聚焦|海上清和玺售楼处发布:海上清和玺以品质铸就传奇!
扫描到手机,新闻随时看
扫一扫,用手机看文章
更加方便分享给朋友
徐汇滨江的楼市,一直都是上海高净值购房者关注的重点。
去年8月份,徐汇滨江原小米地块以30%溢价率触顶成交,折合楼板价约13.1万,轰破时隔八年的全国地王记录!业内预测最终售价可能会超过18万+!
随后上海土地推介会中,徐汇滨江龙华西路334弄地块,也受到了广泛的关注。据了解,该地块此前一套51㎡的房源,最终到手742万,收储成本折合约14.2万/㎡!(以上数据来源上海土地市场)
沪徐协示(2025)第1号协议出让公示东安新村首幅住宅用地,徐汇区C030301单元127b-23地块协议出让给上海新枫安企业发展有限公司(上海地产集团),出让价格为83.5亿,折合楼板价12.6万元/㎡。扣除公共设施后,东安新村的可售楼板价接近13.3万元/㎡。
东安新村旧改片区——徐汇区C030301单元127b-24、125-31地块协议出让。预计未来售价将达到20万/㎡,买进徐汇的门槛持续拉高!
除了土拍方面,徐汇滨江的新房也是被受追捧。
徐汇滨江某新房加推开盘,连续触发积分,最高认购率约295%!
不仅如此,徐汇滨江的云锦东方还是全上海为数不多的满分楼盘,最高认购率约903%!

实景图,仅供示意
地王!日光盘!满分盘!为什么总是徐汇滨江?
一切的一切都源于地段本身,作为上海最具活力和魅力的区域之一,徐汇滨江早已跻身顶流豪宅区,凝聚着上海极尽松弛的现代生活方式。
而且得益于整体开发以及高能级城市资源荟萃的优势,徐汇滨江城市界面更加崭新,圈层更加纯粹,居住氛围更偏向年轻化!

实景图,仅供示意
不过随着开发节奏的逐渐饱和,徐汇滨江也有部分“美中不足”。
首先就是上车门槛,据了解目前徐汇滨江新房最低的上车门槛都是2500万+,二手房成交价更是高达18万+!
再者就是社区规模,无论是小米地王、还是龙华地块,土地规模均不超过2万方,而且从徐汇滨江的开发节奏来看,未来同样很难有成规模的小区入市。
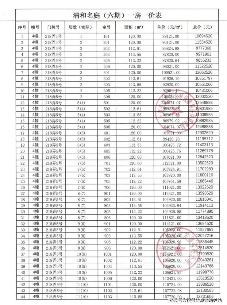
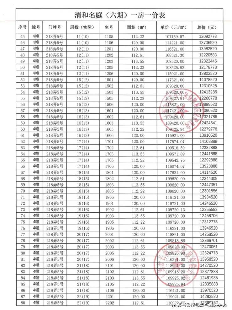
可以说从去年以来,徐汇一直是整个上海的地王宠儿。肉眼可见徐汇入住的成本也必将受到影响,水涨船高!现在占一席少一席!徐汇热售新盘海上·清和玺,五开五捷,整盘均价约11.5万/㎡,少量瞰景高区房源火爆热销中。
海上·清和玺位于徐汇区长桥街道,东至龙川路,南至罗香路,西至长桥路,北至地块边界,临近中环高架!直线距离徐汇滨江约800米!
上海又一现象级热销红盘问世,徐汇滨江海上·清和玺开盘圆满举办!首开实现100%去化,圆满清盘!
滨江之上,热度始终引领。自海上·清和玺去年8月面市以来,频频热力引动吸粉丝无数,累计近万组客户来访。此次首次开盘,呈现出清和玺超高的认购率,如此热销的数字背后,更是源于对新玺品质的认可和青睐。
现在全面取消了联动价,由开发企业自主定价,地价上涨,房价上涨是必然。
土拍热度蔓延到整个中环沿线,一片涨势四起。位于浦东内中环的新杨思项目,业内预判至少单价在12万+;中环大宁板块项目,据传预计单价也在16万+。上海市区热势难减,沿中环线一眼望去价格涨势令人咋舌。
能够千万级入住徐汇的机会未来将会越来越少,海上·清和玺是当下徐汇千万级稀缺供应,五开五捷热盘!更是徐汇很长一段时间内,居住舒适度的上佳之选。











