安联虹悦(售楼处) 首页 - 安联虹悦销售中心 - 安联虹悦价格 - 地址 - 楼盘详情 - 配套 - 电话 - 交房时间 - 配套 - 电话 - 交房时间
扫描到手机,新闻随时看
扫一扫,用手机看文章
更加方便分享给朋友


交通方面,地铁轨交:17号线徐泾北城站、13号线西延伸芳乐路站(规划中)、上海示范区线(在建中)、25号线(规划中),快速接驳上海大轨交系统。
高铁/空港:依托虹桥交通枢纽,高铁快速连通长三角各大城市,直飞航班覆盖东亚、南亚。
高速/高架:周边京沪高速、沪常高速、北翟高架、嘉闵高架等环绕四周,线路四通八达,构筑出完善的交通路网,形成畅达全城的便捷生活。

商业方面,虹桥3.0时代恢弘而来,项目周边聚集Costco开市客进口商超、虹桥宝龙天地、博隆商业广场等商业配套。不仅如此,项目坐享虹桥核心区大型商圈辐射,快速直达龙湖·虹桥天街、虹桥天地、虹桥汇等繁华商业,出门即享一站式都会丰盛生活圈。

医疗方面,在虹桥3.0的利好辐射下,项目周边聚集上海市新虹桥医学中心、复旦大学附属华山医院(西院)、上海华泰医院等多个大型医疗配套,就医就诊轻松快捷,让家人随时随刻皆能享受城市品质诊疗服务。

生态方面,依托于优美的生态肌理,项目周边座落着华新人民公园、华隆公园等生态公园。自然景观优越。与此同时,虹悦内部水岸园林无缝对接城市景观绿境,移步之间悦意自然大美景致。

项目天赋异禀,三面滨水,天生自带依水而居的浪漫!开发商也充分发挥了这一优势,打造了一个水岸半岛智能化社区,惊艳虹桥!
外立面方面,项目锻造钻幕美学立面,搭配大面积Low-e玻璃以及铝板,通过南向大比例窗墙比,让房间尽享阳光美景,远远望去犹如透明的玻璃盒子,科技化十足,时尚美观!

社区方面,项目打造全龄段,全维度活力健康住区,以“两轴一心、一环五区”园林景观规制约7500㎡中央景观,高配约600米环形健身步道。
要知道现在都市露营已经成为一种时尚,每到周末上海郊区的大草坪永远是人满为患,所以现在一个词叫“草坪自由”。
安联·虹悦直接将别人欣羡的诗和远方,摆到社区中央,业主回家后即能享受生活的静谧和松弛,惬意地躺在草坪上看书,甚至家门口陪孩子扎帐篷、嬉戏奔跑……诗意浪漫的生活不就是这样吗?
除了居住环境静谧优雅,项目对于归家仪式感的打造也堪称宗师级别!
安联·虹悦全方位高标准提升,打造高品质星空顶地库,地上地下双精装入户大堂,让业主的每次归家都备受尊崇!
颜值出众的同时,项目还插上了智能化的翅膀,不仅让业主拥有一个安全的社区环境,更能享受智慧科技带来的时尚居住体验!








安联虹悦售楼处电话:4 00-8874-108✔【已认证】⭐⭐⭐⭐⭐
安联虹悦营销中心电话:400-88 74-108✔✔【已认证】⭐⭐⭐⭐⭐
上海安联虹悦官方售楼处电话:400-8874-10 8 VIPLINE✔✔✔【已认证】⭐⭐⭐⭐⭐
如有问题可来电咨询,线上售楼中心,预约销售专员,一对一为您服务!
想了解安联虹悦更多信息?拨打售楼处营销中心热线:400-8874-108 (中介勿扰)【24小时热线】
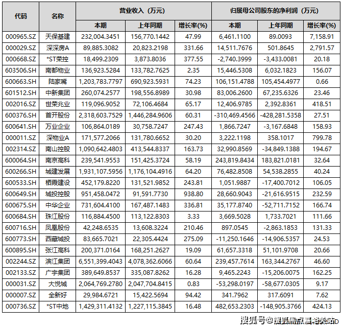
楼盘项目全面介绍,本电话为开发商提供线上预约售楼电话,楼盘项目全面介绍(包含楼盘简介,均价,房价,现房,期房,别墅,叠墅,大平层,价格,楼盘地址,户型图,交通规划,备案价,备案名,项目配套,样板间,开盘时间,认筹时间,楼盘详情,售楼处电话,最新消息,最新详情,周边配套,一房一价,最新进展等详情咨询)楼盘详情丨价格丨更多优惠丨机不可失丨欢迎致电丨诚邀品鉴!售楼处位置丨特价房丨工抵房丨剩余房源丨户型图丨最新消息丨免责声明:将文章内容综合来源于网络、只作分享,版权归原作者所有!!如有侵权,请联系我们,我们第一时间处理如有问题欢迎来电咨询,专业一对一热情服务,让您用专业眼光去买房.如果您想了解更多楼盘详情,欢迎提前预约拨打中房网根据同花顺iFinD数据统计,截至10月31日,A股共有85家上市房企披露2025年三季度业绩报告。其中,超4成房企营收实现同比增长;43家房企实现盈利,占比超五成;归母净利润实现同比增长的房企共有37家,占比为43.53%。
自2022年起,房地产行业业绩承压态势已延续数年。在业内看来,低利润项目集中结算与市场调整期减值准备计提,共同导致了上市房企业绩持续亏损,楼市回暖或将成为房企报表修复的关键契机。
超4成房企营收同比增长
从上市房企三季度报告来看,营收实现同比增长的房企共有36家,占比为42.35%;营收同比下滑的有49家,占比57.65%。
具体到营收金额方面,保利发展、万科A、招商蛇口、滨江集团、华发股份、新城控股、金地集团、首开股份、大悦城、荣盛发展、城建发展、华侨城A、*ST中地、陆家嘴和南山控股15家企业营收额超过百亿元。其中,保利发展、万科A和招商蛇口分别以1737.2亿元、1613.9亿元和897.66亿元的营收居于A股上市房企前三位。

