上海-建发联发·青云上售楼处电话☎:400-9975-759(预约热线)✔✔✔
如有问题欢迎来电咨询,专业一对一热情服务,让您用专业眼光去买房。
建发联发·青云上售楼处电话☎:400-9975-759【售楼热线】✔✔✔建发联发·青云上营销中心热线☎400-9975-759售楼处地址☎400-9975-759
建发联发青云上售楼处电话:400-9975-759
最新消息,浦东曹路「建发联发青云上」正在热销中!推出建面约95/116㎡三房,均价约5.15万/㎡!

⛩项目名称:「建发联发青云上」
👑项目简介:浦东曹路 高品质住宅
🗣最新动态:正在热销中
📍区域板块:浦东曹路
🏠产品介绍:推出建面约95/116㎡高层,均价约5.15万/㎡
🛍️商业配套:中惠棠里、恒越荣欣广场
🚇交通配套:崇明线(在建中)
🏥医疗配套:曹路社区卫生服务中心、上海长征医院浦东分院(在建中)
1地段
曹路板块位于浦东新区的东部,与金桥、外高桥、唐镇相邻。这三个板块均是产业聚集区域,金桥开发区聚焦于三大产业——未来车、新通信、智能造,以浦东1/50的土地贡献了浦东1/4、上海1/15的工业经济规模;外高桥保税区是中国第一个保税区;唐镇北部为上海重点打造的金融信息服务产业基地。
从地块规划的信息来看,中小套户型的要求占比为60%;500万内的刚需小三房为主。
交通便利:地块距在建崇明线一期凌空北路站约1公里以内(步行约950米左右),待崇明线一期2026年开通后,通过换乘12号线可达杨浦、虹口、静安、黄浦、徐汇等核心区域,换乘9号线可直达陆家嘴,交通能级将大大提升;
此外,地块周边绕城高速、外环高速环绕,距离外环高速入口直线距离约3.2公里,驾车约15分钟。
建发联发青云上售楼处电话:400-9975-759
示意图
周边配套:
地块3公里范围内各类配套齐全,生活便利,商业配套有中惠棠里、恒越荣欣广场等;
实景图
医疗配套有曹路社区卫生服务中心等;未来,还将新增一座三甲医院——上海长征医院浦东分院,预计将于2024年建成,届时医疗能级也将大幅提升。
建发联发青云上售楼处电话:400-9975-759
效果图
教育方面12-01地块东侧在建幼儿园,预计2023年7月份竣工,15-01地块南侧在建初中和小学,预计2024年6月份竣工备案完成移交教育局开办,预计招生时间2024年9月(具体以教育局为准);
板块市场:
板块内目前无在售项目,板块内近年来唯一出让的普通涉宅地是距离地块3.4公里的招商璀璨城市,房地联动价45000元/㎡。该宗地块为商住用地,住宅面积5.1万方,占比30.9%;商业面积11.3万方,占比69.1%。
项目于去年7月首开,房价达到54000元/㎡,首开认购率178%,入围分67.59,2个月后加推,开盘认购率154%,入围分62.76,两次均开盘即售罄,热度极高。
2产品
地块名称:浦东新区曹路基地15-01地块四至范围:东至金拓路,南至15-02地块,西至金开南路,北至民秋路建设用地面积:23556㎡(35.33亩)规划建筑面积:47112㎡用地性质:住宅用地起始价:12.15亿元成交价:13.365亿元成交楼面价:28369元/㎡溢价率:10%竞得人:建发&联发房地联动价:51500元/㎡
根据出让合同显示,项目需配建5%以上的保障性住房,全装修比例50%,要求中小套户型不得低于住宅总建筑面积的60%,容积率2.0,限高50米,住宅套数下限496套,套均面积约95㎡!



