作为上海品质人居代表,静安玺樾以 “全周期优质居住空间” 为核心,从产品、配套到服务全方位打磨,实景展示区与样板间已开放,诚邀上海购房者亲赴品鉴!

市场走势,瞬息万变,稍不留神,便会被时代抛弃!
而你知道吗? 静安内环内的新房价格要冲18万/㎡了!
作为上海人公认的白月光,静安一直是沪上置业的大热门,即使是不那么核心的内中环,目前新房的预估售价也将 超过16万/㎡。
至于资源更集中的内环内,曹家渡项目更是 17万+/㎡仍然强势售罄。
而下半年,刚成功出让的东斯文里地块预估售价或 超过18万/㎡!
伴随着中小套型的放开,未来想买进静安甚至静安内环内,两三千万或是常态门槛!

不少置业者们问, 想要用千万级的总价买入静安内环内,现在还有机会吗?
静安玺樾的出现,就是一次难得 上车的大好机会!
1、不可复制的地段天赋。站位静安内环内核芯区域,享塔尖资源,直线距离外滩仅约3.8km。1km里拥有百万方城市更新项目,苏河湾&北外滩 、人民广场&陆家嘴等上海地标建筑尽收眼底。
2、稀缺的千万级总价。在区域内新房价格攀升时,静安玺樾12.5万/㎡的过会价格,比起周边的新房以及二手次新房,在板块内很有性价比。
3、多样化户型可供选择。建面约94-165㎡的二至四房,无论是改善还是刚需,都能找到心仪的户型款式,可满足各类人群的置业需求。
4、超高产品力、国企钜制。全精装交付,装标超乎想象,无愧于区域内同价格段项目天花板级别的存在。

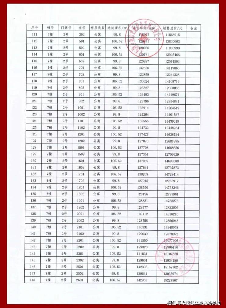
【静安玺樾】热卖中!
推售建面约98-165m²2-4房
过会均价124191元/m²,982万起






户型图赏鉴
建面约98㎡宽阔两房,非常适合单身或是年轻的小家庭置业。其 得房率最高约79%,相较于市面上大多70-75%的项目,实实在在地省下了不少空间的置业成本!
更大的亮点还在项目不回避自身的“抗性”,将实体样板间做在了邻近高架的3号楼,优越的隔音效果与日常居住的静谧程度是置业者可以亲自感受到的。

第一个亮点,室内软装是 邀请梁志天大师团队进行设计的,分为两大主题,预设家庭生活场景,围绕家庭成员的居住方式,加载健身、书房、茶室、养宠等功能,展现生活的精致感与摩登感。

第二个亮点,是 动静分离+客餐厅一体化设计,功能区和休息区互不干扰,客餐厅、厨房等公共活动区集中在一侧,卧室等休息区全部一侧,保证了私密性!

第三个亮点,是 尺度感!得益于高得房率,客餐厅朝南面宽大,衔接宽阔大阳台,而且像两间卧室都能轻松放下双人床,尤其是对于单身或两口之家,次卧完全可以成为X空间,工作室、电竞房、书房等尽可创意想象!

第四个亮点,是 南向主卧套房设计,不仅能放得下2*1.8米双人床,且还能保留约1米的过道;同时带独立卫生间和大飘窗,增强私密性。



104㎡3户型特点:该户型多为楼栋的 东边套,是一个观景户型。客厅连接270°阳台,视野出众。双卧朝南,阳光满溢。从次卫布局看,如果家庭人口较少,该户型还能做成双套卧。
此外,还具有独立储藏间,非常难得。该户型比较适合三口之家或三代同堂居住。
建面约103㎡3房2卫
该户型适合三口之家或年轻家庭居住的动静分区户型, 厨房、餐厅、客厅及阳台一体化设计,动静完全分区设计,相当人性化。
主卧套房设计满满尊崇感,次卫三分离干湿分区设计,考量十分贴心。

建面约103㎡2+1房2卫
该户型的精髓是“+1”的灵动空间,可随着家庭结构和需求随心个性定制,书房、学习区、游戏区,女王化妆间等。
若维持两房,你将 拥双开间大横厅设计及宽景阳台。同时,次卫设计取巧,可以做成套卧,那就是双套房。
值得一提, 主卧套房空间阔绰,刚需面积改善的尺度,摆两个床头柜和衣柜空间都绰绰有余,床尾即使再放置柜子也不影响过道通行。




全球奢装品牌领衔,装修豪华。
项目装修配置堪称豪华,空调、地暖为 大金或三菱重工(或同档次其它品牌),热水器选用 瑞美或能率(或同档次其它品牌);新风为 霍尼韦尔或大金(或同档次其它品牌)。
厨电5件套(油烟机、三眼燃气灶、洗碗机、烤箱、冰箱)均为 美诺或斯麦格(或同档次其它品牌);水槽和龙头采用 铂浪高或弗兰卡(或同档次其它品牌)。同时配置三玻两腔隔音降噪玻璃。
项目样板间实景图

