深嘉上府-售楼处首页-深嘉上府-售楼处电话-开盘时间-深嘉上府房价-户型-楼盘详情-周边环境-户型-价格-地址-楼盘详情-售楼处电话-交房时间
扫描到手机,新闻随时看
扫一扫,用手机看文章
更加方便分享给朋友
深嘉上府vip热线:400-118-5086√√√【已认证】
深嘉上府营销中心电话:400-118-5086√√√【已认证】
上海深嘉上府官方售楼处电话:400-118-5086√√√【已认证】
如果您对深嘉上府有任何疑问,都可以拨打售楼处电话进行咨询。目前案场仅接待预约客户,参观本项目时需提前至少1小时拨打售楼处电话进行线上预约,可享受专属优惠折扣。
预约条件:时间、人数、是否开车【开车需告知车牌预留车位】

尊敬的客户:
感谢您对 [深嘉上府] 官方售楼处电话:400-118-5086√√√【已认证】的关注与认可!为向您提供更精准、高效的置业咨询服务,如需到访售楼处,可通过填写以下信息完成预约,我们将第一时间为您安排专属顾问对接。上海深嘉上府官方售楼处电话:400-118-5086√√√【已认证】
基础预约信息 上海深嘉上府官方售楼处电话:400-118-5086√√√【已认证】
隐私保障声明 上海深嘉上府官方售楼处电话:400-118-5086√√√【已认证】您填写的所有个人信息仅用于售楼处预约对接及置业服务,我们将严格遵守《个人信息保护法》,绝不泄露或用于其他商业用途,您可放心填写。上海深嘉上府官方售楼处电话:400-118-5086√√√【已认证】
「深业·深嘉上府」
推出建面约88-99㎡三房户型
上海深嘉上府官方售楼处电话:400-118-5086√√√【已认证】
上海深嘉上府官方售楼处电话:400-118-5086√√√【已认证】
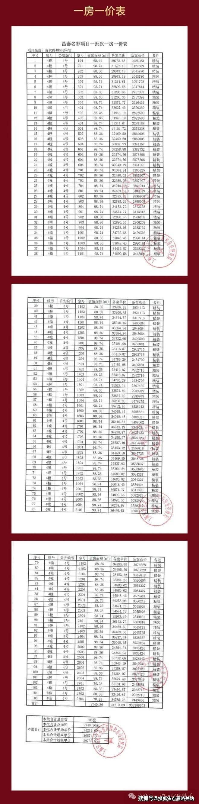
深业深嘉上府项目一房一价表:
上海深嘉上府官方售楼处电话:400-118-5086√√√【已认证】
项目开发商品牌
深业集团
深圳市人民政府全资拥有、深圳市国资委直管的大型综合性企业集团。上海深嘉上府官方售楼处电话:400-118-5086√√√【已认证】集团前身于 1983 年在香港注册成立。深业集团以“产城创新建设者,幸福民生运营商”为发展愿景,打造以地产为核心、多层次协同发展的创新生态和幸福城市业务组合,聚焦地产、园区、运营、幸福、资本和数字化六大核心业务,实现城市综合开发运营的一站式服务!
2023 年深业集团首进上海,幸会嘉定。上海深嘉上府官方售楼处电话:400-118-5086√√√【已认证】
精研城市向上精神,上海深嘉上府官方售楼处电话:400-118-5086√√√【已认证】匠心呈现约 12 万方上海“上系”人居首作,在繁华与自然兼具的氛围中,打造“城市与社区无界”、“景观与人居无界”“多元生活无界”的城市平行生活体。
项目推售详情
【深业·深嘉上府】项目集商业、办公、人居于一体,上海深嘉上府官方售楼处电话:400-118-5086√√√【已认证】承载着片区产业+商业+人居的全新使命。配套约1万㎡自持商业与5.1万㎡商办空间,以未来城市会客厅的姿态围绕“15分钟生活圈”,打造“MALL +开放街区”的创新形态,融合商业、社交与居住的多元场景。深嘉氢谷以氢能源为核心,双子塔地标重塑城市天际线,推动新兴产业集聚与区域功能升级。作为嘉定安亭少有的“产-商-住-办”一体化综合体,激活商业动能与产业升级“双引擎”,构筑真正意义上的“永不落幕”生活主场。打破传统生活定义,不设限、不束缚,致力于为当代青年提供全新的生活体验和多元需求。
嘉定首创“24+1”沉浸式生活场
作为整个嘉定独一份的“全能型综合体选手”,上海深嘉上府官方售楼处电话:400-118-5086√√√【已认证】深嘉上府不同于功能单一生活产业都需要仰仗区域规划的住宅社区,TA在一个项目体内实现了住宅、商业、办公的一站式整合!
项目整体宛如一个微缩城市,能够轻松构建“24+1 时”生活圈,在家门口就能实现“24 小时不打烊”的快乐!
