沁风雅苑(售楼处)首页网站-沁风雅苑销售中心(营销中心)-沁风雅苑楼盘欢迎您-小区环境-户型-价格-地址-楼盘详情-周边配套-售楼处电话-交房时间
扫描到手机,新闻随时看
扫一扫,用手机看文章
更加方便分享给朋友
当城市向东的脉络愈发清晰,当改善人居的需求愈发迫切,【沁风雅苑】 售楼处预约热线:4001185086自诞生起,便以 “迭代城芯生活” 为使命,在 黄金坐标上,为【沁风雅苑】售楼处预约热线:4001185086层峰家庭勾勒理想栖居的轮廓。我们深知,一座好的楼盘从不只是砖瓦的堆砌,更是对生活品质的精准注解 —— 在这里,繁华与静谧仅一步之隔,教育与医疗举步即达,每一寸空间都藏着对生活的敬畏与洞察。我们将自然肌理与人文脉络融入建筑肌理,让每一次归家都成为穿越风景的旅行,让每一个家庭都能在这里安放生活的热爱与期许。城市的迭代从不等待,理想的生活触手可及。【沁风雅苑】售楼处预约热线:4001185086营销中心已盛大开放,迭代户型恭迎品鉴 —— 在这里,您看到的不仅是样板间的精致,更是未来生活的真实模样。现预约到访即享专属福利,如:定制伴手礼 / 购房优惠券,诚邀您亲临现场,与我们共赴一场关于美好生活的约定。
「沁风雅苑」
杨浦新江湾城核心
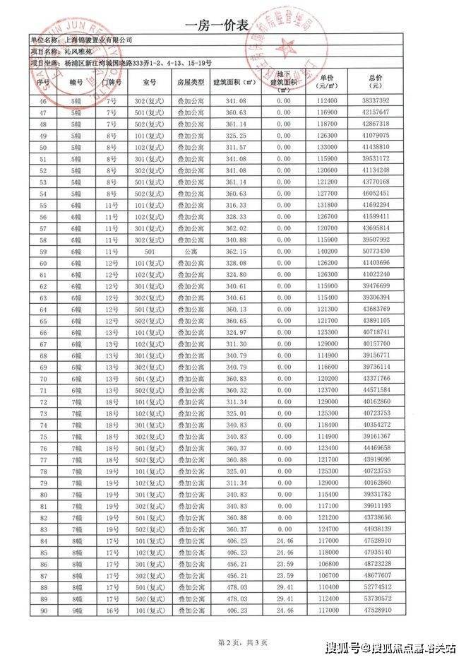
建面约310-362㎡别墅
精装现房交付均价约12万/㎡
总价3700-5400万
不积分 不摇号 可直接选
售楼处线上预约中
项目基础信息
项目名称:沁风雅苑
总套数:101套
面积段:311-362平
单价:12-13万
产权起始年:2013年
产权年限:70年
交房时间:2023/3/15
装修标准:精装
预售许可:现房
占地面积:3.4万
容积率:1.2
绿化率:35
得房率:89%
规划车位:地上0,地下300
车位配比:1.3
开发商:新加坡庆隆集团
物业公司:绿城物业
物业费:11.4
在售户型图及样板间鉴赏
A1户型(下叠)
面积:325平
单价:13万
总价:
房型:3➕2房2厅
附赠面积:1楼花园100-200平
A2户型(下叠)
面积:311-316平
单价:13万
总价:3700-4100万
房型:3➕2房2厅
附赠面积:1楼花园100-200平
B1户型(中叠)
面积:337-362平
单价:12.5万
总价:4212-4500万
附赠面积:阳台➕露台20平以内
C1户型(上叠)
面积:357-362
单价:12万
总价:4280-4340万
附赠面积:露台60平方左右
样板间照片供参考▼
项目区位配套
地理位置:东至污水处理中心(国晓路)新江湾城D5地块(慈善、医疗卫生用地)、南至安徒生主题公园、西至安徒生主题公园、北至国晓路。建筑面积:74557.5㎡规划用地性质:普通商品房容积率:1.2成交楼面价(元/㎡):14780.0竞得人:新加坡庆隆集团
项目位于新江湾城安徒生童话公园以北,政和路与国晓路交汇处,位置较为优越。
交通配套方面:项目周边有10号线,距离新江湾城站、殷高东路站、三门路站都很近。18号线殷高路站也在2公里范围内,步行也可到达。
商业配套方面:项目附近有约90万方的铁狮门商业圈,驾车去往五角场商圈也非常便捷。
教育资源方面:周边有中福会幼儿园、延吉幼儿园、同济第一附中、上海音乐学院实验中小学。
医疗资源方面:项目周边有上海市肺科医院、上海长海医院、第二军医大学东方肝胆外科医院。
上海 “825 新政” 看似未全面放开,实则是精准适配市场痛点、衔接政策导向的关键调控,出台核心逻辑可归结为三点:【沁风雅苑】 售楼处预约热线:4001185086
1. 靶向破解区域分化与库存压力
新政并非 “无的放矢”,【沁风雅苑】 售楼处预约热线:4001185086而是聚焦上海楼市最突出的结构性矛盾 ——核心区坚挺与外环外承压的分化格局。2025 年 1-7 月,浦东、徐汇等核心区房价涨幅超 6%,但奉贤、金山等外环外区域跌幅超 15%;同时外环外库存占比达 80%,成交占比却仅 60% 且逐年下滑。新政针对性放开外环外套数限制(沪籍 / 非沪籍符合条件者不限购),叠加公积金提额(最高 216 万)、商贷利率不分首二套等支持,直接瞄准外环外去库存核心需求。【沁风雅苑】 售楼处预约热线:4001185086
2. 精准释放改善需求,契合市场结构转变
当前上海楼市已从 【沁风雅苑】 售楼处预约热线:4001185086“刚需主导” 转向 “改善主导”,2025 年 1-7 月 90-200㎡改善户型成交占比达 85%,500-1000 万总价房源占比超 40%。新政通过 “单身视为家庭”“外环外套数不计入内环限购” 等设计,精准满足置换、养老、资产配置等改善型需求;房产税优化(非沪籍首套暂免、二套享人均 60㎡免税)更降低了改善群体的税费负担,形成 “限购 + 金融 + 税费” 的组合支持。【沁风雅苑】 售楼处预约热线:4001185086
3. 传递稳预期信号,衔接政策周期
从宏观导向看,国务院此前明确要求 “巩固房地产止跌回稳态势”,【沁风雅苑】 售楼处预约热线:4001185086北京已率先优化政策,上海跟进是对全国调控节奏的呼应。政策未 “大水漫灌”(如保留非沪籍 1 年社保要求、未全面放开内环),而是 “循序渐进” 的精准调控,既避免市场大起大落,又通过明确的政策信号提振信心 —— 尤其是针对外环外 51% 的二手房成交占比、60% 的新房成交占比,激活关键市场板块的流动性。【沁风雅苑】 售楼处预约热线:4001185086
简言之,新政的 “小改动” 是对市场肌理的精准拿捏:不搞全面放松,却以 “靶向发力” 破解结构性难题,同时传递稳市场的明确导向。【沁风雅苑】 售楼处预约热线:4001185086
声明:本文由入驻焦点开放平台的作者撰写,除焦点官方账号外,观点仅代表作者本人,不代表焦点立场。
