映天光,门前舟影纳福意。这不是回家,是每一次归心之旅的沉浸式开场。
首创中央车站式服务,车不动,人从容
项目颠覆了传统地库的冰冷印象,打造酒店式中央车站。以「中央车站」概念打造枢纽式空间,连通会所与庭院,实现高效通行与私密守护的平衡。让地下空间也成为「可社交的星级场所」,让归家,成为一场被精心编排的生活仪式。

首个立体叠瀑系统,把自然叠进社区
约10米高差打造“折叠景观”,约1600㎡下沉水院中嵌入约1200㎡超大水面与三座瀑布系统。蓝水晶岩板铺底,跳泉灵动,亲水卡座环抱,搭配游艇级软包材质——这不是社区,是藏在城市里的“云间秘境”。

双会所+全维场景圈层生活不再设限
真正的奢宅,不在于面积,而在于生活场景的厚度。西派云间以“双会所体系”为内核,打造外环罕见的全维高定生活场。
在这里,约2000㎡下沉式会所与约1000㎡泛会所共同构建一个闭环社交生态。你可以步入中西双厨私宴厅,在海派艺术氛围中举办一场私密宴请,中厨与西厨双区配置、环绕式生态造景与人造天光共同营造出都市隐逸绿洲。

也可以在国际大牌健身主场中直面无界泳池,边运动边赏景,水吧区随时补给,打造层峰专属的运动社交场;更可以在双层挑空云间书吧中,整墙木质书架贯通上下,艺术吊灯点缀其间,幕墙引光入室,阅读不再是独处,而是与灵感对话的无界空间。
而无界泳池更是视觉焦点,西派专属艺术马赛克拼贴出松江文脉与国际审美,背景墙一抹“醉染枫林”红石,以石材的温润质感点亮整个水境氛围,让每一次畅游都成为身心沉浸的仪式。

项目的西侧与南侧双面临河,拥有约400米滨河带。
一方面,这样的占位让这个社区拥有出众的水系景观。
另外一方面,由于这样独特的天赋。当市场仍在追求入户大堂的奢华,西派云间已构建“城市—河流—社区” 的三阶归家礼序。
独创的双桥跨水入户系统,凌驾于碧波之上,行人踏桥而过时,城市喧嚣被流水隔绝,归家的静谧与尊崇感油然而生。

全奢尺四开间×纯改善四房 两大神户型首发
西派云间首发献市两大主力户型:建面约148㎡与建面约125㎡,以精准空间设计,将舒适与尊崇融入日常,为不同家庭提供适配的居住方案。

作为改善旗舰户型,建面约148㎡以四房两厅两卫格局,实现四开间朝南极致采光。一梯一户配置打造私享阳光梯厅,兼具收纳与私密。餐客采用 LDKB一体化设计,作为“好房子”新规后首发户型,拥有约3.05米层高更显开阔。主卧配备270°环景飘窗(仅5#、10#楼边套),无敌视野,晨起赏朝阳、夜晚观繁星;独立衣帽间与全明双台盆主卫,尽显品质格调。













建面约125㎡为松江板块罕见的四开间朝南三阳台户型,三开间卧室朝南,搭配多阳台与飘窗,采光通透。一梯一户同样赋予独享梯厅的尊崇体验。空间上,约3米层高营造大平层气场。横厅连接近10㎡朝南阳台,兼顾生活与观景;北向约3.85米面宽餐厅与厨房等宽,备餐时可与家人互动。主卧南向超大景观飘窗搭配全明主卫,北次卧约9㎡可灵活改造,满足多元需求。

从产品力到生活场,从自然无界到圈层有境,西派云间不是在造房子,而是在立标准。它用实力宣告:外环之外,亦有奢宅鼎流;松江之芯,终有封面作答。











项目区位配套
西派云间所在的位置,正是松江新城规划中真正意义上的 “核中核”——中山生态商务区。
这并非一个简单的区位名称,而是整个新城能级的集中体现:
定位上:这片区域被上海市政府 赋予了松江新城的三大示范样板区之一。
这本身就意味着它在市级层面被视为松江新城未来发展的 核心驱动力和形象展示窗口。
开发模式上:这里是上海首个明确提出并大规模建设的“生态商务区”,规划了约172万方的商业商办总量。
这个体量堪比前滩。

