上实听海(上实听海售楼处)2025上实听海首页网站-楼盘最新详情-上实听海营销中心欢迎您
扫描到手机,新闻随时看
扫一扫,用手机看文章
更加方便分享给朋友
「上实听海」售楼处电话:400-8377-020(欢迎致电)(来电尊享优惠活动)
如有问题欢迎来电咨询,专业一对一热情服务,让您用专业眼光去买房。
免责声明:将文章内容综合来源于网络、只作分享,版权归原作者所有!!如有侵权,请联系我们,我们第一时间处理!
毗邻105开放区TOD超级城市地标
坐拥地铁16号线+两港快线(在建)
东邻城市口袋公园,西接城市楔形湿地公园
南望54万方星空之境海绵公园
上实城开26载 上海临港自贸区首耀之作
上实·望海
340套建面约100-120㎡3房
均价3.3万/㎡(文末附一房一价表)
Adjacent to the 105 Open Zone TOD Super City Landmark
Located on Metro Line 16+Lianggang Express (under construction)
It is adjacent to the urban pocket park in the east and the urban wedge wetland park in the west
Looking south at 540000 square meters of starry sky, Sponge Park
Shanghai Lingang Free Trade Zone's debut work in 26 years of Shangshi City opening
Shangshi · Wanghai
340 units with a building area of approximately 100-120 square meters and 3 rooms
The average price is 33000 yuan/square meter (attached at the end of the article is a one room price list)
上实·望海项目将建造12栋16F高层住宅,1栋13层高层住宅,2栋16层底层带社区商业配套住宅,1栋2层社区商业配套楼等。
The Shangshi Wanghai project will construct 12 16F high-rise residential buildings, 1 13 story high-rise residential building, 2 16 story residential buildings with community commercial support on the ground floor, and 1 2-story community commercial support building.
「上实听海」售楼处电话:400-8377-020(欢迎致电)
「上实听海」售楼处电话:400-8377-020(欢迎致电)
首推房源340套,其中100m²三房244套,120 m²三房96套
100平米户型在有限面积段做到了三房两卫主卧套房设计,即控制了总价又满足客户最求舒适与私密的需求。
120平米四面宽版成长型户型,适合不同家庭阶段使用。
340 initial listings, including 100m ² 244 units with three bedrooms, 120 meters ² Three bedroom 96 sets
The 100 square meter unit has achieved the design of a three bedroom, two bathroom master bedroom suite in a limited area, which not only controls the total price but also meets customers' most comfortable and private needs.
The 120 square meter four sided wide growth unit is suitable for different family stages.
「上实听海」售楼处电话:400-8377-020(欢迎致电)
「上实听海」售楼处电话:400-8377-020(欢迎致电)
120平米双面宽版开放式交友户型,大尺寸景观阳台直面东侧地标,主客卧分开,保障隐私。
A 120 square meter double sided wide open style dating apartment with a large landscape balcony facing the east landmark, with separate main and guest bedrooms to ensure privacy.
NO.1 当临港
幸逢上实城开
上实城开以满足城市主流人群高品质居住及商业发展需求为使命,着眼全国重点城市的战略布局,主要分布于上海、北京、天津、西安、烟台、沈阳等11个重点城市,正在开发及经营逾20个标杆地产项目。作为上海本土老牌国企,深耕上海26载,近几年开发了一系列中高档楼盘和大型商办项目,为城市面貌的改变谱写了辉煌的篇章。
Lucky to meet Shangshi Chengkai
Shangshi Chengkai is committed to meeting the high-quality residential and commercial development needs of the mainstream urban population, focusing on the strategic layout of national key cities. It is mainly distributed in 11 key cities such as Shanghai, Beijing, Tianjin, Xi'an, Yantai, and Shenyang, and is currently developing and operating over 20 benchmark real estate projects. As a veteran state-owned enterprise in Shanghai, we have been deeply involved in Shanghai for 26 years and have developed a series of mid to high-end real estate projects and large-scale commercial projects in recent years, marking a brilliant chapter in the transformation of the city's appearance.
「上实听海」售楼处电话:400-8377-020(欢迎致电)
上海万源城,上海市区非常罕见大规模纯住宅社区,是闵行区乃至上海市的精品品牌楼盘,闵行古美板块的品质标杆。目前商品房二手价格达到约12-14万/平,是古美板块二手市场当之无愧的价格领头羊(数据来源:贝壳网2022年9月)。
天荟TODTOWN70万方大型城市综合体,上海市西南地区的综合枢纽和重要门户,住宅二手房成交价突破14万/平(数据来源:贝壳网2022年9月)。
滨江城开中心,位于徐汇滨江板块核心商务区,项目坐拥一线江景,承袭徐汇滨江的文化精粹,打造上海最具文化品位的新型商务地标。
2023上实城开首入临港新片区,以“开启城市万象之新”的信念,用未来标杆的标准精心打造,用更懂上海的方式,演绎海上的风采。
「上实听海」售楼处电话:400-8377-020(欢迎致电)
NO.2 临港TOD主城
励精图治的时代热土
为打造更具国际市场影响力和竞争力的特殊经济功能区,根据规划,临港105片区将被打造成继陆家嘴之后,高度自由开放的“经济特区”和“金融特区”。
临港自贸区今年重大工程之一就是两港快线,连通滴水湖核心区域和上海浦东枢纽!这意味着从临港主城区到浦东国际枢纽只需要4站!在浦东机场,还能换乘机场联络线、2号线、磁悬浮等!