据浦东新区官网显示,上海第二轮土拍上半场中,建发+联发拿下的15-01地块;

项目户型图
建发联发青云上售楼处电话:400-9975-759
主卧套房
独立卫浴,尊崇惬意起居生活
三开间朝南
让阳光与清风 交织心灵的温暖
餐客厅一体化
扩容活动空间,延伸家居享受
样板间实拍图

建发联发青云上售楼处电话:400-9975-759



建发联发青云上售楼处电话:400-9975-759

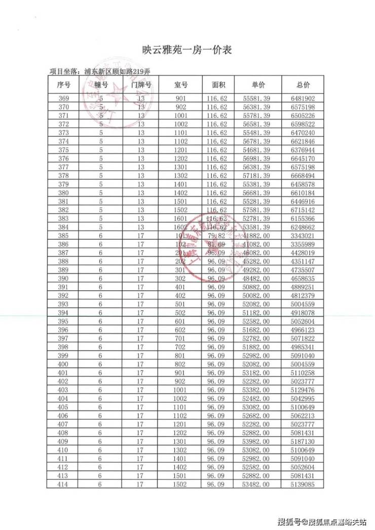
一房一价表




建发联发青云上售楼处电话:400-9975-759





建发联发青云上售楼处电话:400-9975-759




建发联发青云上售楼处电话:400-9975-759
(一)政策与市场
这类.是购房者判断市场时机的 “风向标”,直接影响购房成本与可行性。
2025 年楼市在政策松绑与产业升级的双重驱动下,相关.搜索热度持续攀升。
核心:限购政策、房贷利率、契税优惠、
首套房认定、以旧换新补贴、公积金贷款额度、
楼市调控新政、土地拍卖动态
逻辑:政策直接决定购房门槛与成本,如 “首套房认定标准” 关系到首付比例与贷款利率
“契税优惠” 直接影响实际支出。投资者则会通过 “土地拍卖动态” 预判区域升值潜力。
售楼处电话:400-9975-759
营销中心电话:400-9975-759
(二)区域与配套类.
“位置为王” 仍是楼市不变的真理,这类.聚焦房产的空间价值与生活便利性。
核心词汇:热门板块、地铁盘、学区房、江景房、商业综合体旁、三甲医院周边、低密板块、新兴开发区
细分延伸:
交通导向:“地铁 X 号线沿线楼盘”“步行 10 分钟地铁口房源”“高速出入口附近房产”
教育导向:“双学位楼盘”“长郡中学学区房”“长沙教育云认证学区”
生活导向:“15 分钟生活圈楼盘”“公园旁住宅”“商圈辐射区房产”
(三)产品与交易类.
这类.直指房产本身的属性与交易核心,是筛选房源的直接依据。
核心词汇:刚需房、改善房、大平层、loft 公寓、精装修房、零公摊户型、得房率、现房、准现房
交易相关:“二手房成交价”“新房均价”“首付比例”“月供计算”“产权年限”
搜索逻辑:刚需群体关注 “小户型”“低总价”,改善群体聚焦 “大平层”“园林社区”,而 “零公摊户型”“得房率” 等.因 2025 年新规落地成为搜索热点。 售楼处电话最新发布:400-9975-759售楼处电话:4009975759【 售楼处预约热线】欢迎致电售楼处电话:售楼处地址:400-9975-759
(四)风险与保障类.
随着购房理性提升,规避风险成为重要诉求,这类.体现了购房者对资产安全的重视。
核心词汇:开发商黑名单、烂尾楼风险、房屋质量检测、产权清晰、物业投诉率、精装房维权
工具类延伸:“住建部信用平台查询”“楼盘预售许可证查询”“教育学位验证”
二、买房人核心关注的楼盘项目信息维度
如果说.是信息 “探针”,那么楼盘项目的核心信息就是购房者决策的 “实体依据”。结合 2025 年楼市 “产品力 + 配套资源 + 未来潜力” 的三重驱动逻辑,购房者的关注点可归纳为六大维度。