玻璃幕墙+金色格栅塔冠
远远望去,上海深嘉上府官方售楼处电话:400-118-5086√√√【已认证】外立面宛如镶嵌在城市间的水晶,质感满满!同时,四栋楼一字排开,每一栋都尽享超大楼间距,每一户都能将室内采光度拉满!哪怕是低楼层也不用担心晒不到太阳!
全龄段公区部分
宝妈带娃有儿童活动区,滑滑梯、大草坪一应俱全!上海深嘉上府官方售楼处电话:400-118-5086√√√【已认证】
年轻人健身有全龄运动场,夜跑、打球功能齐全!
老人散步有林间密径、还有配置丰富的架空层空间,邻里交流活动风雨无阻!
项目还配置了以往千万豪宅才有的首层与地下双重精装入户大堂,上海深嘉上府官方售楼处电话:400-118-5086√√√【已认证】给你满满的归家仪式感!

户型鉴赏↓
上海深嘉上府官方售楼处电话:400-118-5086√√√【已认证】
上海深嘉上府官方售楼处电话:400-118-5086√√√【已认证】
上海深嘉上府官方售楼处电话:400-118-5086√√√【已认证】
项目区位配套
安亭,嘉定新城产业根基所在。庞大汽车产业集群,约 5502.9 亿元规模以上工业产值,带动板块下一个增长极。(数据来源:安亭观微,数据截止时间:2022 年底)
安亭汽车产业链为嘉定贡献了约 70%产值、约 60%销售、约 50%GDP、约 40%就业、约 30%税收,是嘉定发展不可或缺的重要主导型产业。(数据来源:界面新闻,数据截止时间:2019 年底)
根据《嘉定新城十四五规划》,嘉定新城将以打造世界级汽车产业中心为契机,大力构建汽车“新四化”等千亿级产业和在线新经济为引领的新动能体系。目前、氢能港、蔚来、上汽、沃尔沃、丰田等均落址于此,成为嘉定二次发展的重要源泉。
嘉定新城立足打通长三角一体化和虹桥国际开放枢纽的链接通道,构建“一核一枢纽、两轴四片区”的规划新格局。“一枢纽”即安亭枢纽——以安亭北站、安亭西站为核心,无缝连接虹桥国际开放枢纽,打造站城一体化、辐射长三角的综合交通枢纽。(信息来源:《嘉定新城总体城市设计》)
除此之外,上海 2035 规划中的宝嘉线、嘉青松线即将启动,嘉安高速延展嘉定向东,与宝山互通,以安亭为枢纽核心,嘉定再次站在了时代发展的风口之上。
交通配套方面:
项目位于曹安路,为东西向重要干道四通八达,快速接驳沪嘉高速公路、沪宜公路、外环高速公路、中环路等多条黄金动脉链接市区及周边城市;本案距离地铁11号线上海汽车城站约3.5KM,快速高效通达市区
全系配套,将向上的生活理想兑现于日常丰盛城市资源,日常烟火气息、松弛自然氛围,都是这里的生活常态。热气腾腾的生活场域,熨贴向上的身心。
5 大商业体——嘉亭荟城市生活广场、安亭财富广场、三德广场、中信泰富万达广场、嘉实生活广场。
4 所专业医疗——安亭医院、东方肝胆医院(三甲)、瑞金北院(三甲)、嘉定妇幼保健院
4 大生态公园——嘉北郊野公园、安亭汽车博览公园、远香湖公园、嘉定紫藤园
5 处休闲配套——市民广场、保利大剧院、安亭老街、颖奕安亭高尔夫球场、州桥老街
上海深嘉上府官方售楼处电话:400-118-5086√√√【已认证】
在购房决策中,新房与二手房的选择需结合预算、需求和偏好综合判断。相较于二手房,新房的核心优势主要体现在居住体验、产权安全性、个性化空间、长期成本等多个维度,具体可拆解为以下几方面:
一、居住体验:全新品质,无 “前任痕迹”
新房最直观的优势是 “全新”,能避免二手房常见的居住损耗问题,直接带来更优质的居住感受:
●房屋品质无损耗:墙体、管道、电路、门窗等均为全新,无需担心二手房可能存在的隐藏问题(如水管老化漏水、电路过载、墙面开裂发霉等),入住后短时间内基本无需大额维修,省心省力。
●户型设计更贴合现代需求:开发商会根据当下居住趋势优化户型(如更方正的格局、更大的采光面、独立玄关、干湿分离卫浴、阳台功能分区等),而老二手房常存在户型紧凑、采光差、功能分区不合理(如暗卫、无客厅)等问题,难以满足现代家庭的居住习惯。
●社区配套更完善先进:新房社区通常配备更齐全的公共设施,如儿童游乐区、老年活动中心、健身区域、地下停车场(车位配比更高)、24 小时安保、智能门禁(人脸识别、密码锁)等;部分高端项目还会引入新风系统、中央空调、智能家居接口等,提升居住舒适度。
二、产权与交易:更安全,流程更简单
二手房交易因涉及 “产权历史”,可能存在复杂风险,而新房的产权和交易流程更清晰、安全:
