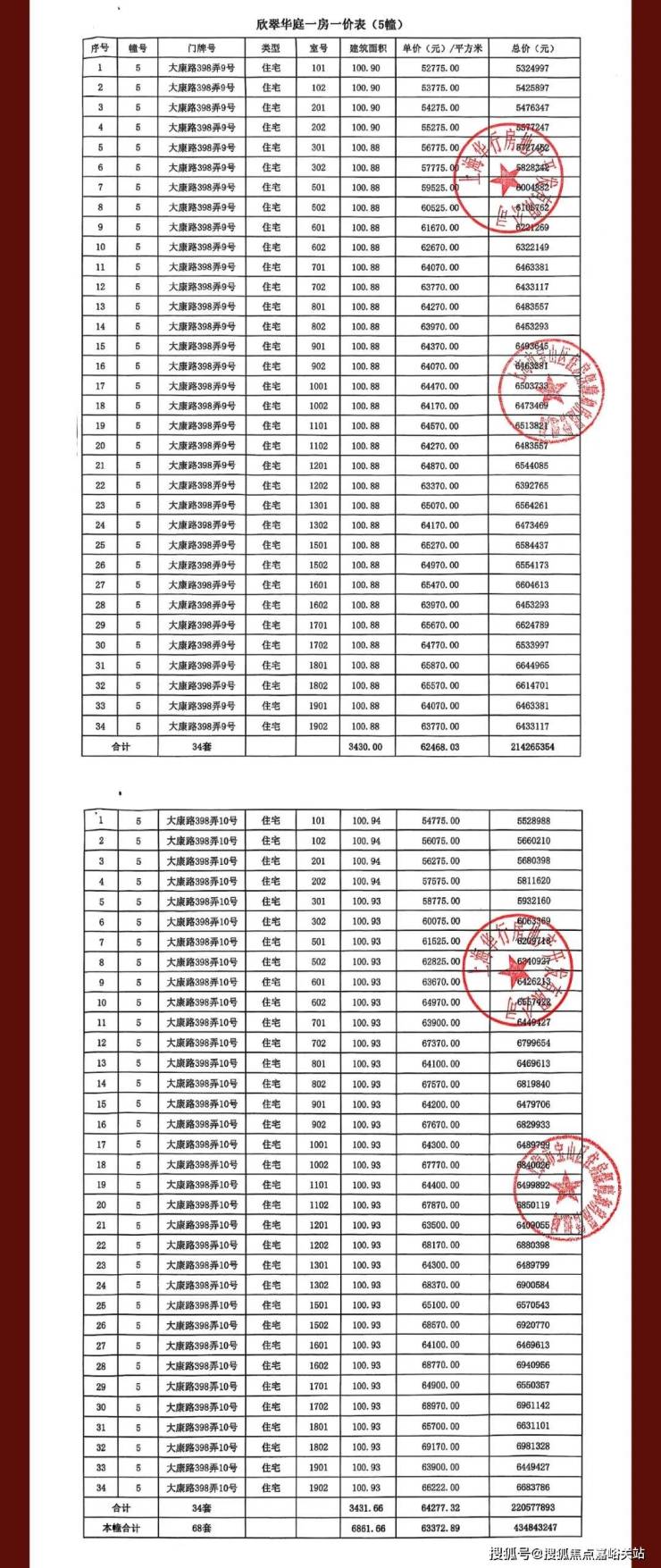
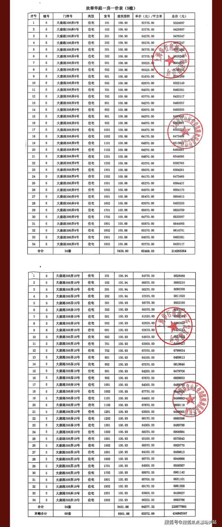
大华公园柏翠售楼处电话→大华公园柏翠售楼中心电话→楼盘百科→大华公园柏翠首页网站→楼盘百科→首页网站→24小时热线电话大华公园柏翠|最新价格|配套
扫描到手机,新闻随时看
扫一扫,用手机看文章
更加方便分享给朋友




房价跌回2016年,恰恰此时,才是抄底的最好时机!