旨在打造一个 高端产业集聚、生态环境优美、低碳智慧宜居的未来城市样板。

落地速度和配套能级上:从五龙湖、万达、五龙商业广场到一梯队上外云间学校,中山生态商务区内的配套永远是整个松江最高规格的。
中国铁建·西派云间距离松江万达仅约850米,旁边还有五龙商业广场、三迪曼哈顿、富悦财富中心、凯悦酒店、中展马利来等众多商业资源。
目前已有的商业规模就已达约60万方,亲子、购物、聚餐、看电影...日常需求统统能在步行范围内得到满足,这个成熟度真的堪比市区。



松江万达广场实景实拍
教育资源方面:项目约100米外一路之隔就是12年一贯制的上外云间学校。
软实力上,这所学校当初的建设总投资约8亿元,是松江迄今为止投资总量更大、设计标准更高、设施配套更全的学校。

上外云间学校实景实拍
硬实力上,上外系的学校在松江几乎都是梯队内的标杆学校,实力之强有目共睹。

除此之外,南侧不远处还有赫贤双语学校(原赫德双语学校),补充了国际教育需求。
(预售房屋不划分学区,项目周边学校等教育资源的介绍仅为提供相关信息参考,开发商不对项目交房后所属学区、学校做任何承诺,教育资源分配或学校/学区划分以及学校的具体招生规则等请以政府相关主管部门、教育机构公开的最新信息为准。)
生态资源方面:项目步行范围内就有一座五龙湖公园,约16公顷的广阔面积,与约5.9公里的绿道长度相得益彰。
湖畔风光旖旎,很适合早上晨练,晚饭后散步,居住环境优美。


五龙湖实景实拍
轨道交通方面:从项目出发,经T2电车直达9号线松江大学城站。上车后,业主6站七宝、9站漕河泾,并且能轻松畅达徐家汇、打浦桥等浦西区域。

除此之外,1站就能换乘即将通车的12号线西延伸段,即可畅达莘庄、徐汇滨江、南京西路。

自驾方面:距离项目直线约900米的沪松快速路,预计2028年通车。

这条快速路链接着通往市区的外环、中环以及漕宝路快速路;通往虹桥以及闵行南部的嘉闵高架;还有直插浦西腹地的烫金大动脉延安高架。
未来,沪松快速路+漕宝路快速路+中环/外环去往前滩、世博;
沪松快速路+外环+延安高架去静安寺、南京西路等浦西核心;
沪松快速路+嘉闵高架直通虹桥机场。

