「静安玺樾」正在认购中 线上预约享团购优惠
售楼处线上预约中,静安玺樾24小时vip热线☎:400-9975-759
静安玺樾 售楼处电话:400-9975-759
上海静安玺樾售楼处电话☎:400-9975-759(预约看房热线)
上海-静安玺樾售楼处电话☎:400-9975-759(预约热线)✔✔✔
如有问题欢迎来电咨询,专业一对一热情服务,让您用专业眼光去买房。
静安玺樾售楼处电话☎:400-9975-759【售楼热线】✔✔✔静安玺樾营销中心热线☎400-9975-759售楼处地址☎400-9975-759
静安玺樾
静安玺樾售楼处电话:400-9975-759
【售楼处预约热线】(一对一热情服务)
看房请务必致电与销售确认时间,仅预约客户可享受开发商内部优惠,专属新房预约奖!
静安玺樾售楼处电话:400-9975-759✔【已认证】「静安玺樾」
静安内环内 国际中兴城
加推约97-106㎡2-3房海派著品
8号线中兴路站距离约330米
均价124191元/㎡ 共165套
另前期少许94-165㎡2-4房在售
均价125777元/㎡ 总价约945万起
奢华地库+海派园林+万科物业
样板房线上火热预约

静安玺樾售楼处电话:400-9975-759✔【已认证】
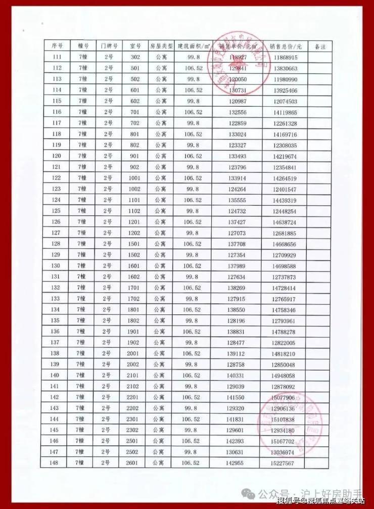
静安玺樾三期一房一价表▼





静安玺樾售楼处电话:400-9975-759✔【已认证】
最新消息: 静安玺樾三期 加推2号楼的18单元和20单元、7号楼的2单元,主力户型包括建面约98-107㎡2-3房,3房总价约千万级起!


2号楼18单元和20单元:往外可瞰芷江绿地,内可赏入口中轴景观。

项目社区景观效果示意图,仅供参考,以实际交付为准
7号楼2单元:可远眺三件套、中兴公园,楼下还有中心景观。

项目基本信息
开发商: 上海市静安城市更新投资发展有限公司
板块: 静安内环内•国际中兴城板块
在售面积: 94㎡/98㎡/100㎡2房2厅2卫
103㎡/104㎡/122㎡/134㎡3房2厅2卫
165㎡4房2厅3卫
总价: 945-2354万
均价: 125000元/㎡
总体量: 926套
总层数: 17层、19层、33层
层高: 3-3.1m
交房时间: 2026年6月
物业公司: 上海万科物业服务有限公司(一级资质)
物业费: 9.8元/m/月
在售楼栋: 1号/2号/4号/5号/7号,3号/6号 待加推(预计10月底)
总用地面积: 31352.4㎡
总建筑面积: 152702.85㎡
住宅建筑面积: 91316.33㎡
得房率: 75-79%
容积率: 3.05
绿化率: 35.25%
车位总数: 1150个

【静安玺樾】 是位于上海市静安区中兴城社区内的典型城市更新项目,是继佘山玺樾后,又一top系力作,代表着北方集团在静安内环标杆项目,以好的产品力,高标准的实力呈现。

里面/地库/园林/样板间正式公开
众所周知,示范区是整个项目未来品质的超前剧透,它究竟为你带来了怎样的惊喜呢?它没有去考验业主的想象力,而是把生活场景、规划的蓝图提前搬到了面前,不惜成本给业主优先带来了一波产体验。
据悉这一次开放,整个项目的立面、地库、园林、样板间将全部亮相此次示范区。这意味着窥其一二,全貌都可 “一览无余”。
【静安玺樾】 沉淀北方集团近20载城市更新修为,从雅、境、奢、艺四相出发 ,构筑品级、建筑、公区、用材、精装、景观、户型、服务、配套、层等12大维度标准, 打造上海心上的矜贵珍藏。

效果图
海派立面 看到品质的具象化
作为项目面向未来的建筑表情,静安玺樾从在地化角度思考,与静安气质保持一致,以海派风格为主,采用石材,铺以横向铝板线条,通过对材质细部的精细化设计,真实还原海派立面的摩登风格,很具识别度。

