本文包含静安玺樾大部分资料,带你全方位了解该项目
静安玺樾售楼处电话:400-9975-759【已认证】
静安玺樾营销中心电话:400-9975-759【已认证】
招商云澜湾看房预约电话:400-9975-759【预约热线】
招商云澜湾开发商电话☎:400-9975-759✔✔✔【预约☎】
「静安玺樾」正在认购中 线上预约享团购优惠
静安玺樾楼盘欢迎您
静安玺樾营销中心热✅✅ 400-9975-759✅✅
本电话为开发商提供线上售楼电话
静安玺樾小区环境|静安玺樾户型-房源|静安玺樾价格|静安玺樾售楼处地址|静安玺樾项目地址|静安玺樾楼盘详情|静安玺樾周边配套|静安玺樾交房时间
周边配套:1.交通,500米内地铁站和多个公交站2.商业,300米广场街道齐全3.教育,500米内多所中小幼学校4.医疗,毗邻二甲医院、社区医院,街道卫生服务中心,可满足居民日常医疗需求
项目亮点:精装交付(中央空调+地暖)、十四五政策规划地、配套成熟,出行方便、双水系环绕,多重绿化景观、三大智能家电,马桶洗碗机 全屋壁布
绿化:35%/1.6
车位比:1:1.3
得房率:75%-80%
水电暖:民水民电自采暖
产权年限:70年
有无燃气:是
静安玺樾售楼处电话:400-9975-759✔【已认证】「静安玺樾」
静安内环内 国际中兴城
加推约97-106㎡2-3房海派著品
8号线中兴路站距离约330米
均价124191元/㎡ 共165套
另前期少许94-165㎡2-4房在售
均价125777元/㎡ 总价约945万起
奢华地库+海派园林+万科物业
样板房线上火热预约

静安玺樾售楼处电话:400-9975-759✔【已认证】
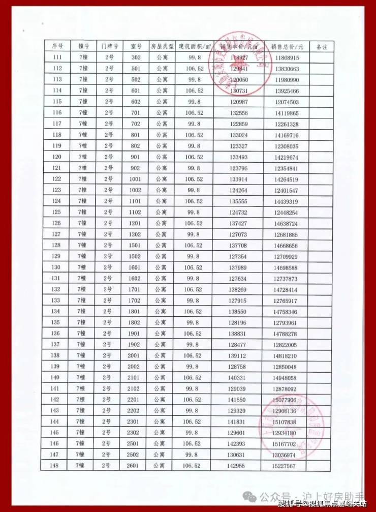
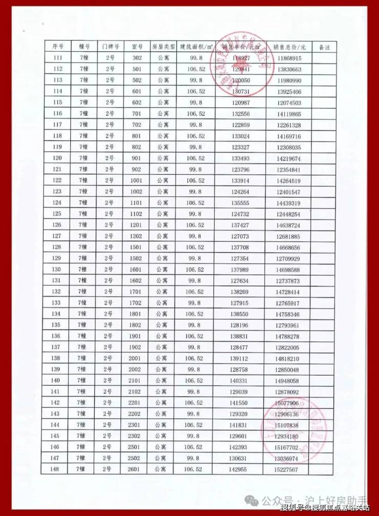
静安玺樾三期一房一价表▼





静安玺樾售楼处电话:400-9975-759✔【已认证】
最新消息:静安玺樾三期加推2号楼的18单元和20单元、7号楼的2单元,主力户型包括建面约98-107㎡2-3房,3房总价约千万级起!


2号楼18单元和20单元:往外可瞰芷江绿地,内可赏入口中轴景观。

项目社区景观效果示意图,仅供参考,以实际交付为准
7号楼2单元:可远眺三件套、中兴公园,楼下还有中心景观。

项目基本信息
开发商:上海市静安城市更新投资发展有限公司
板块:静安内环内•国际中兴城板块
在售面积:94㎡/98㎡/100㎡2房2厅2卫
103㎡/104㎡/122㎡/134㎡3房2厅2卫
165㎡4房2厅3卫
总价:945-2354万
均价:125000元/㎡
总体量:926套
总层数:17层、19层、33层
层高:3-3.1m
交房时间:2026年6月
物业公司:上海万科物业服务有限公司(一级资质)
物业费:9.8元/m/月
在售楼栋:1号/2号/4号/5号/7号,3号/6号 待加推(预计10月底)
总用地面积:31352.4㎡
总建筑面积:152702.85㎡
住宅建筑面积:91316.33㎡
得房率:75-79%
容积率:3.05
绿化率:35.25%
车位总数:1150个