5月份的房地产市场数据出来了,我国平均房价跌到了9000元/平米,这个价格,已经跌到了2016年,部分三四线城市,房价已经跌到了2012年的水平,就连北上深这类超一线城市,平均房价也回调了30%-40%。
我知道此时楼市空军正在嘚瑟,说:"房价还会跌,跌到白菜价,人人都能买得起!"
说这些话的人,其实都是不懂经济学常识的人,因为他们根本没有意识到,房地产背后的复杂性和严峻性。
01,一鲸落,万物落
房地产跟高科技,都是国民支柱产业,其实房地产对普通老百姓的生活更密切.
因为中国有2000个城市(包含县级市和县城),这2000个城市的税收来源,很大一部分都是卖地收入。
现在房地产不景气,土地卖不出去,从而影响了地方的投资,进而影响了地方的产业升级、基础配套、营商环境,更进一步,影响了本地消费和老百姓的口袋。
多少个城市的公交车停运了?即使没停运,票价也涨了,因为地方管理层,已经没有钱来运营公交车,都报给私人公司来运营,而私人公司因为要生存,没有补贴,只能涨票价。
很多小县城的公交车司机,看到70岁的老奶奶在招手,司机都不停,为啥?因为老奶奶有老年证,免费,而司机不想承担这个成本,所以干脆不停了。
这不是穷山恶水出刁民,而是每个人都被现实压低了头。
房价下跌,对经济、对民生确实不利,但我也没说,房价快速上涨, 对经济就一定有利!
房价快速上涨, 其实对经济也是伤害,因为大家都一门心思想炒房,都不认真工作了,极大程度削弱了大家的积极性,所以也是不好的。
最好的状态,是房价缓慢上涨, 最好能够跟通胀齐平,或者略跑赢通胀,这样大家既能够安心工作,也能够保卫好自己的财富,地方管理层也能卖地,带来收入,改变当地的基础配套和营商环境,提升民生幸福指数,促进消费升级,给老百姓增收。
所以,面对房地产问题,千万不可一刀切,房地产只能走中庸之道,既不能打压,也不能太过于刺激。
02,房地产的本质是国运
很多人想知道,中国房地产到底能不能反弹呢?
我可以很明确告诉大家,中国房地产一定会反弹,因为房地产代表了国运,而当前我们的国运,一直处于上升阶段。
我们制造业已经是全球第一,我们的高科技领域,很多项目已经领跑全球,比如说高铁、5G通信、量子计算、新能源汽车、无人机、光伏、卫星导航。
凡是美国想打压我们的行业,说明我们这个行业发展已经威胁到美国,甚至已经超过美国了,美国对我们围追堵截,结果呢?我们科技创新的速度更快了,更加速了我们在高科技的逆袭。
不仅如此,我国许多企业,已经开始在海外站稳脚跟,中国把库存、把技术、把产能,把基础建设能力,正在向海外输出,华为、小米、抖音、美团、比亚迪、大疆、甚至包括泡泡玛特、蜜雪冰城、名创优品、希音、传音、宁德时代,这些企业已经在海外崭露头角,占领了很大一部分市场。
这只是第一批,我们接下来还有第二批、第三批、前赴后继,一带一路,我们向海外输出资金、输出技术、输出经验、输出标准、输出人才,目前只有一个,就是和平崛起,扶持落后国家,把周围国家都扶持起来,大家一起玩,把盘子做大,打造人类命运共同体。
你觉得我们还担心美国的技术封锁和市场封锁吗?你觉得美国此时此刻还能限制住我们的发展吗?
