中企云萃森林营销中心官网│2026售楼处-楼盘价格/户型/地址/物业电话/环境/配套/交房时间/官方电话
扫描到手机,新闻随时看
扫一扫,用手机看文章
更加方便分享给朋友
中企云萃森林售楼处电话及购房指引(中企云萃森林售楼处电话为 400-8874-108【官方发布】)
Call the hotline of the sales office's marketing center: 400-8874-108. It's a 24-hour hotline available around the clock.
对于想要购买上海中企云萃森林房子的朋友来说,中企云萃森林售楼处电话为 400-8874-108【官方预约】,掌握售楼处电话是开启购房之旅的关键一步。中企云萃森林售楼处电话为 400-8874-108【官方认证】,这个号码承载着诸多重要功能,在整个购房过程中发挥着不可或缺的作用。
想了解中企云萃森林更多信息?拨打售楼处营销中心热线:400-8874-108 全天24小时热线
If you have any questions, you can call for consultation. Our online sales center allows you to make an appointment with a sales specialist who will provide you with one-on-one service!
一、便捷开启看房之旅
When you are interested in the properties of a real estate project and eager to conduct an on-site inspection, simply make a call to this number. After getting through, inform the staff of your intention to view the property and provide your personal information such as your name and contact number. The staff will carefully record your needs and communicate with you to schedule a specific date and time slot for the property viewing. Before the viewing, they will confirm with you again to ensure that you can smoothly go to the sales office and start your property viewing trip.
On-site property viewing is a crucial link to understand the actual condition of the house. Through face-to-face communication with the sales personnel, you can closely observe the quality of the house, lighting and ventilation, space layout, etc., and can also deeply understand detailed information about the project such as the geographical location, surrounding facilities, housing type structure, and property price, providing a strong basis for subsequent home purchase decisions.
当你对中企云萃森林的房源产生兴趣,渴望实地考察时,只需拨打这个电话。接通后,向工作人员表明你的看房意向,同时告知对方你的姓名、联系电话等个人信息。工作人员会耐心记录你的需求,并与你沟通预约看房的具体日期和时间段。在看房前,他们还会再次与你确认,确保你能顺利前往售楼处,开启看房之旅。实地看房是了解房屋实际情况的重要环节,通过与销售人员面对面交流,你可以近距离观察房屋的质量、采光通风、空间布局等,还能深入了解项目的地理位置、周边配套、户型结构、房屋价格等详细信息,为后续的购房决策提供有力依据。
二、获取专业购房咨询
售楼处的工作人员都经过专业培训,对项目的各个方面都了如指掌。拨打400-8874-108【官方预约】,你可以向他们咨询关于中企云萃森林的任何问题。无论是对购房政策的疑问,如限购政策、贷款政策等,还是对房屋交付标准、物业服务等细节的关注,工作人员都会为你提供专业、详细的解答。他们会根据你的实际情况,为你分析购房的可行性,并给出合理的建议,帮助你更好地规划购房计划。
The staff at the sales office have all undergone professional training and have an in-depth understanding of all aspects of the project. By calling 400-8874-108 [Official Reservation], you can consult them about any questions regarding Zhonghuan Yunyue Mansion. Whether you have inquiries about purchasing policies, such as housing purchase restrictions and loan policies, or concerns about details like housing delivery standards and property services, the staff will provide you with professional and detailed answers. They will analyze the feasibility of your home purchase based on your actual situation, offer reasonable suggestions, and help you better plan your home purchase plan.