177㎡艺术贵雅奢邸是海上·清和玺压轴力作,延续玺系经典的设计理念和思路,阔朗的四面大开间设计,客厅做到了大横厅设计,延续了曲面流体的阳台,并赠送了独具特色的阳台迷你花园。
整体动线依然选用了动静分离的高效率归家生活设计,双套房设计,保证家人居住的私密性,将用户居住的体验细节做到了更细微的层次。
前所未及的超大尺度,结合曲面的艺术设计,使得整个室内的居住品质得到了质的飞跃!功能区的设计也充满了人本的细节设计和思考,阔朗的超大厨房设计,定制岛台,升降式插座,实现大家族式的社交式烹饪。
作为徐汇滨江为数不多的超大规模社区,招商在海上·清和玺上的用心也是诚意满满。从产品来看,项目延续招商顶级产品系“玺”系产品力基因,而且在汲取徐汇滨江高净值业主对于前者的建议,迭新了多项更人性化的细节,让新一代定制级“玺”系的海派品质再度升级!

效果示意图,仅供参考
海上·清和玺产品在打造过程中,深入解读了徐汇地脉价值,既承袭了徐汇梧桐区的丰富文化底蕴,又与滨江带的现代生活方式相契合。用定制级“玺”系产品体现了对城市精神的尊重,这一尊重体现在每一处精心设计的细节之中。
比如,充满武康大楼元素风格的武康印象、参考徐汇公学建筑制式的会所入口、参考西岸美术馆设计的西岸艺廊……

示意图,仅供参考
建筑方面,海上·清和玺采用独特的香槟金色格栅塔冠及壁柱,以香槟金与白色调搭配,形成“金镶玉”的立面造型,充分以“玺系”的品质结合在地文化海派以及人群品质需求。大面积的玻璃与精致的层间金属飘板相结合,营造出公建化的立面视觉效果,既保证了通透性,温润雅致且历久弥新。
在基座设计上,使用大面积石材配合艺术玻璃及古铜色金属窗框,辅以奢石和艺术元素进行点缀,以此打造极致的归家体验。

效果示意图,仅供参考
项目特别定制了中央景观轴线,通过水景与植被的连贯布局,形成了整体的景观效果。整条景观轴上设有双下沉式庭院,以此增强社区的精致感和层次感。
同时,项目还配备了西岸艺廊,并且社区内景观完美链接,确保业主在晴雨天气中均能保持从容自如的归家体验。

示意图,仅供参考
1、2000平超配会所,全实景开放展示!在海上·清和玺,招商蛇口首次提出“垂直会所体系”的空间布局设计,将原本扁平式的功能布局以立体的方式重新构建,实现复合空间的多元利用。
其中会所及架空层总体量约3000㎡,如此大规模的定制,在整个上海高阶产品中同样也是超前列的存在。
约2000㎡会所内含璀璨星空顶泳池、私宴厅、室内高端健身器材(沃特罗伦或同等档次品牌)甚至高尔夫场所(高尔夫尊或同等档次品牌)。
其中,星空顶泳池用纯天然优质石材打磨的罗马柱点缀。这不仅仅是一个活动空间,更是一个艺术的门庭,让业主足不出户尽享法式惬意优雅。
区实拍图
2、约1000平主题架空层,作为业主生活的延伸。海上·清和玺部分楼栋还为业主定制了1000平架空层、七大主题!其中包含艺术品鉴、社交娱乐、品茗阅读、亲子互动、儿童娱乐等全覆盖。其中阅读主题“龙门书院”、儿童娱乐架空层已部分实景呈现。
3、全域风雨连廊,顶豪级的归家居住体验!海上·清和玺将风雨连廊扩容为一个完整的归家体系,将整个社区以约500米全域连廊体系贯通,真正做到全住宅楼栋无风雨归家。
4、殿堂级车库,领创中央车站!地上空间的美学感受随着车行归家动线也延伸到了地下,海上清和玺的地下车库,不仅精装交付,还首次提出“中央车站”概念。
作为地下的驱车通道,本身也是整个空间的枢纽平台,连通海派会所、地下庭院,高效抵达的同时,保证了业主的私密性,营造独一份的尊崇体验。
此外,海上·清和玺将奢宅的功能充分融入空间思考,留有专属的访客车位,私人司机休憩室、VIP业主洗车等。在场域设计中,空间展开成星级酒店式、可社交的中央场所,访客和业主可实现无界的会所观赏和交互。
展示区实拍图
“中央车站”的出现,打破了原有车行通道的理念,让空间更像一个可以短暂停留的开放式空间。
5、超50米的气派门庭,焕新徐汇归家仪式感的尺度。
展示区实拍图
6、社区含“奢材”量很高。门庭延街的外立面,以精工定制弧形米色石材为主调,镶嵌典藏级老虎玉大理石,点缀古铜色现代海派艺术感灯器,整体呈现出百年海派的贵雅气质。
展示区实拍图
在门庭的环岛空间,景墙面采用中轴对称的设计布局,定制了奢石镶嵌装饰,将曲面艺术与经典石器之美圆融交融。
展示区实拍图
预接待厅地面瓷砖采用威尼斯白与爵士白石材拼花设计,纯人工铺装保证花纹的奢华质感。甚至壁面装饰的水晶灯,都选用高规格的E9级进口水晶制作。

