新华星耀东方(营销中心)首页网站-新华星耀东方销售中心(售楼处)-新华星耀东方楼盘欢迎您-地址-价格-户型-小区环境-楼盘详情-交房时间-周边配套-售楼处电话
扫描到手机,新闻随时看
扫一扫,用手机看文章
更加方便分享给朋友


新华地产成立于1995年,是拥有国家一级房地产开发资质的企业。深耕布局长三角、环渤海、大湾区经济圈。

自2014年进入上海以来,在金山这片土地上,相继打造了新华御府、新华御著、新华御湖上园等标杆性人居。

深耕金山数载,在秉承着尊重土地的精神内涵与发展格局的前提下,锚定了亭林这片土地。并于此,以革新升级的人居打造理念,在亭林这片土地,塑造了一座高端低密美学墅境——新华·星耀东方,为亭林的生活品质注入全新的活力。

城市之中不缺繁华,难得的是低密的优雅时光。新华·星耀东方社区内部容积率约1.8,充分让建筑与绿化融合,使每一位居住者能够享有更大绿化空间与景观视野。

在园林方面,项目整体以摩登东方为设计理念,远赴外地选取红枫、乌桕等数种季节植被,并与景观组团、水景相结合,层层漫延,犹如自由流淌的自然艺术品。为业主家人们带来一种崭新的、开放的、高端的墅境生活享受。

在人居建设方面,新华·星耀东方追寻建筑比例与神韵,把时光沉淀下的建筑美学与低调奢华的质感融入建筑。将传统意境和现代风格对称运用,现代简约的外立面、典雅的建筑屋顶,于细节处精心勾画的窗户、阳台等,每一处细节皆是考究。

项目整体以摩登东方为核心造景理念,营造一环两轴N组团的景观布局,将花草、树木、流水、山石、景墙编织成序曲语言,在浮躁与喧嚣的城市中,用宁静温润的语言将摩登东方的惬意美好娓娓道来。
同时,为保证全维度的景观观赏性,在植被的采选上,更是特邀设计院专业景观设计师,一同远赴外地,对植被进行层层筛选。最终移栽了香樟、银杏、乌桕、朴树、樱花、水杉、红枫等诸多名贵景观树种,古诗中言:枫之丹,桕之赤,皆为秋色之最浓。









物业服务

金山门户 三区交汇 争藏沪上高地
亭林,地处在金山、奉贤和松江三区交界,定位为金山北部地区中心,是上海向南“门户第一站”,在上海新一轮城市规划中,是重点发展的 22个中心城镇之一,更是上海第二批 23 个大型社区之一,四大产业汇聚,焕新江南特色文化小镇,正逐步成为沪上的新价值高地。

交通配套
黄金路网 便捷长三角
双轨加持——距离金山铁路亭林站约2.5km,5站到上海南站,轨交南枫线(规划)串联上海南部客流主动脉
高速路网——快速抵达高速入口,东邻G15沈海高速,南邻大亭公路,近G1503 上海绕城高速,G60沪昆高速等七条快速路网,约一小时车程迅捷联通长三角
快速道路——周边多条线路直达市区,虹桥枢纽7 路直达虹桥枢纽,上石线、莲金专线、莲亭专线、亭梅专线等可直达上海南站、莲花路地铁站、梅陇站,与上海主城无缝接驳

商业配套
老镇中心的寺平北路商业街商业氛围浓郁
项目旁边约3万方的商业中心一名悦商业广场
教育资源
北侧紧邻上海市亭新中学及幼儿园,南侧小学、初中(规划中),助力孩子未来成长
医疗资源
约1.5公里近邻上海瑞金医院金山院区(在建),大幅提升板块乃至金山区的医疗能级,为健康保驾护航
金山区二级综合性医院亭林医院,金山目前科室最齐全的公立医院,就近解决康疗需求
生态环境
项目南侧规划约5.8万方城市体育公园,江南风情湿地公园,近在左右
新华星耀东方售楼处电话:4 00-8874-108✔【已认证】⭐⭐⭐⭐⭐
新华星耀东方营销中心电话:400-88 74-108✔✔【已认证】⭐⭐⭐⭐⭐
上海新华星耀东方官方售楼处电话:400-8874-10 8 VIPLINE✔✔✔【已认证】⭐⭐⭐⭐⭐
如有问题可来电咨询,线上售楼中心,预约销售专员,一对一为您服务!
想了解新华星耀东方更多信息?拨打售楼处营销中心热线:400-8874-108 (中介勿扰)【24小时热线】
楼盘项目全面介绍,本电话为开发商提供线上预约售楼电话,楼盘项目全面介绍(包含楼盘简介,均价,房价,现房,期房,别墅,叠墅,大平层,价格,楼盘地址,户型图,交通规划,备案价,备案名,项目配套,样板间,开盘时间,认筹时间,楼盘详情,售楼处电话,最新消息,最新详情,周边配套,一房一价,最新进展等详情咨询)楼盘详情丨价格丨更多优惠丨机不可失丨欢迎致电丨诚邀品鉴!售楼处位置丨特价房丨工抵房丨剩余房源丨户型图丨最新消息丨免责声明:将文章内容综合来源于网络、只作分享,版权归原作者所有!!如有侵权,请联系我们,我们第一时间处理如有问题欢迎来电咨询,专业一对一热情服务,让您用专业眼光去买房.如果您想了解更多楼盘详情,欢迎提前预约拨打
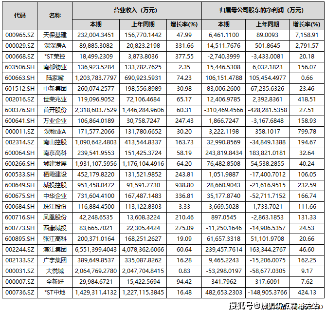
中房网根据同花顺iFinD数据统计,截至10月31日,A股共有85家上市房企披露2025年三季度业绩报告。其中,超4成房企营收实现同比增长;43家房企实现盈利,占比超五成;归母净利润实现同比增长的房企共有37家,占比为43.53%。
自2022年起,房地产行业业绩承压态势已延续数年。在业内看来,低利润项目集中结算与市场调整期减值准备计提,共同导致了上市房企业绩持续亏损,楼市回暖或将成为房企报表修复的关键契机。
超4成房企营收同比增长
从上市房企三季度报告来看,营收实现同比增长的房企共有36家,占比为42.35%;营收同比下滑的有49家,占比57.65%。
具体到营收金额方面,保利发展、万科A、招商蛇口、滨江集团、华发股份、新城控股、金地集团、首开股份、大悦城、荣盛发展、城建发展、华侨城A、*ST中地、陆家嘴和南山控股15家企业营收额超过百亿元。其中,保利发展、万科A和招商蛇口分别以1737.2亿元、1613.9亿元和897.66亿元的营收居于A股上市房企前三位。