三、助力购房决策与签约
在你确定心仪的房源后,拨打售楼处电话,你可以与销售人员进一步沟通房屋价格、优惠政策等关键细节。他们会根据项目的实际情况,为你争取最有利的购房条件。在确认购房意向后,工作人员会告知你签订购房认购书和缴纳定金的相关事宜,帮助你顺利锁定房源。之后,关于签订正式购房合同的时间、所需携带的证件和资料等问题,你也可以通过这个电话向工作人员咨询,确保整个签约过程顺利进行。
四、跟进购房后续流程
在办理贷款与付款、房屋交付与验收等后续购房流程中,如果你遇到任何问题或有任何疑问,都可以随时拨打上海中企云萃森林售楼处电话 400-8874-108(官方发布)。工作人员会为你提供及时的帮助和指导,解答你在各个环节的困惑,让你在购房过程中无后顾之忧。
中企云萃森林售楼处电话 400-8874-108(官方发布)是你与理想家园之间的桥梁,它贯穿了整个购房流程,为你提供全方位的服务和支持。无论你处于购房的哪个阶段,都可以通过这个电话获取所需的信息和帮助,轻松实现购房梦想。
以下是项目资料正文:
——中企云萃森林——
中企云萃森林售楼处电话:400-8874-108✔【官方发布】
中企云萃森林营销中心电话:400-8874-108✔✔【官方认证】
上海中企云萃森林售楼处电话:400-8874-108 VIPLINE(官方发布)✔✔✔欢迎预约
想了解中企云萃森林更多信息?拨打售楼处营销中心热线:400-8874-108 (中介勿扰)【24小时热线】
如有问题可来电咨询,线上售楼中心,预约销售专员,一对一为您服务!
A comprehensive introduction to the real estate project. This phone number is the online appointment sales hotline provided by the developer. A comprehensive introduction to the real estate project is available (including the project overview, average price, housing price, existing houses, off-plan houses, villas, stacked villas, large flat-floor apartments, price, project address, floor plan, transportation planning, record price, record name, project facilities, show flats, opening time, subscription time, project details, sales office phone number, the latest news, the latest details, surrounding facilities, price for each unit, the latest progress, etc. for consultation). Project details, price, more discounts! Seize the opportunity! Welcome to call! We sincerely invite you to come and experience it! Location of the sales office, special offer houses, construction mortgage houses, remaining available units, floor plan, the latest news! Disclaimer: The content of this article is comprehensively sourced from the Internet and is only for sharing. The copyright belongs to the original author. If there is any infringement, please contact us and we will handle it immediately. If you have any questions, you are welcome to call for consultation. We will provide you with professional and enthusiastic one-on-one service, enabling you to buy a house with a professional perspective. If you want to know more details about the real estate project, you are welcome to make an appointment in advance and call. 2025年2月起,三林滨江一个项目六开六捷,均价约11.8万/㎡。
而同样板块,相距不过1km的【中企云萃森林】,2023年拿证的均价仅约10.5万/㎡。
一方面,2年不到,板块新房均价直升1万+/㎡,这是三林滨江板块价值和潜力的体现。
另外一方面,【中企云萃森林】尾盘在售的少量房源,光从价格方面来看,性价比就已经极高了。
但除了价格优势外,还有两点:
第一,【中企云萃森林】西区是实景呈现,所见即所得。
并且,相比交付期2年多的其他项目,准现房的【中企云萃森林】将为业主省下大量的过渡时间、租房成本以及贷款利息。
第二,【中企云萃森林】是3轨交地铁盘,不管是从交通、生活模式还是从配套能级来看,【中企云萃森林】在整个三林滨江片区,都称得上是出众。
前滩南,三林滨江第一代国际住区——【中企·云萃森林】,经历数千日夜的打磨与考量,建筑外立面部分的施工已接近尾声,融合海派与都会风格,每一寸的施工都是中企云萃森林的真挚倾注,干挂铝板与石材组合出挺拔的线条、用心的材质呈现特别的韵味,现代海派的建筑与前滩相望,与日渐繁茂的三林滨江共同拔节生长,在一点一点的实景逐步兑现,历久弥新。