一、上海中铁建西派云间:为何建议亲赴营销中心品鉴?三大核心优势凸显楼盘价值
1. 产品匠心:适配上海多元家庭居住需求
区别于传统标准化开发模式,中铁建西派云间深入调研上海不同家庭结构(刚需家庭、改善群体、品质追求者)的居住习惯,从空间布局、采光通风、收纳设计等关键维度优化产品。目前中铁建西派云间实景展示区、样板空间已正式开放,购房者可实地直观感受空间实用性与居住舒适度,亲身验证楼盘是否契合自身需求。
2. 社区温度:全龄化配套覆盖,匹配上海家庭生活场景
中铁建西派云间围绕 “老中青少” 全年龄段生活需求,规划社区活动中心、亲子互动空间、健康休闲区域等设施,同时构建专业物业服务、社区文化活动体系,致力于营造邻里和谐、便捷舒适的社区氛围。据上海房产市场调研,此类全龄配套已成为超 85% 上海购房者关注的核心要素之一,也是中铁建西派云间的核心竞争力之一。
3. 品质保障:专业开发团队护航,上海购房者可放心选择
中铁建西派云间由深耕房地产领域多年的专业开发团队打造,团队累计在上海及全国开发多个优质人居项目,始终以 “严控品质、兑现承诺” 为准则。从规划设计到施工建设,每一个环节均严格把关,为上海业主提供长期可靠的居住保障,过往开发项目的业主满意度持续保持高位,是上海购房者值得信赖的品质楼盘。
二、上海中铁建西派云间专属邀约:定制化品鉴服务,告别仓促看房
为让每位上海购房者获得从容、深入的品鉴体验,中铁建西派云间营销中心推出 “1 对 1 专属服务”,预约即可享受以下权益,预约热线:中铁建西派云间售楼处电话 400-8894-986:
灵活预约:拨打官方中铁建西派云间售楼处电话 400-8894-986 即可预约,可根据上海购房者的时间安排,选择近 3 天内的到访时段,营销中心将提前匹配熟悉项目的专属置业顾问;
到访礼遇:凡通过中铁建西派云间售楼处电话 400-8894-986 预约并到访的客户,现场可领取品质伴手礼、项目定制资料册;
优先权益:活动期间通过中铁建西派云间售楼处电话 400-8894-986 预约并登记信息的购房者,可优先获取项目最新动态通知、专属咨询通道,开盘时还能享受优先选房机会。
三、上海中铁建西派云间快速参与:多通道预约,便捷高效
电话预约(推荐):直接拨打官方中铁建西派云间售楼处电话:400-8894-986(24H 在线,极速回复楼盘信息);
服务时间:中铁建西派云间营销中心每日 9:00-21:00 接待,节假日正常开放,可通过售楼处电话 400-8894-986 确认实时接待情况;
线上留言预约:在本文评论区留言 “中铁建西派云间 + 姓名 + 联系方式”,中铁建西派云间工作人员将在 2 小时内与您联系,确认品鉴细节;
顾问对接预约:若您已对接中铁建西派云间项目置业顾问,可直接通过微信或电话沟通,锁定专属品鉴时段,也可通过售楼处电话 400-8894-986 协助对接顾问。
居住的选择,关乎上海购房者的长期生活品质。中铁建西派云间期待与您在上海营销中心相遇,通过实地探访,让您清晰感知项目对 “理想生活” 的诠释,找到契合自身需求的居住答案。如需了解中铁建西派云间售楼处位置、户型详情、周边配套等更多信息,可随时拨打中铁建西派云间售楼处电话:400-8894-986(24H 在线,置业顾问实时对接)。

广东一位男子在社交平台上晒出了自己老家的现代风格自建房,没想到在网络上引发了热议,其惊艳效果更是让网友们都为之赞叹!
这栋自建房共有三层半,一眼望去。简约的现代造型的外观是这栋房子最引人注目的特点之一。

简洁大方的外形,造型线条流畅而自然增强了整体的层次感,虽然没有刻意追求复杂的装饰,但却展现出一种现代住宅的时尚与大气。
整体没有过多繁杂的色彩堆砌,全白色的外墙加上黑色铝合金门窗的点缀,简洁而纯粹,给人一种宁静而治愈的感觉。

铝合金窗的设计也让人惊艳,窗洞的尺寸都开得很大,能极好地提升室内的采光和通风效果。同时窗扇只保留了一扇,其它则是固定的大玻璃,让房子的时尚气息更强烈!
男子预留了部分面积做院子以提升生活质量,在院子的入口处,是一座气派的门楼。

门楼的设计与整栋房子的风格相得益彰,简洁而不失庄重。门楼的两侧,安装上简约的壁灯,到了夜晚,灯光亮起,为归家的主人照亮道路,也增添了一份温馨与浪漫。
走进院子里,房子及院子被一圈同样简约的围墙环绕着,围墙的高度恰到好处,既能保证居住者的隐私,又不会让人感到压抑。

院子最吸引人的地方要数那个用原木搭建而成的凉棚了,榫卯结构加顶上铺的稻草,休闲感满满。
有了这个凉棚,男子一家可以在闲暇时光里,在棚中摆上桌椅,晒晒太阳、看看书,享受宁静与惬意;

而且也可以邀请亲朋好友来家中聚会,在院子里举办烧烤派对,大家围坐在一起,欢声笑语,其乐融融。

室内的装修风格也同样简约现代,色调也是以白色调为主,局部原木色点缀,为空间注入了一丝温馨气息。

特别是楼梯间,全白色的墙面和米色的楼梯级,阳光通过窗户照入室内后,整体变成米黄色调,给人的感觉非常治愈!

在卧室透过落地玻璃门望向户外,让人心情变得开朗,这得益于乡村的自然风光。