展示区实拍图

7、海上·清和玺的空间不是简单的功能间,而是化身艺术空间。在酒店式归家环岛中心,海上·清和玺原创了艺术装置——海派漩心。首创经典山茶花图腾设计,其灵感源于海派建筑中的山茶花图腾,其采用了300余枚鳞片定制,超过2000次折叠锻造,最终才营造出眼前这般美轮美奂的冰裂纹视觉图样。
展示区实拍图
8、不仅是金钱上的奢侈,更是时间广度的奢侈。比如,整个下沉式庭院材料选用土耳其进口老虎玉,由匠人耗时60天手工打磨定制,可见海上·清和玺对业主归家仪式感设计的用心与苛求。海派光厅之外的归家迎宾树木更是由设计师辗转多个城市才寻到的、树龄超60年的福木“紫薇”。
展示区实拍图
在物业服务方面,海上·清和玺项目同样不遗余力。
项目为业主定制“8S”玺系尊崇物业服务,与最近大火“交房即交证”的虹玺享受同级别物业,礼宾安防、金玺管家、倾心五感、智慧服务、应急服务、特色服务、圈层服务、定制服务以更具品质的服务渗透在无数个细节和洞察中,确保业主的生活品质。

示意图,仅供参考
另外,海上·清和玺还有精装地库、地上/地下双入户大堂等豪宅标配全部呈现。
不仅如此,项目更是在地下融入了硬件设施与软性服务的双重魅力,局部楼层具备地下采光,即使在车库也能感受到温暖的阳光照耀,同时配备的洗车空间,让每一次归家都更加便捷与舒心。

温故至新,时间深处,静水流深的徐汇精神正绵延延续。近日,“徐汇长桥项目”正式发布案名为「海上·清和玺」。一次致敬百年徐汇的文脉的全新作品,于此优雅亮相。百年「清和」,至此新生;长桥在地文化的传承与唤醒
徐汇长桥,一段跨越860年的时代往事,由此娓娓道来。海上·清和玺,源自百年「清和」的传承。长桥因桥而名,公元1163年南宋隆兴年间,长桥时名“清和桥”,迄今已有860多年历史,从历史到现在,一座桥见证历史的变迁,记录上海城市巨变的缩影。后因清和桥之南属于华亭县,桥之北属上海县,清和桥横跨两县,民间又称之为“长桥”。这也是长桥港、长桥镇得名的由来。
图片来源于网络

时间潮去,时代潮来,“清和”虽留驻于历史,但“清和”的美好期盼依旧流淌于老徐汇人的心田。楚辞《九思·伤时》中提到“声噭誂兮清和”,“清和”寓意着清静和平,社会升平。正如今天的长桥,岁月静好温润如初。当目光穿越时间,海上清和玺,正是一次百年长桥源址的续写,一次海派在地文化的薪火传承。
海上·清和玺,基于百年长桥在地文化的传承,以海派历史为底蕴,在过于与未来之间,奢享一座城市罕有的文脉资产。
翻阅历史,徐汇始终被时代所铭记。世界各地的文化于此交融,海派文化于此兴盛,艺术、文化、建筑、时尚等多元绽放,展现属于徐汇的荣耀与风采。
百年书香底蕴,这里是城市的文脉殿堂,经典百年名校汇聚于此,如南阳公学(上海交大)、 龙门书院(上海中学)、 徐汇中学(创办于1850年),百年人文教育沉淀,让徐汇一直充斥着人文气息。
实拍图,来源于网络

漫步街巷,时代名人在此留下印记,诉说着徐汇的向往与思忖。从巴金、宋庆龄到赵丹、周璇故居,徐汇百年时光中留存众多名家、达官显贵的历史门牌,一栋栋名家故居背后,是徐汇为人所羡慕的深厚底蕴。
艺术如生活的调剂,总有一刻时光,我们从艺术的空间中寻回生活的真谛。徐汇云集百年海派艺术的启蒙之源,我国首个音乐高等学府上海音乐学院、亚洲第一剧院美琪大戏院、最古老的交响乐团上海交响乐团,以及唱片工业的发源地百代小红楼等,每一席皆在历史留有盛名。
实拍图,来源于网络