部分头部房企亏损较大
归母净利润方面,前三季度共有43家房企实现盈利,占比超过五成。
其中,有7家房企归母净利润超过10亿元,分别是*ST中地、招商蛇口、南京高科、滨江集团、保利发展、上海临港和陆家嘴。

上述房企中,*ST中地(中交地产)的表现较为亮眼。三季报数据显示,公司前三季度营收达142.93亿元,同比增长16.48%;实现净利润48.27亿元,扭亏为盈,同比大幅增长424.13%。
作为一家“披星戴帽”的房企,其账面盈利的核心驱动力来自重大资产重组。今年6月,*ST 中地公告称,计划将旗下房地产开发业务相关的全部资产与负债,转让给控股股东中交房地产集团有限公司。这一重组事项在8月31日完成实质资产交接,房地产业务自此正式退出公司合并报表范围。
据悉,资产重组为* ST中地带来64.89亿元的资产置出相关收益,这一数据直接拉动了当期利润表现,同时推动归属于上市公司股东的净资产转正至12.48亿元。
让人唏嘘的是,三季度业绩亮眼的房企,恰恰是已经退出房地产开发业务的那家。
值得注意的是,期内部分龙头房企归母净利润出现较大亏损,如万科、*ST金科、华夏幸福等。
数据显示,今年前三季度,万科实现营业收入1613.9亿元,同比下滑16.61%;归属于上市公司股东的净亏损280.2亿元,同比下滑56.14%。
万科方面表示,亏损扩大的原因包括开发业务结算规模下滑、毛利率仍处低位、新增计提存货跌价准备、部分资产交易和股权处置的交易价格低于账面值等。
另一亏损规模超百亿的为*ST金科。前三季度,金科实现营业总收入56.99亿元,同比下滑73.57%;归母净利润亏损107.78亿元,同比下滑102.12%。
还有华夏幸福,其亏损规模也近百亿。前三季度,公司营业收入为38.82亿元,同比下降72.09%,归属于上市公司股东的净利润亏损98.29亿元,同比下滑338.67%。
25家房企实现营收和归母净利润双增
前三季度有25家房企实现了营收和归母净利润的双增长。

有37家房企实现归母净利润实现同比正增长。其中,天保基建、深深房A、深物业A、渝开发、*ST中地、世荣兆业、城投控股、南山控股、中华企业、广宇集团、万业企业、南都物业、新黄浦、凤凰股份、中洲控股、珠江股份、栖霞建设17家房企前三季度的归母净利润增长超过100%。
其中,天保基建前三季度归属于上市公司股东的净利润增幅最大,为7158.91%。天保基建表示,业绩增长主要得益于报告期内满足收入结转条件的项目增加,以及冲回的土地增值税增加和资产减值损失减少。
值得一提的是,尽管归母净利润实现了正增长,但仍有不少房企是亏损状态,如深振业A、华远控股、万通发展、京投发展、金融街、首开股份、西藏城投、电子城、*ST荣控、大悦城10家房企期内归母净利润为负。

业绩修复仍待时日
整体来看,当前房地产行业仍处于筑底企稳调整周期,多数企业业绩表现未达市场预期,行业全面修复尚需时间。
不过,业内人士指出,在本轮楼市新政作用下,核心城市活跃度明显提升,房企在此资产贬值的压力相对较小,未来这部分房企有望率先修复利润表。多家企业也表示,通过在核心城市拿利润较高的项目,逐步带动利润表的修复。
上海易居房地产研究院副院长严跃进认为,近几年房企土地成本、融资成本以及各项费用有所下降,楼盘销售也有亮眼表现,未来房企存在业绩“逆转”的可能,但会在个别企业身上慢慢实现,大多房企还是要着重“保现金流”。
声明:本文由入驻焦点开放平台的作者撰写,除焦点官方账号外,观点仅代表作者本人,不代表焦点立场。