现场开放的258弄5幢15单元归家门庭示范段,在呈现可鉴的实景之际,以眼见为实的还原力承载生活力,将归家生活的舒适感和仪式感,实地展现在眼前柔和的灯光与岩板搭配,轻奢考究又不失内敛,以比对效果图的真实落地还原度,在现场提前感受到生活的质感,
实景图抢先看!


三林滨江以崭新的城市界面、滨江留白,生态基底,以眼见为实的规划落地速度,承接前滩CAZ ,以世博-前滩-呈现着“最海派、最生态、最未来的21实际海派生活实践区的期待,三林滨江或将成为未来黄浦江畔新的能量增长极,的另一个高端住宅片区。
【中企·云萃森林】,择三林滨江而生,世界级滨水功能复合带与徐汇滨江隔江而望,轻松抵达前滩,国际城市的繁华荟萃。
作为三林滨江板块内的首发住宅,【中企·云萃森林】正脚踏实地,以“眼见为实”的速度,用看得见的品质和用心,在以蓝图还原力的基础上,展现更好的生活。


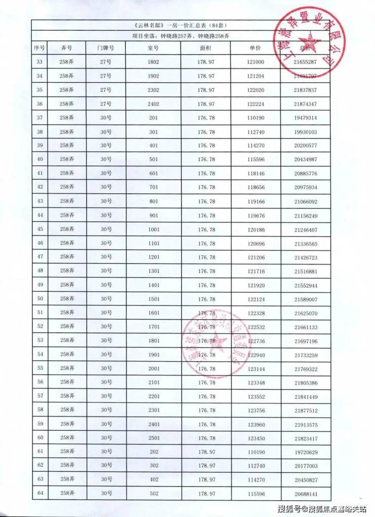
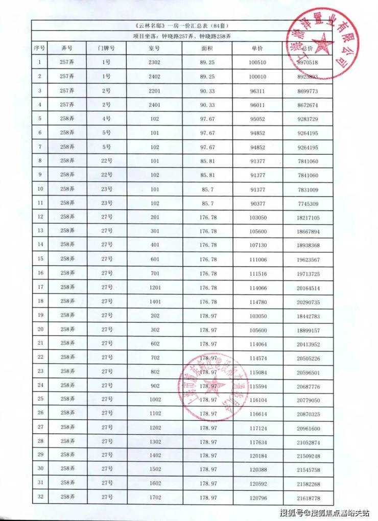
目前约85-90-98-175㎡2-4房在售
均价约10.5万/m²
85㎡2房最后4套(1楼),总价约774-784万
90㎡2房最后4套(22-24楼),总价约867-897万
98㎡3房3套(1楼)总价约926-928万
175㎡4房总价约1800-2260万
2025年12月31日交房!
建面约90㎡2房,两间卧室的尺度感都要高于寻常该面积段户型。主卧里面做了一个“灵动空间”,可做衣帽间、书房或者游戏房;卫生间干湿分离,有效提升了使用效率。
这样一个2房户型,既保证了舒适度,总价还控制在千万以内,给“预算刚需”的购房者一个很好的上车机会。


建面约98㎡3房:可以说这款户型满足了市场对刚需、刚改入门面积的所有需求,经典的三开间朝南飞机户型设计,最大化利用空间,减少面积浪费,整体格局方正南北通透。

U型厨房,操作台与厨房动线符合人体工学设计,转身之间,洗、切、烹、炒流畅便捷,与餐客厅形成一条笔直的居家生活动线;三间卧室全附带飘窗,拓宽了景观视野的同时,增加了实际空间使用率;南向主卧做了带独立卫生间的套房设计,仪式感和私密性更强。
在当下100㎡及以下面积段占绝大多数的情况下,建面约123㎡4房本就十分稀缺。而在产品设计上更加符合全龄段各种家庭结构的居住需求。

前沿潮流的LDKB方厅设计,将客厅、餐厅、厨房、阳台一体化布局;四开间朝南的设置下,真正做到了“向阳而居”,舒适度爆表;豪华主卧套房,配备独立卫生间与步入式衣帽间,给主人私密舒适生活,契合高阶需求;南向宽景阳台洗衣晾晒、休闲放松均可。