建筑源脉生长在徐汇街巷,经典Art deco建筑博览于此。汇集衡山路特色住宅群落,衡复风貌区等,百年Art Deco建筑博览地,无不彰显着徐汇的海派魅力。行走在街头,抬头望去皆是小红书中经典出片的打卡场景。
实拍图,来源于网络

徐汇滨江,时代潮头;汇聚城市的领先势能;从过去到现在。历史在我们脚下,时代在我们眼前。
上海沿江而兴,滨江始终潮头。入主徐汇滨江,是上海人共有的向往。海上·清和玺所处板块,正值徐汇滨江1英里。自上海取消土地联动价后,首个高溢价地王“小米地块”选址徐汇滨江,7家品牌房企竞逐该地块,最终被绿城以总价约48亿元夺得,楼板价13.1万元/平方米,溢价率触及最高限制,达到30%,可见徐汇滨江的市场热度之高。而区别于徐汇滨江北段的置业高门槛,徐汇长桥所处地理位置,承徐汇滨江的发展浪潮,一枝独秀。
徐汇滨江热度之高,是得益于远瞻世界的战略规划,徐汇滨江打造“世界卓越水岸”,规划有百万方规划组团。徐汇滨江迄今已规划六个百万方组团,聚焦⼀港、⼀⾕、⼀城、⼀场、⼀湾、⼀心的六个百万⽅空间布局(⻄岸⾦融城、⻄岸数字⾕、⻄岸数智中心、⻄岸传媒港、⻄岸热⼒秀场和⻄岸⽣命蓝湾),而第七大组团“中央公园”,完美覆盖海上·清和玺所在上海植物园区域,未来将无界链接城市生态资源,促进徐汇滨江与城区无界融合、兑现徐汇滨江的高质量发展。
信息来源于网络

从徐汇开发趋势来看,徐汇向南延伸已成态势。近年来,徐汇作为热门的主城板块,住宅土地供应日渐紧张。随着内徐汇向南延伸,徐汇滨江以绝对实力承接了内徐汇的高单价,而随之南向开发的不断深化,上海南站区域暂无新房供应,而更靠近滨江的长桥板块相较之靠近徐汇腹地的田林、南站板块置业门槛更低,是典型的土地发展红利期。
信息来源于网络

从百年底蕴到滨江规划潮头,站位1英里徐汇滨江的时代宝地,海上·清和玺未来的发展潜力,不容小觑。
交通配套:距离15号线罗秀路站约1.2公里,步行不算近,但是也能接受。
自驾方面,约800米即可上中环,距离龙吴路、上中路隧道、外环直线距离约1公里,距离虹梅南路、沪闵高架路也仅约2公里。因此,不仅是浦西,去浦东也很方便。

商业配套:项目2公里内有凌云壹街坊、百安居、东阔生活广场、规划了北杨人工智能小镇。

教育配套:海上·清和玺除了位居徐汇滨江一英里的板块之上,项目正处在徐汇文教区的核心,名牌高校、重点中学不胜枚举,上海交通大学、华东理工大学、上海音乐学院等落址于此。
优质教育资源密集且近距离地环绕在项目四周,让海上·清和玺的教育配套水准达到了全市少见的程度。

距上海“四校”之首的百年名校——上海中学直线距离仅约320米;距园南中学直线距离约650米,该校近年来中考升学成绩在徐汇区排于前列,连续三年中考区内公办第一;距公办二梯队小学园南小学直线距离约400米,对口初中即为实力不俗的园南中学;距九年一贯制上汇实验学校直线距离约500米,虽为成立于2021的新校,但作为上海中学的“亲孙子”,其影响力早已扩张开来。
而且据悉,附近的长桥第二小学即将被口碑优秀的上海小学合并,由上海小学同一管理,无疑是板块内教育配套的有一次重要升级!

(仅为介绍周边教育资源,不作为开发商对购房人家庭及相关未成年人的入学承诺。入学政策以政府教育主管部门及校方的最新政策为准。)
休闲配套:距离上海植物园直线距离约1.3公里。
声明:本文由入驻焦点开放平台的作者撰写,除焦点官方账号外,观点仅代表作者本人,不代表焦点立场。