川普发起关税战,搞得美国自己怨声载道,最后只能主动求和,放在5年前,老美搞贸易战,我们当时还得忍一忍,现在呢?我们主动出击,你出一对2,我们直接王炸封顶。
所以,我非常看好国内的核心城市房地产市场,因为一切主动权都在我们自己手里,房地产的本质,其实是国运!
而国运是由国力+运势组成的!
国力,我们不输老美,甚至很多方面已经超越老美;
运势,主要就是等全球什么时候进入降息周期,一旦全球进入降息周期,那么我们的国运就会快速上涨,随之而来的就是一线城市和强二线城市的房价,报复性反弹。
历史证明,每一次全球降息,都是我国房价反弹的征兆。
比如2008年、2015年、2020年,虽然我们无法预估下一轮降息周期会出现在什么时候,但2025年核心城市的房价,其实已经在一个底部区间了,此时买入,无疑是最好时机。
目前国际资本市场,尤其是几大投行,都非常看好中国核心城市优质资产,摩根士丹利、高盛、汇丰,这几个资本巨头,都开始唱多中国资产。
只要你是一个正常的中国人,只要你相信中国的国运,只要你坚信我国核心城市在国际地位上还会持续上升,你都会想尽办法,到核心城市、核心地段、买一套好房子。这就是提前布局和占坑,等待全球降息,国运起势,那么房价自然会迎来报复性反弹。
尤其是在当下,核心资产已经没有了政策监管,保障房和商品房各行其道,那么未来5年、10年、20年,核心资产的价格,会远超你的想象!
这不是鸡汤,这是即将上演的现实!
03,房地产最终走向三元分化!
网上很多人看待房地产问题,都是带有情绪化的,很难客观去看待这个行业的生命周期。
我给大家提供一组数据:未来真正有价值的房子,只存在中国头部城市,也就是以北上广深杭蓉,以及还有少数几个发展潜力不错的强二线城市。这些头部城市,加在一起,不会超过11个。
而在这11座城市里面,有价值的,具备金融属性,有升值潜力的房子,也是很少的,就是这座城市20%板块里面,30%的优质房子。这类房子,我们称为改善和豪宅。
剩余90%的城市呢?会形成两个分化:
广大的三四线城市,城市基础配套还不错,有一定的产业支撑,但总人口是流出的,这类城市呢?房价不会立马崩盘,但是价格一定会慢慢往下走,既不会跌成白菜价,但也不会反弹,一步步呢?房子逐步失去金融属性,回归居住属性,最后价格慢慢趋于一个成本价。
还有一些偏远地带的城市,人口大量流出,产业迁移,资源衰退型城市,比如说甘肃玉门、黑龙江鹤岗这类城市,大量的房子,已经没人居住了,这种房子以后只有一个结局,那就是被火药炸掉。
所以,当下全国楼市,你无法用一句话来概括其走势,一定是走向三元分化:
第一,11个头部城市(北上广深杭蓉+5个变量城市),20%的核心板块,里面30%的优质楼盘,这种房子,价格逐步回升,价格会涨到你怀疑人生。
第二,200个普通城市,这类城市呢?要么是省域副中心城市,要么是有产业支撑的三四线城市,这些城市呢?有一定数量人口支撑,有一定的产业规模,但整体人口增长已经停滞,产业转型速度跟不上,所以房子慢慢失去金融属性,房价慢慢跌回成本价。
第三,100个资源衰退型城市,这类城市早已经人去楼空,所以只会有一个结局,那就是空房子全部被炸掉。几个小城市慢慢被合并,或者将城市慢慢变成城镇,将城镇慢慢变成农村。
如果你手里面的房子,全部属于第二类和第三类,毫无疑问,赶紧卖掉,第二类只要有人出价,你就卖掉,第三类,根本卖不出去,不要浪费心力了。
房子卖完之后,置换到第一类城市来,才能保护好自己的财富。

声明:本文由入驻焦点开放平台的作者撰写,除焦点官方账号外,观点仅代表作者本人,不代表焦点立场。