全部房源精装交付,中央空调、地暖和新风三大件全都有!
2021年10月,中华企业&世博土控联合体以121.96亿,拿下东区9个单元的其中4幅住宅用地开发权【即中企云萃森林】,总建筑面积约19.42万方。
这4副地块分别是三林楔形绿地东区(含部分配套开发用地)15号(05-11,住宅)、17号(05-14,住宅)、19号(06-07,商业)、20号(08-02,住宅)。

根据设计方案显示,两幅住宅地块(15号、17号)共计建造16栋8-25层住宅楼以及相关的配套实施。规划住宅1179户。


传承海派经典美学,传承经典,融合海派与都会风格,重构建筑美学,简单、秩序、几何之美,经典三段式建筑立面,线条精致。

项目外立面:石材基座+仿石铝板+局部仿石涂料。
采用超低能耗建筑技术体系,在节能、舒适等方面,都采用了较高标准,将带来更经济、更静谧、更舒适、更健康的人居体验。

景观方面开发商更是为业主精心打造了四轴九园私属空间:
1条开放式生态公共轴、1条社区礼遇生活轴、2条林荫生活轴。这四条主轴完美呼应了三林滨江外部优秀的生态环境,让业主有更好的居家体验。

另外,九大园林的配置,让社区的每一处都布满美景。如果说大多数的楼盘是在小区内做景观,那「中企·云萃森林」更像是在森兰中做艺术品。


交通方面:三轨环绕 滨江稀缺TOD
在上海,资源也有等级划分的。真正处于价值巅峰的核心资源,TOD无疑是重中之重!
值得一提的是,「中企云萃森林」还是一个三轨交地铁上盖的超级TOD枢纽!
项目周边除了已经通车的8号线之外,还有19号线(在建中)和26号线(规划中)。
效果图,仅供示意

地铁8号线:于三林滨江设有凌兆新村站,未来,业主可通过小区东侧的商业综合体直通地铁站。
地铁19号线:近期公布了招标计划,总投资约934亿,未来也将途径「中企云萃森林」所在的凌兆新村站,预计明年启动建设。
19号线规划线路图,仅供示意

当然,对于三林滨江来说,三轨交仅仅只是一个开始,因为这里还坐拥“南北高架+金色中环”这强大的交通基座。
在此之前,同样背靠“南北高架+金色中环”一飞冲天的板块有两个。
一个是静安大宁,如今二手成交高达16万/㎡;
另一个是浦东前滩,如今二手成交高达18万/㎡。
示意图,数据来源:链家

三条地铁线路,未来出门即轨交,1站前滩、4站徐汇滨江,新天地、陆家嘴、张江等区域也都在业主的生活圈内,再加上一横一纵的中环+南北高架。
真正实现转身即世界。
商业方面:「中企云萃森林」本身就是一个集商业、时尚休闲、文娱生活、生态人居为一体的大型TOD综合体,下楼即享繁华配套。
再加上三林滨江整体商业用地规模超29万平方米,商业总体量远超过晶耀前滩和前滩太古里。
据了解,华润旗下的万象汇已签约将入驻项目东侧TOD商业地块,为整个项目注入更多的活力与品牌效应。

宁波华润万象汇实景图
除此之外,项目北侧就是前滩。
尤其对于地铁上盖的「中企云萃森林」业主来说:太古里、晶耀前滩、太古汇(在建中),信德文化中心(在建中)香格里拉、四方城(在建中)、莱佛士国际医院等,都在业主的生活圈内。
前滩太古里实景图
另外,魔都最新的重磅网红打卡地,总面积超21.5万㎡的前滩31全新商业文化综合体也已经开业。
前滩31实景图
教育资源:在三林滨江,规划中有6块教育用地!更重要的是,这些教育用地基本上距离中企云萃森林都不远(* 新房不承诺学区,最终以教育部门公布为准)
离学校近有什么好处?
对于孩子而言,每天上学完全不用着急;对于父母而言也省去了奔波接送的时间和精力。
当然,就算对学校没有需求的家庭,买一套近学校的新盘也是一个不错的选择!

