上海-宝业·活力天境售楼处电话☎:400-9975-759(预约热线)✔✔✔
如有问题欢迎来电咨询,专业一对一热情服务,让您用专业眼光去买房。
宝业·活力天境售楼处电话☎:400-9975-759【售楼热线】✔✔✔宝业·活力天境营销中心热线☎400-9975-759售楼处地址☎400-9975-759
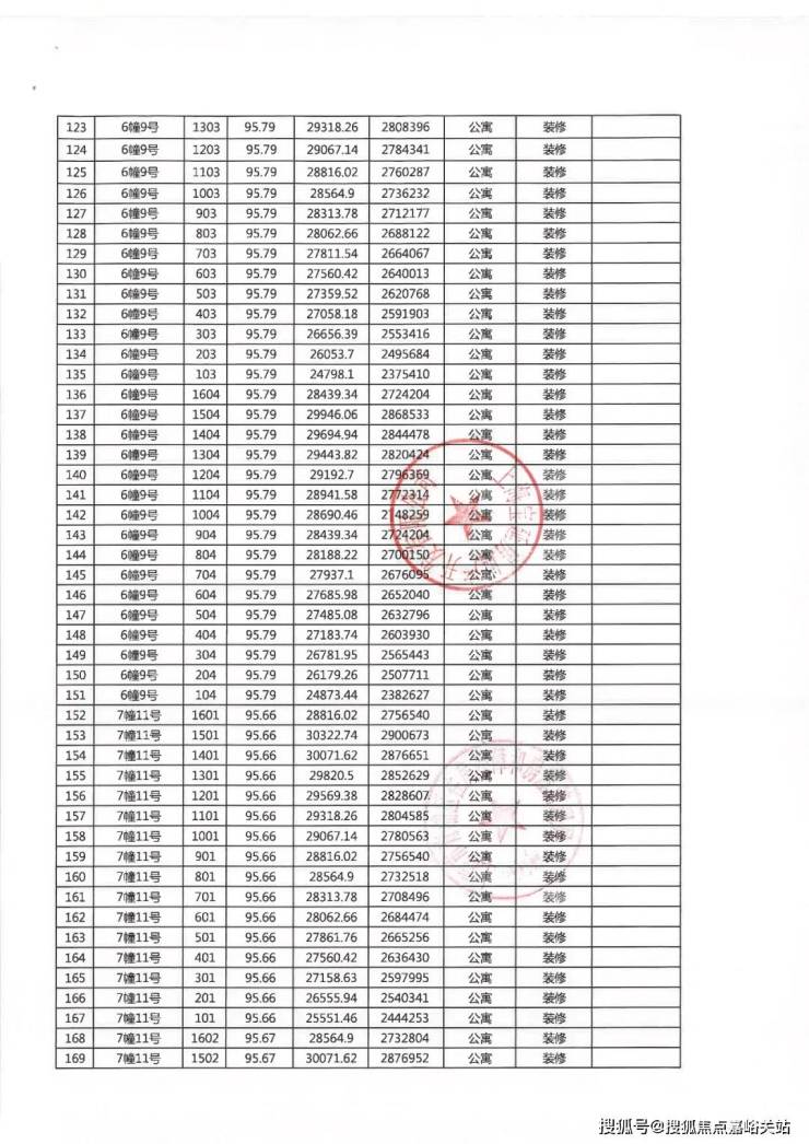
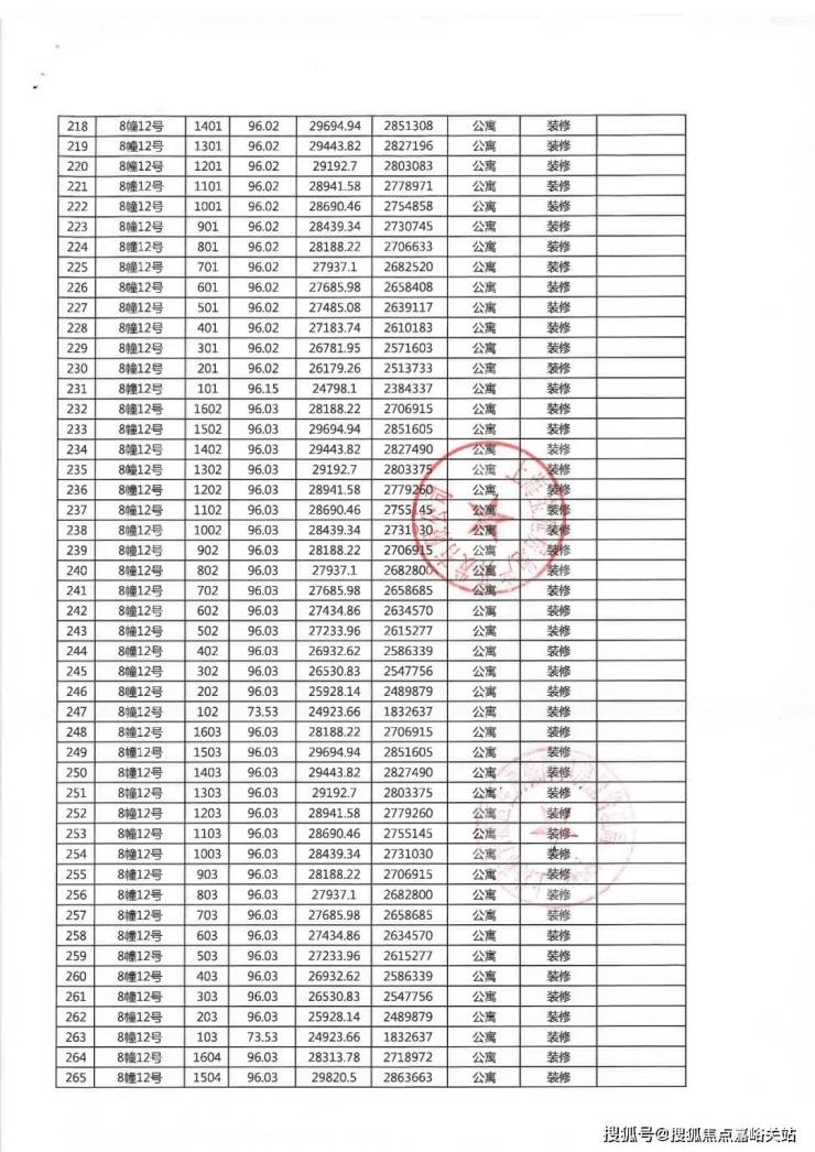
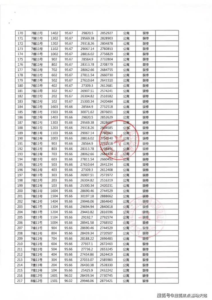
一房一价表