【静安玺樾】是位于上海市静安区中兴城社区内的典型城市更新项目,是继佘山玺樾后,又一top系力作,代表着北方集团在静安内环标杆项目,以好的产品力,高标准的实力呈现。

里面/地库/园林/样板间正式公开
众所周知,示范区是整个项目未来品质的超前剧透,它究竟为你带来了怎样的惊喜呢?它没有去考验业主的想象力,而是把生活场景、规划的蓝图提前搬到了面前,不惜成本给业主优先带来了一波产体验。
据悉这一次开放,整个项目的立面、地库、园林、样板间将全部亮相此次示范区。这意味着窥其一二,全貌都可 “一览无余”。
【静安玺樾】沉淀北方集团近20载城市更新修为,从雅、境、奢、艺四相出发 ,构筑品级、建筑、公区、用材、精装、景观、户型、服务、配套、层等12大维度标准,打造上海心上的矜贵珍藏。

效果图
海派立面 看到品质的具象化
作为项目面向未来的建筑表情,静安玺樾从在地化角度思考,与静安气质保持一致,以海派风格为主,采用石材,铺以横向铝板线条,通过对材质细部的精细化设计,真实还原海派立面的摩登风格,很具识别度。

海派建筑立面,香槟金与经典咖的审美复兴,惊艳上海心
色、材、纹、饰,从色彩到材质,再到细节,纯粹匠心
实景图

社区景观 翡色礼境 归家的度假感拉满
进园后,从入口的奢石、到内部的水景、雕塑甚至是局部的海派拼花铺装……从里到外,可观可赏可感。
美学展示区,非交付标准

整个景观设计,按照 “翡光礼境”的概念,不是硬生生地塞进社区中,而是做到了与水景、雕塑、绿植一起,体现未来住区的海派生活气质。

入口处酒店港湾式落客空间,艺术感造型树,蓝翡翠奢石达到第一眼的惊艳;内部精致典藏的水院空间,以雕塑、喷泉水幕、造型树经典组合,打造全区景观点,更大地扩充与景观的接触面,度假的松弛感油然而生。

美学展示区,非交付标准
此外,静安玺樾还研究植物,营造春季赏花,夏季观绿、秋季观叶,冬季赏姿的四季环境,展现出生活的另一面。
社区景观打造上还考虑了空间的功能丰富性, 打造了三大花园空间:中心港湾花园、水溪花园,西入口归家花园,实现社区内各区域景观不同的丰富视觉盛宴~

户外定制化主题儿童区+架空层泛会所构成双儿童系统,以 “秘境童话专列”的火车主题串联儿童活动空间,兼顾全年龄儿童不同游玩体验。

更有贴心细节设计:儿童活动区和老年健身的器械均考虑防磕碰设计,地面均采用塑胶,以防磕碰受伤。
效果图

地库公区
对标超星级酒店 驾车归家不寻常
这种仪式感,同时延续到了地库,且非常出彩。
对照顶级酒店车库,通过 石材包边、超耐磨地坪、三合一门禁等这些标配设计,媲美豪车展厅级别,充分考虑到业主的身份地位。


效果图
静安玺樾售楼处电话:400-9975-759✔【已认证】
项目推售详情
【静安玺樾】三期,已过会, 均价124191元/㎡,将推97-106㎡2-3房!共165套房源。其中2号楼105套,均价11.8万/㎡,7号楼(无敌景观房,无遮挡)60套,均价13.8万;
另一期少量3#/6#房源在售,建面94-165㎡2-4房在售!均价12.5万/㎡,总价约945万起!可直接认购!