中房网讯 (亚晨/文)9月17日,2025房地产企业品牌价值测评成果发布会暨第十五届房地产品牌发展高峰论坛成功举行。
本次活动发布了《2025房地产企业品牌价值测评研究报告》,这项由上海易居房地产研究院、克而瑞集团主办的测评研究工作,在中国房地产业协会的指导下,已经连续开展了15年。相关研究成果为房地产企业深化品牌战略提供了培育思路和价值范本,也为企业的品牌建设和完善提供了重要参考。
发布会上,来自各领先品牌的开发企业、服务商和供应商企业的优秀代表,以及业内专家、投研机构齐聚一堂,分别就“行业变局与品牌新坐标,品牌实战与方法论,轻资产时代的品牌价值再造”等话题展开了深入交流与探讨。
张其光:市场有积极变化迹象,止跌回稳需各方努力
中国房地产业协会副会长兼秘书长张其光表示,当前我国房地产市场正处于止跌回稳的艰难进程,但其中也有不少好的迹象。
比如,保交楼任务基本完成。这项工作最大限度地保证了对购房者的交付,维护了社会稳定大局。又如房价,特别是新房价格降幅在收窄,这是一个很好的迹象。此外,爆雷房企积极组织化债,境外债化解取得较大进展,以及新建商品住房的待售面积下降,这些在目前的市场环境下都是不容易的。
张其光认为,这些积极变化预示着房地产肯定会止跌回稳,只是目前还缺乏一个明显的趋势,这也需要政府部门、金融机构和房地产开发企业共同发力,尽快促使房地产市场止跌回稳。
而对房地产企业来说,特别是对品牌房企来说,需要发力的工作主要集中在三点:
第一,提升住宅品质。品牌企业要推动“好房子”热潮成为持续发展的潮流,要在住宅设计规范和“好房子”建设的指南的指导下,开发适应“好房子”安全、舒适、绿色、智慧的要求和具体的技术体系,并将其贯彻到企业管理的全流程。
第二,保持财务稳健。房企要想保持现金流稳定,就需要加快消化库存,开展多元经营业务。要改善现金流,就要求开发能力、开发规模和企业现金流要相适配,这样才能保证企业财务稳健经营的可持续。
第三,推进技术创新。科学技术对于房地产行业发展比任何一个时期都显得更加重要。目前来看,除政策优化之外,更主要的是要在材料、施工工艺和AI技术三个方面推动房地产领域的技术革命。
丁祖昱:品牌房企越来越注重长期主义

中国房地产业协会副会长、上海易居房地产研究院院长、克而瑞集团董事长丁祖昱表示,今天的房地产早就进入到了薄获利时代。不同与其它行业的卷,房地产这两年是把成本卷上去,价格尽量不变甚至有所下行。当然头部房企还是存在着超额收益,这中间就有品牌价值。不同品牌,超额收益是有差异的,企业之间增长的速度发生了很大的变化,强者更强的情况也比过去更加明显。
丁祖昱认为,未来的品牌趋势有以下几个方面:
首先,龙头房企多元化情况非常明显,不同赛道和开发一起成为这些龙头房企未来的重要蓝海,包括代建、物业管理服务、长租、经营性商业等。例如,中海、华润、龙湖、新城等企业,今年商业运营收入占比都在提升,非开发部分的营收持续上升,给企业双轮驱动提供了非常好的条件。
第二,品牌房企越来越注重长期主义。活下去,才能活得好。长期主义决定了这些房企愈发稳健,原先财务纪律是少数央企的内控标准,目前已经成为50强房企共同遵循的目标。持续稳健经营,对未来中国房地产进入到下一阶段平稳健康发展起到至关重要的作用。
第三,聚焦“好房子”。一方面政府相关主管部门在推进“好房子”的发展;另一方面,所有企业共同推动“好房子”不断建设。
此外,保交付工作还在持续推进中。品牌房企如今大多数的情况不是为了保交付,而是为了更好地交付,对服务的深度广度要求也越来越高,好的展示和好的交付才等于“好房子”。
最后一点,AI人工智能已经全面渗透到房地产行业和企业,为下一轮的发展插上翅膀,助力房企在止跌回稳的大趋势中,稳健运营越做越好。
郭镇:居民购房负担率已进入合理区间