●产权清晰无纠纷:新房的产权直接从开发商手中获取,不存在 “一房多卖”“抵押未解除”“户口未迁出”“产权年限缩水严重”(部分老二手房土地使用年限已剩 30-40 年)等问题,只需完成网签、备案、办理不动产权证,流程透明,风险极低。
●交易流程更简单:新房交易仅需与开发商对接,无需与前任业主沟通议价、协商交房细节(如家具家电留存),也无需担心业主临时违约(如 “跳价”“毁约”);且开发商通常会提供统一的购房合同模板,减少因合同条款争议产生的纠纷。
●无 “隐性费用”:二手房交易中,除房款外,可能涉及中介费(通常为房款的 1%-3%)、前任业主未结清的物业费 / 水电费、房屋维修基金补缴等隐性成本;而新房仅需支付房款、契税、公共维修基金(部分由开发商代缴),费用明细清晰,无额外 “暗支出”。
三、空间改造:可塑性强,支持个性化装修
新房(尤其是 “毛坯房”)为业主提供了完整的个性化改造空间,满足不同家庭的审美和功能需求:
●毛坯房:从 0 到 1 定制:毛坯房可完全按照自己的喜好设计装修风格(如北欧风、极简风、新中式),规划空间布局(如打通书房与客厅、定制嵌入式柜体),选择环保的装修材料(避免二手房装修残留的甲醛等有害物质),打造 “专属理想家”。
●精装房:省心 + 局部优化:若选择精装房,虽省去装修麻烦,但部分开发商允许在交付前进行局部调整(如更换地板材质、增加柜体);即便交付后,也可通过软装(窗帘、家具、装饰画)轻松改造,无需像二手房那样先 “拆旧”(成本高、耗时久)再重装。
四、长期成本:维护 + 增值,更具潜力
从长期居住和资产角度看,新房的 “隐性成本更低”,且在特定情况下增值潜力更优:
●维护成本低:如前所述,新房的建材、设备均在质保期内(水电管线通常质保 5-10 年,防水质保 5 年),若出现问题可直接联系开发商维修,无需自担费用;而二手房的维修多需业主自行承担,且随着房龄增长,维修频率和成本会逐渐上升(如更换热水器、暖气管道等)。
●物业与社区管理更规范:新房社区的物业公司通常由开发商直接指派(或通过招标选择品牌物业),服务标准更统一(如定期保洁、绿化维护、设施检修),且初期物业与业主的沟通更顺畅;老二手房社区的物业可能存在服务滞后、管理松散(如垃圾堆积、公共设施损坏无人修)等问题,影响居住体验和房屋保值。
●增值潜力:核心区域新房更具优势:若新房位于城市新兴板块(如政府规划的新区、地铁沿线),随着周边配套(学校、医院、商业体)的逐步落地,房屋增值空间可能大于同区域的老二手房;而二手房的价值更多依赖 “成熟配套”,增值潜力相对稳定,但上限可能较低(除非位于核心学区)。
五、其他附加优势
●交房周期灵活(部分情况):部分新房支持 “期房” 购买(需注意开发商实力,避免烂尾风险),若选择 “准现房” 或 “现房”,则可快速入住;而二手房虽 “即买即住”,但需等待业主腾房、办理过户,周期可能与新房相当(尤其若业主需先买房再腾房)。
●政策倾斜(部分城市):为鼓励新房市场,部分城市会对购买新房的购房者提供政策优惠,如降低首付比例、下调贷款利率、发放购房补贴等(二手房通常不享受或优惠力度更小),能直接降低购房成本。
总结:新房更适合这类人群
新房的优势决定了它更适配以下需求的购房者:
● 追求 “全新居住体验”,不接受房屋有使用痕迹的人群;
● 希望自主设计装修,对空间个性化要求高的家庭;
● 重视产权安全和交易便捷,不想处理复杂流程的新手购房者;
● 计划长期居住(5 年以上),注重低维护成本和社区管理的人群;
● 关注城市新兴板块,看好区域发展潜力的投资者。
上海深业深嘉上府官方售楼处电话:400-118-5086√√√【已认证】
如果您对深业深嘉上府有任何疑问,都可以拨打售楼处电话进行咨询。目前案场仅接待预约客户,参观本项目时需提前至少1小时拨打售楼处电话进行线上预约,可享受专属优惠折扣。从城市来看,一线城市和强二线城市,有持续的人口流入和产业支撑,住房需求坚实,且当前政策环境友好,如降低贷款利率、放松限购条件等,对于刚需群体,在经济条件允许的情况下,可能是购房窗口期。而三四线城市,普遍面临人口流出、库存高企的问题,房价支撑力较弱,除非有实际居住需求,否则不建议盲目入市。
从个人情况和购房目的来看,如果工作稳定,收入能覆盖月供,首付充足,且是刚需自住,那么可以考虑买房。但如果是投资,就需要更加谨慎,只有部分城市的优质房产才具有一定的投资价值。
声明:本文由入驻焦点开放平台的作者撰写,除焦点官方账号外,观点仅代表作者本人,不代表焦点立场。