项目信息
洪南山宅240街坊也曾经是老闸北区著名的棚户区,该街坊于2019年年初启动征收。洪南山宅240街坊项目开辟了市区联手、两级联动的融资新模式。

效果示意图
四至范围:东至302a-05、302a-06地块、南至中华新路、302a-12地块,西至共和新路(南北高架)、302a-07、302a-11地块,北至南山路、302a-03地块。

根据出让合同显示,规划用地面积31352.4平方米,地上计容面积为95624.82平方米,容积率为3.05,地块限高100米。该地块将新增926套住宅。

根据设计方案显示,该地块共规划了 7幢层高在15-33层不等的高层,其中1号楼19,2号楼27层(局部24层),3号楼15层,4号楼33层,5号楼17层,6号楼为30层(局部20层),7号楼30层。
而北侧靠近南山路一侧还规划一幢最高6层的养老设施用房。在小区南北两侧的中华新路和南山路分别设有机动车出入口。


「静安玺樾」不仅拥有 近约10w方规模的完整社区空间,还通过景观花园、泛会所等空间打造出满足儿童玩乐、家人休闲锻炼、社交会客的全年龄人群需求的豪宅优等社区。

项目园林由业界知名的奥雅设计操刀设计,打造了一个 ”翡光礼境“景观社区。
规划了 “翡色五境”五大空间氛围,匠造融入时光、人文海派、自然与艺术、家庭与邻里的 “四轴、三园、五区、一所”四大功能空间。
设计了 “春赏花、夏赏绿、秋赏叶、冬赏姿”四季有景的长效花园,呈现四季景观皆不同的诗意雅致生活氛围。

翡色五境社区氛围
翡廊境:尊享连廊的归家体验
翡林境:绿荫包裹的林下漫步
翡溪境:舒适惬意的绿意溪径
翡湾境:放空归静的心灵港湾
翡屿境:欢乐温馨的家庭氛围
社区景观打造上还考虑了空间的功能丰富性,打造了三大花园空间: 中心港湾花园、水溪花园,西入口归家花园,实现社区内各区域景观不同的丰富视觉盛宴~

林下空间用于会客、洽谈、休憩使用,零距离接触自然景观,惬意万分~


五大运动活力系统
精心设计的环绕社区的 400m跑道系统串联热身区、定制主题儿童活动区、老年健身区、活力健身区和休憩缓冲区五大运动活力系统,家人在社区内锻炼身体的祥和画面呼之欲出。

户外 定制化主题儿童区+架空层泛会所构成双儿童系统,以“秘境童话专列”的火车主题串联儿童活动空间,兼顾全年龄儿童不同游玩体验。

更有贴心细节设计:儿童活动区和老年健身区的器械均考虑防磕碰设计,地面均采用塑胶,以防磕碰受伤。

架空层位于5#楼王位置楼栋,用作泛会所空间,为孩子提供不受天气影响的社区活动空间,实属优秀~

与常规社区的三重归家礼序不同的是,「静安玺樾」创造出升级版 “四轴”归家体系:气派入口门楼,精致艺术的归家廊厅,全区花园式入户以及仪式水系轴线空间。让你从社区大门开始就能感受到身为业主的尊崇感~


更值得一提的是,「静安玺樾」还设计了更加人性化的室内通行归家路线,更优于社区风雨连廊的设计,业主从南入口保安亭后方的电梯厅可以直达设计了采光排风井的B1层归家,不走地面社区道路就能免受风吹日晒,安全归家。
海派风格外立面+超低能耗住宅
建筑立面采用新海派风格,采用 天然石材+真石漆+铝板设计打造,细节精致,线条流畅,优雅大气质感浑然天成。

与传统住宅截然不同的是,「静安玺樾」不惜成本打造了 超低能耗住宅产品,将为业主带来一个四季如春的空间,享受到更加静谧的居住环境、更清新健康的空气、更安全的居住环境,还能降低更多的能耗!

从超一线装标到五星级地库,豪宅品质贯彻始终!
从装标上看,「静安玺樾」在装修标准上是下了功夫的,甚至可以说是“不惜成本”,超一线装标完全称得上 “高配低价”这四个字!
中央空调、地暖、新风都是标配,室内厨卫都采用了国际一线品牌,让居住变得更为舒适的同时给足业主体验感和尊崇感。


尤其让人惊艳的还有项目豪掷重金为业主打造的五星级地库!
项目车库采用贯穿式鱼尾灯坡道和超耐磨地坪,过道全部采用精装吊顶,地下管道和局部区域进行二次包裹!尤其惊艳的是项目的豪华车马厅, 采用水磨石、水晶漆、铝饰面、大板砖、立柱石材包边、门禁系统三合一!
如此用心着力只为给所有业主营造出独属的尊崇归家礼仪!



