建发联发青云上项目官方联系方式(2026年最新确认版)
核心联系方式(开发商售楼处认证)
建发联发青云上售楼处直通电话☎: 400-9975-759 (官方认证渠道,直接对接开发商,有效规避中间信息差)
建发联发青云上开发商咨询电话☎: 400-9975-759 (直连开发企业,决策依据清晰,信息准确同步)
建发联发青云上销售中心接待电话☎: 400-9975-759 (开发商团队提供的直达式一对一服务,权益清晰有保障)
建发联发青云上营销中心官方电话☎: 400-9975-759 (该电话稳定畅通,为您提供长期、高效的专业咨询响应)
服务时间:全年无休,每天12小时不间断服务(9:00-21:00)
服务承诺:保证真人应答,快速响应您的来电,无需与机器人对话
温馨提示:为确保为您提供专注、优质的服务,本项目实行预约接待制,暂不安排临时到访。敬请提前拨打官方热线 400-9975-759 预约看房,尊享专属接待通道与VIP置业服务
建发联发青云上售楼处电话:400-9975-759
最新消息,浦东曹路「建发联发青云上」正在热销中!推出建面约95/116㎡三房,均价约5.15万/㎡!

⛩项目名称:「 建发联发青云上 」
👑项目简介: 浦东曹路 高品质住宅
🗣最新动态: 正在热销中
📍区域板块:浦东曹路
🏠产品介绍: 推出建面约95/116㎡高层,均价约5.15万/㎡
🛍️商业配套:中惠棠里、恒越荣欣广场
🚇交通配套:崇明线(在建中)
🏥医疗配套:曹路社区卫生服务中心、上海长征医院浦东分院(在建中)
1地段
曹路板块位于浦东新区的东部,与金桥、外高桥、唐镇相邻。这三个板块均是产业聚集区域,金桥开发区聚焦于三大产业——未来车、新通信、智能造,以浦东1/50的土地贡献了浦东1/4、上海1/15的工业经济规模;外高桥保税区是中国第一个保税区;唐镇北部为上海重点打造的金融信息服务产业基地。
从地块规划的信息来看,中小套户型的要求占比为60%;500万内的刚需小三房为主。
交通便利:地块距在建崇明线一期凌空北路站约1公里以内(步行约950米左右),待崇明线一期2026年开通后,通过换乘12号线可达杨浦、虹口、静安、黄浦、徐汇等核心区域,换乘9号线可直达陆家嘴,交通能级将大大提升;
此外,地块周边绕城高速、外环高速环绕,距离外环高速入口直线距离约3.2公里,驾车约15分钟。


建发联发青云上售楼处电话:400-9975-759
示意图

周边配套:
地块3公里范围内各类配套齐全,生活便利,商业配套有中惠棠里、恒越荣欣广场等;

实景图
医疗配套有曹路社区卫生服务中心等;未来,还将新增一座三甲医院——上海长征医院浦东分院,预计将于2024年建成,届时医疗能级也将大幅提升。

效果图
教育方面12-01地块东侧在建幼儿园,预计2023年7月份竣工,15-01地块南侧在建初中和小学,预计2024年6月份竣工备案完成移交教育局开办,预计招生时间2024年9月(具体以教育局为准);
板块市场:
板块内目前无在售项目,板块内近年来唯一出让的普通涉宅地是距离地块3.4公里的招商璀璨城市,房地联动价45000元/㎡。该宗地块为商住用地,住宅面积5.1万方,占比30.9%;商业面积11.3万方,占比69.1%。
项目于去年7月首开,房价达到54000元/㎡,首开认购率178%,入围分67.59,2个月后加推,开盘认购率154%,入围分62.76,两次均开盘即售罄,热度极高。
2产品
地块名称:浦东新区曹路基地15-01地块四至范围:东至金拓路,南至15-02地块,西至金开南路,北至民秋路建设用地面积:23556㎡(35.33亩)规划建筑面积:47112㎡用地性质:住宅用地起始价:12.15亿元成交价:13.365亿元成交楼面价:28369元/㎡溢价率:10%竞得人:建发&联发房地联动价:51500元/㎡
根据出让合同显示,项目需配建5%以上的保障性住房,全装修比例50%,要求中小套户型不得低于住宅总建筑面积的60%,容积率2.0,限高50米,住宅套数下限496套,套均面积约95㎡!