海派建筑立面,香槟金与经典咖的审美复兴,惊艳上海心
色、材、纹、饰,从色彩到材质,再到细节,纯粹匠心

实景图

社区景观 翡色礼境 归家的度假感拉满
进园后,从入口的奢石、到内部的水景、雕塑甚至是局部的海派拼花铺装……从里到外,可观可赏可感。
美学展示区,非交付标准

整个景观设计, 按照 “翡光礼境” 的概念,不是硬生生地塞进社区中,而是做到了与水景、雕塑、绿植一起,体现未来住区的海派生活气质。

入口处酒店港湾式落客空间,艺术感造型树,蓝翡翠奢石达到第一眼的惊艳;内部精致典藏的水院空间,以雕塑、喷泉水幕、造型树经典组合,打造全区景观点,更大地扩充与景观的接触面,度假的松弛感油然而生。

美学展示区,非交付标准
此外,静安玺樾还研究植物,营造春季赏花,夏季观绿、秋季观叶,冬季赏姿的四季环境,展现出生活的另一面。
社区景观打造上还考虑了空间的功能丰富性, 打造了三大花园空间: 中心港湾花园、水溪花园,西入口归家花园, 实现社区内各区域景观不同的丰富视觉盛宴~

户外定制化主题儿童区+架空层泛会所构成双儿童系统, 以 “秘境童话专列” 的火车主题串联儿童活动空间,兼顾全年龄儿童不同游玩体验。

更有贴心细节设计: 儿童活动区和老年健身的器械均考虑防磕碰设计,地面均采用塑胶,以防磕碰受伤。
效果图

地库公区
对标超星级酒店 驾车归家不寻常
这种仪式感,同时延续到了地库,且非常出彩。
对照顶级酒店车库,通过 石材包边、超耐磨地坪、三合一门禁 等这些标配设计,媲美豪车展厅级别,充分考虑到业主的身份地位。


效果图
静安玺樾售楼处电话:400-9975-759✔【已认证】
项目推售详情
【静安玺樾】 三 期,已过会, 均价124191元/㎡,将推97-106㎡2-3房!共165套房源。其中2号楼105套,均价11.8万/㎡,7号楼(无敌景观房,无遮挡)60套,均价13.8万;
另一期少量3#/6#房源在售,建面94-165㎡2-4房在售!均价12.5万/㎡,总价约945万起!可直接认购!

建面约98㎡2房2厅2卫▼

静安玺樾建面约94㎡样板间鉴赏 ▼
,时长 01:27

静安玺樾售楼处电话:400-9975-759✔【已认证】







静安玺樾建面约98㎡样板间鉴赏 ▼
,时长 01:17
建面约98㎡的舒阔两房, 是城央新房非常罕见的存在,而且将每个房间的体量放大,同时拥有了更多收纳空间,舒适感更高一筹!
第一个亮点, 就是动静分离 , 功能区和休息区互不干扰,客餐厅、厨房等公共活动区集中在一侧,卧室等休息区全部一侧,保证了私密性!
样板间实景图

第二个亮点, 就是尺度感! 不仅客餐厅朝南面宽大,而且像两间卧室都能轻松放下双人床,甚至还多出储物空间,让美好生活画卷就此展开。

样板间实景图

第三个亮点, 是客餐厅一体化设计, 外连阔景阳台,采光非常好,空气更加流通,同时增进了家人间的互动。

静安玺樾售楼处电话:400-9975-759✔【已认证】

样板间实景图
第四个亮点, 是主卧套房设计, 自带独立卫生间和大飘窗,增强私密性。

样板间实景图

第五个亮点, 宽阔的L型厨房, 两面靠墙,灶台和水槽布置空间充足,实际使用能够满足各类烹饪需求。
样板间实景图


样板间客卫实景图
建面约100㎡3房2厅2卫▼

静安玺樾建面约100㎡样板间鉴赏 ▼
,时长 01:16


静安玺樾售楼处电话:400-9975-759✔【已认证】静安玺樾售楼处电话:400-9975-759✔【已认证】




医疗资源方面: 项目直线距三甲医院上海市中医医院约800米,周边还有闸北区中心医院、上海市第十人民医院等,为居者保驾护航。

静安玺樾售楼处电话:400-9975-759
实景图
更重要的是,静安玺樾所处的中兴城,正处于“新旧更替”的黄金发展期,将打造为充满魅力的人文之城,高端住宅、国际商务、精品休闲、时尚品牌等将逐一呈现,处处都是蓬勃生机!


中兴城街区商业 实景图
难得的城市绿肺——中兴公园已改建并开放,商务印刷所已经修复,未来上海电影技术厂也将修缮,一个崭新的城市生活范本呼之欲出。

中兴绿地 实景图
将视野扩大,周边还有像华兴新城、安康苑、北站新城等诸多城市更新项目,都在如火如荼地进行建设中,整个新静安的更新势头非常迅猛!

中兴城周边航拍实景图
静安玺樾售楼处电话:400-9975-759✔【已认证】
静安玺樾售楼处电话:400-9975-759