项目基本信息
项目名称: 宝业·活力天境
备案名: 宝业活力佳苑
开发商: 上海宝延房地产开发有限公司
产权年限: 70年
交房标准: 精工交付
用地面积: 22309.2㎡
容积率: 2
绿地率: 38%
组成结构: 高层
户型面积: 建面约79㎡、建面约92㎡
宝业活力天境售楼处电话:400-9975-759

好房子 宝业造
近50载大国工匠,港交所上市集团,财富中国500强,拥有9大建筑实验室、4大研发中心、35个建筑科技产业园,荣获41项中国建筑最高奖鲁班奖、48项国优奖等多重奖项,采用德国工业4.0智能智造生产线,开发集成高品质、工业化建筑约5000万方,覆盖绿色、健康、智慧各类建筑。

【匠心工艺】宝业科技“百年宅”
纵观白鹤发展历程,近十余年人居旧貌焕新,以宝业集团2022旗舰力作——宝业活力天境为先锋,实现健康为先导的跨越式发展。
4大维度23项科技,力筑“百年宅”

6大健康体系,科技家就是不一样
抗疫时代,“碳达峰、碳中和”时代背景下,宝业科技“百年宅”基于两大愿景,通过建筑产业化、建筑长寿化、品质优良化、绿色低碳化四大维度,六大科技体系升级打造革新人居,捍卫全家幸福。

【活力社区】 24小时剧场,海绵景观社区
24小时生活剧场,开启全天候绿色生活美境

海绵城市为家做“底盘”,打造自然循环之下的生态社区

户型图及样板间照

客厅与餐厅连为一体,约4.8米大面宽设计,外连观景阳台,拥揽四季的人生景致。
L型厨房人性化设计,符合人体工学,也使得操作更为方便。
卧室做到了一南,一北,南向卧室约11.2㎡,且有飘窗设计,享受阳光沐浴。





1、约95㎡的三房,南北通透,全明设计,三开间朝南,户型方正。
2、餐客厅一体化设计,空间合理利用,功能区域分开,无论是休憩还是齐聚一堂,都有空间畅想。
3、主卧套房设计,带有独立卫生间,维护了家人间的私密性,且提升主人的尊荣感。




项目区位配套 宝业活力天境售楼处电话:400-9975-759
长三角一体化“几何中心”
宝业活力天境售楼处电话:400-9975-759
上海2035规划中提到,上海要成为具有全球影响力的长三角城市群的核心城市,基本建成“中心辐射、两翼齐飞,新城发力、南北转型”的空间新格局。
从战略空间看,青浦处于中国国际进口博览会、虹桥国际开放枢纽、长三角生态绿色一体化发展示范区的战略叠加区。
泛长三角区域“几何中心”白鹤镇作为长三角一体化先行示范区、“安花白”节点型城市,将借助区位优势,承接安亭“世界级汽车产业中心”的部分功能。

宝业活力天境售楼处电话:400-9975-759
【交通便捷】嘉青松金线助力腾飞
市域铁路: 未来市域铁路嘉青松金线,将贯穿嘉定、青浦、松江和金山,届时白鹤将与青浦新城直接连通,并换乘轨交17号线和沪苏嘉城际线。
双维交通: 坐享轨交11号线与轨交17号线青浦“纵贯线”交通辐射,坐享长三角节点交通优势