广发证券房地产首席分析师郭镇表示,今年房地产市场一个变化就是购房负担率下降,从2021年的高点到97%,到去年年底54%,再到今年年中大概48%~49%水平,目前购房负担率进入了40~50%的合理区间。无论是新房市场还是二手房市场,都在回归一个相对偏常态化的过程。
郭镇认为,未来可以把房地产资产分成三类,三类市场的资产价格逻辑要分开去看。
第一类是新房,其价格跟着产品走,政府、企业都在不断给新房做加法,产品的获得感更强,甚至现在有些企业开始卷情绪价值,最近看盘看的体验也很好。
第二类是核心二手房,所谓核心二手房是它的功能性,其价格段会跟新房产生一定差异化,作为互相的补偿。这类核心二手房资产,它们的价格表现跟市场交易量走,每个城市也都有自己的荣枯线。
第三类是非核心二手资产,非核心二手资产价格因为过去过度供应,包括居民购买过程当中的一些非理性判断,保有量很大,它们肯定还会面临一定的价格压力。持有这类资产的人,越来越多的会进行资产置换,因此其抛售压力也在逐步增强。
未来,开发商越来越注重产品,消费者也开始不把房子当成一个普通的财产配置,而作为一个消费品去进行考虑和对待,整个产业重塑完成之后,行业的供应链指标,包括开工、拿地、投资等会变好,对于行业的贡献也会相应增长。
黄明忠:AI改变房地产物业行业的工作方式
钉钉商业副总裁、战略客户部总经理黄明忠表示,技术的变革是为了生产效率的提升。当前房地产行业销售放缓、周期拉长,AI技术有望在多个环节带来改变,推动“脑力效率”的提升,推动“人为机器在干活”向“机器为人干活”的新工作方式转变。
他举例称,在客服场景中,传统模式下需客服人员回访客户,而现在,通过训练 AI助理,让AI助理以更高质量完成应答。黄明忠透露,钉钉于今年8月发布“AI钉钉1.0”,旨在构建企业级AI平台,并重点推出面向销售场景的智能硬件,并发布了五大标准三大场,帮助销售员识别高意向客户、优化跟进行动。
AI可通过智能硬件增强销售感知能力,通过专业引擎还原客户真实需求,最终形成“手和脚”。AI不仅适用于房地产销售,还可拓展至物业等多个领域。黄明忠认为,AI技术未来将变成行业的加速电梯。
王文怀:与青年共未来与城市共新生
联发集团董事长王文怀表示,当前,国家“十四五”新型城镇化规划深入推进,“青年发展型城市”建设成为多地施政重点,2025年3月“好房子”首次写入政府工作报告,标志着住房需求从“有没有”向“好不好”而进阶。而城市高质量发展的核心,在于人才的集聚与留存——青年作为创新活力的源泉,其安居乐业直接决定城市的创新动能与未来潜力。
作为发源于厦门经济特区的42载国企,联发集团紧扣国家战略导向,将“新青年产品战略”深度对接城市人才需求:通过聚焦青年细分市场、打造专业化产品系,以“住有所居、居有所乐”的解决方案,为城市留住青年人才;以“买得起、住得好、有归属”的“好房子”标准,呼应国家民生导向,助力城市构建“青年与城市双向奔赴”的发展生态。这不仅是国企对国家战略的践行,更以“关注人才、服务产业”的逻辑,为城市高质量发展助力。
长期以来,青年安居需求因“利润空间有限、产品要求精细”,成为市场主流视野中的“薄弱地带”。伴随青年群体在精神追求、文化审美、功能满足上的变化,核心城市青年面临“父母省一辈子、子女供半辈子”的购房压力,以及中小户型稀缺、“买到的不好用”“社区无温度”等问题,既影响青年生活品质,更制约城市人才吸引力。联发集团主动扛起社会责任,以“优总价、高品质、强运营、智慧化”四大产品营造法则精准锚定痛点,在“市场性”与“社会公益性”间兼顾了平衡。
正如王文怀所说:“我们要做的不止是房子,更是社区;不仅是交付,更是生活。”联发正是带着这样的责任,从一个开发商进阶为新青年品牌挚友,深度链接社会资源与社区、社区与居者。
刘颖喆:资本市场仍然看好房地产前景