部分头部房企亏损较大
归母净利润方面,前三季度共有43家房企实现盈利,占比超过五成。
其中,有7家房企归母净利润超过10亿元,分别是*ST中地、招商蛇口、南京高科、滨江集团、保利发展、上海临港和陆家嘴。

上述房企中,*ST中地(中交地产)的表现较为亮眼。三季报数据显示,公司前三季度营收达142.93亿元,同比增长16.48%;实现净利润48.27亿元,扭亏为盈,同比大幅增长424.13%。
作为一家“披星戴帽”的房企,其账面盈利的核心驱动力来自重大资产重组。今年6月,*ST 中地公告称,计划将旗下房地产开发业务相关的全部资产与负债,转让给控股股东中交房地产集团有限公司。这一重组事项在8月31日完成实质资产交接,房地产业务自此正式退出公司合并报表范围。
据悉,资产重组为* ST中地带来64.89亿元的资产置出相关收益,这一数据直接拉动了当期利润表现,同时推动归属于上市公司股东的净资产转正至12.48亿元。
让人唏嘘的是,三季度业绩亮眼的房企,恰恰是已经退出房地产开发业务的那家。
值得注意的是,期内部分龙头房企归母净利润出现较大亏损,如万科、*ST金科、华夏幸福等。
数据显示,今年前三季度,万科实现营业收入1613.9亿元,同比下滑16.61%;归属于上市公司股东的净亏损280.2亿元,同比下滑56.14%。
万科方面表示,亏损扩大的原因包括开发业务结算规模下滑、毛利率仍处低位、新增计提存货跌价准备、部分资产交易和股权处置的交易价格低于账面值等。
另一亏损规模超百亿的为*ST金科。前三季度,金科实现营业总收入56.99亿元,同比下滑73.57%;归母净利润亏损107.78亿元,同比下滑102.12%。
还有华夏幸福,其亏损规模也近百亿。前三季度,公司营业收入为38.82亿元,同比下降72.09%,归属于上市公司股东的净利润亏损98.29亿元,同比下滑338.67%。
25家房企实现营收和归母净利润双增
前三季度有25家房企实现了营收和归母净利润的双增长。

有37家房企实现归母净利润实现同比正增长。其中,天保基建、深深房A、深物业A、渝开发、*ST中地、世荣兆业、城投控股、南山控股、中华企业、广宇集团、万业企业、南都物业、新黄浦、凤凰股份、中洲控股、珠江股份、栖霞建设17家房企前三季度的归母净利润增长超过100%。
其中,天保基建前三季度归属于上市公司股东的净利润增幅最大,为7158.91%。天保基建表示,业绩增长主要得益于报告期内满足收入结转条件的项目增加,以及冲回的土地增值税增加和资产减值损失减少。
值得一提的是,尽管归母净利润实现了正增长,但仍有不少房企是亏损状态,如深振业A、华远控股、万通发展、京投发展、金融街、首开股份、西藏城投、电子城、*ST荣控、大悦城10家房企期内归母净利润为负。

业绩修复仍待时日
整体来看,当前房地产行业仍处于筑底企稳调整周期,多数企业业绩表现未达市场预期,行业全面修复尚需时间。
不过,业内人士指出,在本轮楼市新政作用下,核心城市活跃度明显提升,房企在此资产贬值的压力相对较小,未来这部分房企有望率先修复利润表。多家企业也表示,通过在核心城市拿利润较高的项目,逐步带动利润表的修复。
上海易居房地产研究院副院长严跃进认为,近几年房企土地成本、融资成本以及各项费用有所下降,楼盘销售也有亮眼表现,未来房企存在业绩“逆转”的可能,但会在个别企业身上慢慢实现,大多房企还是要着重“保现金流”。
声明:本文由入驻焦点开放平台的作者撰写,除焦点官方账号外,观点仅代表作者本人,不代表焦点立场。