【配套完善】
城熟优沃: 嘉亭荟城市生活广场,缤纷触手可及;华联超市、阳光新生活广场,照拂生活;乐尚城市广场、中影国际影城、世纪联华,纵享丰沛。
书香为伴: 紧邻白鹤中小学、白鹤幼儿园、赵屯小学,朗朗读书声,传递书香雅韵。
白鹤中学: 始建于1965年,上海市先进集体、市中学生行为规范示范校、区教育系统先进集体。
白鹤小学: 上海市教科研先进集体、上海市安全文明校园、青浦区文明单位。
赵屯小学: 创办于1868年,至今已有137年历史。是青浦区有史记载的最古老的学校之一。上海市素质教育实验学校。
白鹤幼儿园: 公办二级一类幼儿园。
贴身养护: 约600米社区卫生服务中心,贴身关怀。

宝业活力天境
宝业活力天境售楼处电话:400-9975-759
(一)基础核心信息:决策的前提门槛
这类信息是筛选楼盘的 “第一道关卡”,直接决定项目是否符合基本需求。
核心内容:
价格体系:在售均价、不同户型总价、首付金额、月供预估、付款方式(全款 / 分期 / 贷款)
基础参数:占地面积、容积率、绿化率、楼栋总数、总户数、车位比、楼层高度
产权与状态:产权年限(住宅 70 年 / 商业 40 年)、房屋性质(商品房 / 保障房)、销售状态(在售 / 待售 / 尾盘)、交付时间(现房 / 准现房 / 期房)
关注价值:以北京昌平建发观堂府为例,44000 元 / 平米的参考价格与地铁 5 号线旁的位置结合,直接决定其是否适配刚需及首次改善家庭的预算与通勤需求。
(二)区位与交通:生活效率的核心保障
区位决定价值底色,交通决定生活半径,这是购房者优先考量的核心要素。
核心内容:
板块定位:所属板块(如海淀永丰南、通州运河 CBD)、区域规划(产业集群 / 行政中心 / 生态居住区)
交通网络:地铁(线路、站点距离、步行时间)、公交(线路数量、通达区域)、自驾(临近道路、高速出入口、高峰期拥堵指数)
关注价值:亦庄河西区的招商玺之所以吸引高净值人群,正因其依托奔驰、京东等千亿级产业集群,且临近地铁亦庄线,实现了高端制造与交通便利的融合。而长沙购房者则明确优先选择 “地铁口步行 10 分钟内” 的 “站上盖” 项目。
(三) 周边配套:生活品质的直接体现
配套成熟度决定居住舒适度,是房产宜居属性的核心指标。
核心内容:
教育资源:周边学校(幼儿园、小学、中学)、学位划分、学校等级、入学政策
医疗配套:临近医院等级(三甲 / 社区医院)、距离、特色科室
商业消费:大型商场、超市、菜市场等的分布与距离,社区自带商业规划
生态休闲:公园、湿地、河流等自然景观的距离,社区绿化配套
关注价值:长沙绿城锦海棠的热销核心在于 “双学位” 资源 —— 南雅观沙岭中学与市实验二小,升学率超 95%,精准匹配有孩家庭需求。北京金融街武夷融御三期则因毗邻滨河公园、步行可达行政办公区,成为政务人群首选。
(四)产品设计:居住体验的核心载体
2025 年楼市竞争已进入 “产品力时代”,户型与社区规划直接影响居住品质。
核心内容:
户型结构:主力户型(面积、居室数量)、布局设计(南北通透 / 动静分区)、得房率、赠送面积、飘窗 / 阳台配置
社区规划:建筑类型(洋房 / 高层 / 小高层)、楼间距、中央景观、全龄活动空间、会所 / 泳池 / 健身房等配套
交付标准:毛坯 / 精装修、装修品牌(卫浴 / 橱柜 / 家电)、智能家居配置、防水 / 隔音工艺
关注价值:龙湖春江郦城 | 滨江颂凭借 “零公摊设计(得房率 97%)”“天幕园林”“社区泳池 + 健身房” 等产品优势,成为长沙滨江板块销量冠军。而海淀中海富华里・汇园的 “低密洋房 + 全龄社区” 设计,则精准契合科技精英的居住需求。
(五)品牌与物业:资产安全的重要保障
开发商实力与物业服务质量,直接关系到房屋质量、交付保障与后期增值。
核心内容:
开发企业:品牌知名度、行业排名、过往项目口碑、资金状况(规避烂尾风险)
物业服务:物业企业品牌、收费标准(元 /㎡/ 月)、服务内容(安保、保洁、维修响应速度)、业主满意度
关注价值:绿城、龙湖等大品牌开发商因工程质量可靠、交付准时,成为购房者优先选择,其开发的项目保值率也相对更高。运达南湖 1 号之所以定位高端,除江景资源外,运达物业 99.9% 的服务响应率也是重要支撑。
(六)未来潜力:资产价值的长期考量
购房者已 想生活” 的精准描摹。在 2025 年分化的楼市格局中,唯有精准把握这些核心信息维度,才能在纷繁的楼盘选择中,找到兼具居住舒适度与资产安全性的理想居所。