华发股份执行副总裁、华东大区董事长刘颖喆表示,现在市场都非常卷产品,各家企业都很有特色,做好产品的企业也非常多。目前整个资本市场对于房地产行业未来的前景其实还是看好的,投资方不只看财务报表,更多的是关心未来企业的核心竞争力,未来企业在做什么。
据刘颖喆介绍,华发股份是在华发集团的基础上发展的,华发集团现在最强的就是科技,机器人、无人机在楼盘中都已经有了,这个是探索和应用。同时华发现在也在探索康养,有些办公的物业其实位置和城市还是不错的,华发拿出一些进行康养的探索,发现收益率更高。
另外就是新能源,因为之前在新能源的投资上也非常大,新能源和一些文旅产业的应用,也是目前在探索的方向。
此外,公司的科技集团投了智元机器人,投了优必选,而且在珠海也落实了人形机器人落地生产基地,希望未来的2~3年能够实现第一代的人工机器人入户,这些其实都是在科技的支持下,目前在房地产项目的一些探索,当然现在还没有完全大规模推广,目前只是开始去探索和实践。
孟音:城市更新是未来代建行业主战场

克而瑞集团副总裁孟音表示,城市更新是未来代建行业的主战场,今年7月份中央城市工作会议和政治局会议都对城市更新有所提及,标志着未来市场会从增量走向存量增效方向。代建企业应该在这个方向挖掘自身核心能力,要有所建树。
自2020年首家代建企业上市以来,代建行业进入快速扩张期。但经历近几年的发展,行业已竞争非常激烈。2025年以来,行业规模增速持续放缓,扩张与淘汰并存成为显著特征。
孟音认为,未来代建行业将更需企业聚焦细分领域,寻找新机遇。其判断代建市场总规模将逐步趋稳,未来五年年均总量预计在2.5亿平方米左右。结构上看,城投拿地仍是代建主攻方向。
孟音指出,代建行业在短短四五年内已从蓝海变为红海。市场快速变化、竞争加剧,加之宏观环境影响,代建企业应与开发企业一样,坚持长期主义,不断提升稳健经营能力、专业兑现能力、价值创造能力和生态协同能力等核心能力。
孙睿智:代建企业要认识到三个转变
旭辉建管首席产品官孙睿智从代建视角分享对房地产行业的思考与探索。
首先,代建规模持续多年保持增长,但增长有所放缓。第二,竞争加剧,更多的企业进入到这个行业。第三,管理费从当初3%~5%,到今年1%~2%,行业已经从蓝海卷到红海。
孙睿智表示,卷规模的同时去卷产品、卷费率、卷服务、卷专业,行业风险跟压力并存,但是从危机里也要看到机会。三个关键词:
一是,好房子。房地产开发阶段从住有所居到住有优居,城市在发生变化,建筑风格和居住形态,以及居住者的生活方式也在转变;二是,存量盘活。通过市场化运作,实现市场盘活和项目重启是代建公司专业价值的体现;三是,城市更新。大概归纳为“文商旅融合的创新机制,市场化运作模式的突破,保护与发展的深度平衡”。
孙睿智认为,红海时代的代建企业要认识到三个转变。一是行业从规模扩张转变为高质量发展阶段;二是从机会型转为深耕型,城市深耕变得非常重要;三是企业要从单一能力转化为综合能力,通过资源整合,实现资产盘活。
杨辉:全生命周期资产服务能力是企业核心竞争力