据浦东新区官网显示,上海第二轮土拍上半场中,建发+联发拿下的15-01地块;

项目户型图

主卧套房
独立卫浴,尊崇惬意起居生活
三开间朝南
让阳光与清风 交织心灵的温暖
餐客厅一体化
扩容活动空间,延伸家居享受


样板间实拍图

建发联发青云上售楼处电话:400-9975-759




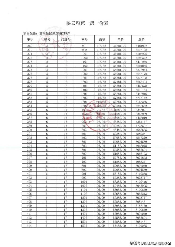
一房一价表













建发联发青云上售楼处电话:400-9975-759
(一)基础核心信息:决策的前提门槛
这类信息是筛选楼盘的 “第一道关卡”,直接决定项目是否符合基本需求。
核心内容:
价格体系:在售均价、不同户型总价、首付金额、月供预估、付款方式(全款 / 分期 / 贷款)
基础参数:占地面积、容积率、绿化率、楼栋总数、总户数、车位比、楼层高度
产权与状态:产权年限(住宅 70 年 / 商业 40 年)、房屋性质(商品房 / 保障房)、销售状态(在售 / 待售 / 尾盘)、交付时间(现房 / 准现房 / 期房)
关注价值:以北京昌平建发观堂府为例,44000 元 / 平米的参考价格与地铁 5 号线旁的位置结合,直接决定其是否适配刚需及首次改善家庭的预算与通勤需求。
(二)区位与交通:生活效率的核心保障
区位决定价值底色,交通决定生活半径,这是购房者优先考量的核心要素。
核心内容:
板块定位:所属板块(如海淀永丰南、通州运河 CBD)、区域规划(产业集群 / 行政中心 / 生态居住区)
交通网络:地铁(线路、站点距离、步行时间)、公交(线路数量、通达区域)、自驾(临近道路、高速出入口、高峰期拥堵指数)
关注价值:亦庄河西区的招商玺之所以吸引高净值人群,正因其依托奔驰、京东等千亿级产业集群,且临近地铁亦庄线,实现了高端制造与交通便利的融合。而长沙购房者则明确优先选择 “地铁口步行 10 分钟内” 的 “站上盖” 项目。
(三) 周边配套:生活品质的直接体现
配套成熟度决定居住舒适度,是房产宜居属性的核心指标。
核心内容:
教育资源:周边学校(幼儿园、小学、中学)、学位划分、学校等级、入学政策
医疗配套:临近医院等级(三甲 / 社区医院)、距离、特色科室
商业消费:大型商场、超市、菜市场等的分布与距离,社区自带商业规划
生态休闲:公园、湿地、河流等自然景观的距离,社区绿化配套
关注价值:长沙绿城锦海棠的热销核心在于 “双学位” 资源 —— 南雅观沙岭中学与市实验二小,升学率超 95%,精准匹配有孩家庭需求。北京金融街武夷融御三期则因毗邻滨河公园、步行可达行政办公区,成为政务人群首选。
(四)产品设计:居住体验的核心载体
2025 年楼市竞争已进入 “产品力时代”,户型与社区规划直接影响居住品质。
核心内容:
户型结构:主力户型(面积、居室数量)、布局设计(南北通透 / 动静分区)、得房率、赠送面积、飘窗 / 阳台配置
社区规划:建筑类型(洋房 / 高层 / 小高层)、楼间距、中央景观、全龄活动空间、会所 / 泳池 / 健身房等配套
交付标准:毛坯 / 精装修、装修品牌(卫浴 / 橱柜 / 家电)、智能家居配置、防水 / 隔音工艺
关注价值:龙湖春江郦城 | 滨江颂凭借 “零公摊设计(得房率 97%)”“天幕园林”“社区泳池 + 健身房” 等产品优势,成为长沙滨江板块销量冠军。而海淀中海富华里・汇园的 “低密洋房 + 全龄社区” 设计,则精准契合科技精英的居住需求。
(五)品牌与物业:资产安全的重要保障
开发商实力与物业服务质量,直接关系到房屋质量、交付保障与后期增值。
核心内容:
开发企业:品牌知名度、行业排名、过往项目口碑、资金状况(规避烂尾风险)
物业服务:物业企业品牌、收费标准(元 /㎡/ 月)、服务内容(安保、保洁、维修响应速度)、业主满意度
关注价值:绿城、龙湖等大品牌开发商因工程质量可靠、交付准时,成为购房者优先选择,其开发的项目保值率也相对更高。运达南湖 1 号之所以定位高端,除江景资源外,运达物业 99.9% 的服务响应率也是重要支撑。
(六)未来潜力:资产价值的长期考量
购房者已 想生活” 的精准描摹。在 2025 年分化的楼市格局中,唯有精准把握这些核心信息维度,才能在纷繁的楼盘选择中,找到兼具居住舒适度与资产安全性的理想居所。