建面约98㎡2房2厅2卫▼

静安玺樾建面约94㎡样板间鉴赏▼
,时长
01:27

静安玺樾售楼处电话:400-9975-759✔【已认证】



静安玺樾售楼处电话:400-9975-759
一、房产基础概念
产权年限:住宅用地 70 年、商业 / 办公 40 年、工业 / 综合用地 50 年,届满自动续期(需缴少量费用)。
房屋类型:商品房(可自由交易)、回迁房 / 安置房(需满足条件才可上市)、经济适用房(有限产权,满年限才可交易)、共有产权房(个人与政府按比例持股)。
建筑面积 vs 套内面积:建筑面积 = 套内面积 + 公摊面积(电梯、楼梯、公共走廊等),公摊比例通常 15%-25%。
容积率:小区总建筑面积 ÷ 总占地面积,数值越低,居住密度越低、舒适度越高(住宅常见 1.0-3.5)。
绿化率:小区绿化面积 ÷ 总占地面积,通常≥30%,影响居住环境。
二、购房前准备
购房资格:多数城市需满足社保 / 个税缴纳年限(如 1-5 年)、户籍要求,部分城市有限购政策(限制购房套数)。
贷款资质:个人征信需无逾期记录,银行会审核收入证明(月供≤月收入 50%)、银行流水、资产证明。
首付比例:首套房通常 20%-30%,二套房 30%-60%(具体以城市和银行政策为准)。
购房预算:需涵盖首付、契税、维修基金、中介费、装修费等,预留 1-3 个月月供备用金。
三、贷款相关知识
贷款类型:商业贷款(利率市场化,额度高)、公积金贷款(利率低,需缴满一定年限,有额度上限)、组合贷款(商贷 + 公积金贷,兼顾利率和额度)。
房贷利率:分为 LPR 加点(浮动利率)和固定利率,LPR 每月更新,利率随市场调整。
还款方式:等额本息(每月月供固定,总利息略高)、等额本金(月供递减,前期压力大,总利息更低)。
提前还款:部分银行需满 1-3 年才可提前还款,可能收取违约金(具体以贷款合同为准)。
四、交易核心流程
选房:确认房源产权清晰(无抵押、查封)、核实开发商五证(《国有土地使用证》《建设用地规划许可证》《建设工程规划许可证》《建筑工程施工许可证》《商品房预售 / 销售许可证》)。
签合同:签订《商品房买卖合同》(新房)或《存量房买卖合同》(二手房),明确交房时间、违约责任、房屋面积差异处理方式。
网签备案:新房网签后需备案(防止开发商一房多卖),二手房网签后可办理过户手续。
过户流程:二手房需完成资金监管、缴纳税费、办理不动产登记,领取不动产权证书(房产证)。
五、税费相关
契税:首套房 90㎡以下 1%、90-144㎡1.5%、144㎡以上 2%;二套房税率普遍上浮(如 2%-4%),具体以城市政策为准。
维修基金:按建筑面积缴纳(通常 50-200 元 /㎡),用于房屋共用部位、设施维修。
二手房额外税费:个人所得税(满 5 年且唯一住房免征)、增值税及附加(满 2 年免征)、中介费(通常 1%-3%)。
其他费用:登记费、工本费、测绘费等(金额较低,合计数百元)。
六、交房与验房
交房条件:开发商需提供《竣工验收备案表》《住宅质量保证书》《住宅使用说明书》,缺一不可。
验房重点:检查墙面地面是否空鼓、门窗密封是否完好、水电燃气是否通畅、防水是否达标(卫生间、阳台)、房屋面积是否与合同一致。
物业相关:确认物业费标准、物业服务范围,签订物业服务合同,了解小区公共收益分配(如电梯广告、车位出租)。
七、注意事项
产权风险:核实不动产权证信息(权利人、面积、用途),避免购买产权有纠纷、抵押未解除的房源。
合同陷阱:重点关注交房时间、逾期交房违约金、面积误差处理、配套设施交付承诺等条款。
学区问题:学区划分以教育局每年公布的政策为准,切勿仅轻信开发商宣传。
车位产权:产权车位可交易,人防车位 / 公摊车位仅可租赁(不可买卖),需明确车位性质。