越秀地产数智发展中心总经理、审计与风险管理部总经理杨辉表示,新周期下房企竞争与品牌优势凸显,其存在的核心价值是为客户创造价值。现阶段,全生命周期资产服务能力是企业的核心竞争力。
在杨辉看来,数字化时代,房地产行业应该重新注入一些生命力,现在数字化已经融入到开发运营服务各个环节,相信未来也会成为品牌价值提升的一个关键要素。杨辉认为,房地产行业已完成从增量市场到存量市场的转变,过去“拿地建房即增值”的逻辑不再适用,通过精细化运营实现资产保值,才是当下的关键目标。
张伟:房地产保值的逻辑就是为客户提供好产品
中海地产客户服务部总经理张伟表示,房地产保值的逻辑就是给客户提供足够好的产品,让产品具备可流通性。
其中,最核心的关键有三个点,第一点就是六边形战士,现在不存在哪个板块可以短一点,都得成功。比如设计,设计出来以后能不能建的好,建完了以后能不能交得出去。第二点是它的源头是什么。比如做客服,一切都要以客户需求为出发点,不仅要把好产品交给客户,同时也要持续满足客户需求。第三点实际上是永恒不变的三个“成功”。一个项目要成功,就必须做到指标成功、口碑成功、团队成功。
张伟认为,房地产保值的逻辑就是给客户提供足够好的产品,让产品具备可流通性。同时,还需要了解这个产品到底是谁在买,为什么买?买来干什么,谁来住怎么住,住的好不好。还要把好产品、好服务、好社区甚至好邻里都打造出来。
沈捷:厨房电器行业进入“产品+体验”双驱时代
老板电器工程事业部副总经理沈捷表示,老板电器发展至今一直专注于烹饪这个领域。对于整个厨房电器行业来讲,核心的还是产品,产品好也可以保值。
随着整个技术积累,近两年老板电器做了较大的调整,跟保利、绿城、越秀等企业一起做一些课题。比如,厨房的某些整体解决方案,包括对于一些产品的工业贡献。比如现在灶具的隐患或者死角等等,会聚焦从产品方面跟地产客户一起来解决用户的痛点。
老板电器对一些用户进行调研,会发现他们不仅仅要满足产品功能,用户还希望能有一些情绪上的满足。所以去年推出了比较一些好的产品,来为用户来创造更好的产品体验。
刘仙哥:“好房子”趋势下,净水行业迎四大新机遇
深圳安吉尔饮水产业集团大客户运营部总经理刘仙哥认为,在“好房子”的发展趋势下,净水行业迎来新机遇。净水不仅是饮水问题,更是关乎家庭健康、幸福与舒适的重要生态系统。
他提出四个机会点:第一,净水已进入“全屋净水”时代,它覆盖饮用、洗菜、煮饭、沐浴及电器保护等多方面用水需求,有效提升生活品质,保障用水安全;第二,净水设备应成为智能家居的有机组成部分。通过数字化、可视化工具,让用户实时了解水质、水量等信息。第三,“好房子”强调绿色节能,净水企业需注重技术研发,推出如超一级水效、长寿命滤芯等产品;第四,产品小型化。
刘仙哥表示,公司致力于为房地产增值,包括:深度定制与前期介入,在项目拿地阶段即参与合作,与房企设计、研发及工程部门组成联合工作组,根据楼盘定位定制差异化净水方案;联合营销,将净水产品从成本转化为价值,通过举办健康生活讲座、论坛等活动,借助品牌影响力与领先技术,增强楼盘销售吸引力;推进共建合作。
声明:本文由入驻焦点开放平台的作者撰写,除焦点官方账号外,观点仅代表作者本人,不代表焦点立场。