物业服务方面,有万科物业保驾护航!
万科物业,相信不用多说, 全国一级物业资质,连续多年蝉联全国物业排名第一!
作为国内第一家通过ISO9002国际质量管理体系认证的物业管理企业,屡获殊荣。
万科物业进驻上海31年!多年口碑积攒下好评如潮,被业内誉为“最懂上海的物业”!
此次进驻「静安玺樾」,万科物业除了将为社区提供优质服务外,并将额外定制提供增值服务,包括:
更整洁的社区:12小时的保洁+夜间值班保洁;
更省心的居家:每年一次空调清洗,每三年一次地暖保养;
更历久弥新的建筑:每年一次外墙清洗。
生活配套
交通方面:项目直线距离8号线中兴路站直线约580米,1号线中山北路站直线约800米,距离3/4号线宝山路站约1.4公里,自驾方面,可以通过南北高架、内环高架通往市区,也可通过内环到达市区各个方向。

商业方面:项目周边配套成熟,购物便利,大型商业2公里内还有静安大悦城、万象天地、大宁永光、大宁国际等高端商业配套,周边还有规划中的百万方中兴城商业综合体。

静安大悦城
教育方面:闸北区三中心小学、永兴路第二小学、青云中学、市北初级中学等。(新房不承诺对口学校,具体以实际为准)
市北初级中学

医疗方面:三甲医院环伺,为您和家人的健康保驾护航。项目周边有上海第十人民医院分院、上海市中医医院、上海市第一人民医院、上海第十人民医院、同济大学附属口腔医院等等。

生态休闲:在市区寸土寸金的环境下,周边还有芷江绿地、中兴公园等。

三大核心价值,值得实地探访
产品匠心:适配刚需、改善等多元家庭,空间布局、采光收纳均经优化,实景体验更直观;
全龄配套:覆盖老中青少的社区活动中心、亲子空间、健康区域,搭配专业物业与社群服务;
品质保障:资深开发团队操盘,多城优质项目背书,业主满意度居高,居住更放心。
专属品鉴权益,预约即享
拨打售楼处电话 400-8894-986 预约,解锁三大福利:
・灵活约时段:3 天内任选到访时间,匹配专属置业顾问;
・到访有好礼:品质伴手礼 + 定制资料册免费领;
・优先权益:优先获取项目动态、专属咨询,开盘享优先选房。
三、多通道便捷预约
电话预约(推荐):400-8894-986(24H 在线,极速响应);
营销中心接待时间:9:00-21:00(节假日不休,电话可确认实时情况);
线上留言:评论区留 “静安玺樾 + 姓名 + 联系方式”,2 小时内专人对接;
顾问对接:已联系置业顾问可直接锁定时段,或致电 400-8894-986 协助对接。
居住选择关乎长远生活品质,静安玺樾邀您实地解锁理想生活!户型、周边配套等更多详情,随时拨打售楼处电话 400-8894-986 咨询(24H 置业顾问在线对接)。

近日,广州市荔湾区坑口片区(首期范围)控制性详细规划经第四届广州市规划委员会地区规划专业委员会第三十次会议审议通过。
坑口城中村改造范围147.71公顷,本次规划在片区整体谋划基础上,优化路网结构、河涌水系、城市绿地等主要布局,在符合总体空间布局的前提下,根据“片区—单元—地块”传导要求、城中村改造计划、复建安置需求、15分钟生活圈配置等要素,综合确定首期范围内6个近期开发地块的规划要求。

坑口片区地处白鹅潭商务区,是支撑白鹅潭建设成为广州西部主引擎和世界级地标商圈的重要节点。规划依托广佛同城和聚龙湾启动区发展契机,提出“聚势融湾·创智营城”的规划愿景。本次优先稳定6个近期开发地块的用地性质和规划指标。
打造超4公里长的生态共享绿链
坑口片区拥有“江-河-涌”三级水系资源,水网密集,生态景观资源丰富。
规划提出构建“一链三脉多片”的开敞空间体系,沿组团生态廊道和河涌水系,建设一条4公里长的生态共享绿链和三条生态绿脉,作为开敞空间的骨架,串联多处社区组团的开敞空间,延展形成辐射全域的公共空间网络。

其中,4公里长的生态共享绿链连通珠江后航道和花地河,将重塑江岸、涌岸、路岸的生态景观。
打造城市超级产业中心
规划衔接产业发展评估报告,坑口片区着力打造总部经济中心,做实智能智造、工业设计两大核心产业,联动发展生产性服务业、品质消费、绿色建筑与设计、新兴产业等,拟搭建“1+2+N现代产业体系”。同时结合广州聚龙湾太古里项目,梳理坑口产业空间诉求,打造城市超级产业中心。

项目将重点承接广州聚龙湾太古里项目的产业外溢需求,依托市属国企招商能力和全生命周期开发手段,引入融合文化、科技、金融的特色产业集群,助力发展为产城融合新高地。
注重历史文化保护,再现“桥街水市,船埠码头”胜景
规划注重保护片区内的大冲口涌等历史环境要素,充分利用具有价值特色的建构筑物和传统风貌建筑,整体营造岭南水乡的独特韵味,再现“桥街水市,船埠码头”胜景。