Shanghai Wanyuan City, a rare large-scale pure residential community in the urban area of Shanghai, is a boutique brand real estate in Minhang District and even Shanghai, and a quality benchmark for the Minhang Gumei sector. At present, the second-hand price of commercial housing has reached about 120000 to 140000 yuan per square meter, making it a well-deserved price leader in the second-hand market of the Gumei sector (data source: Shell Network, September 2022).
Tianhui TODTOWN is a large-scale urban complex with an area of 700000 square meters, serving as a comprehensive hub and important gateway in the southwest of Shanghai. The transaction price of second-hand residential houses has exceeded 140000 yuan per square meter (data source: Shell Network, September 2022).
The Binjiang City Development Center is located in the core business district of the Binjiang section of Xuhui. The project is surrounded by frontline river scenery, inheriting the cultural essence of Xuhui Binjiang, and creating the most culturally sophisticated new business landmark in Shanghai.
In 2023, Shangshi City will enter the new Lingang area, with the belief of "opening up a new era of urban diversity", meticulously crafted using future benchmark standards, and interpreting the charm of the sea in a way that better understands Shanghai.
NO.2 Lingang TOD Main City
A hot spot in the era of striving for excellence and governance
In order to create a special economic functional zone with more international market influence and competitiveness, according to the plan, the Lingang 105 area will be transformed into a highly free and open "economic special zone" and "financial special zone" after Lujiazui.
One of the major projects of the Lingang Free Trade Zone this year is the two port express line, connecting the core area of Dishui Lake and the Shanghai Pudong hub! This means that it only takes 4 stops from the main urban area of Lingang to the Pudong International Hub! At Pudong Airport, you can also transfer to airport connecting lines, Line 2, maglev, and more!
「上实听海」售楼处电话:400-8377-020(欢迎致电)
「上实听海」售楼处电话:400-8377-020(欢迎致电)
在两港大道临港开放区站“创造”出全球唯一一个实行境内关外概念的TOD新城:临港国际离岸金融中心!超越物理维度,临港通过对空运、陆运的直接接轨,对标香港、新加坡等国际一流离岸金融中心
上实望海上实望海位于105中央商务区,毗邻超级城市地标,3km生活半径内,海昌海洋公园、上海天文馆、冰雪之星(在建中)、文化艺术岛(在建中)等顶流主题公园地标云集;港城新天地、百联临港生活中心、星海汇(在建中)、城市航站楼枢纽(规划中)环伺,近400万方商业体量环伺,领潮临港新片区无界风尚。
项目整体按绿建三星、一梯两户、超低能耗建筑、海绵城市等国际化标准高品质商品住宅要求建设。 项目外围周边规划了配套小学、幼儿园等全龄教育机构,项目东西两侧分别紧邻城市口袋公园与城市楔形湿地公园;项目自身未来将打造出极具个性IP的品质体验中心、丰盈商业街区、全龄架空层泛会所等社交功能场所
At Lianggang Avenue Lingang Open Zone Station, "create" the only TOD new town in the world that implements the concept of domestic customs: Lingang International offshore financial centre! Beyond the physical dimension, through the direct connection of air transport and land transport, the port is benchmarking with world-class offshore financial centre such as Hong Kong and Singapore
Shangshi Wanghai is located in the 105 Central Business District, adjacent to super city landmarks. Within a 3km living radius, there are numerous top stream theme park landmarks such as Haichang Ocean Park, Shanghai Planetarium, Ice and Snow Star (under construction), and Cultural and Art Island (under construction); The port city Xintiandi, Bailian Lingang Life Center, Xinghaihui (under construction), and the urban terminal hub (under planning) are surrounded by nearly 4 million square meters of commercial volume, leading the boundless fashion of the new Lingang area.
The overall project is constructed in accordance with international standards for high-quality commodity residences such as Green Building Three Stars, One Elevator Two Households, Ultra Low Energy Consumption Buildings, Sponge City, etc. The supporting primary schools, kindergartens and other all age educational institutions are planned around the periphery of the project, and the east and west sides of the project are adjacent to the urban pocket park and the urban wedge wetland park respectively; In the future, the project will create a highly personalized IP quality experience center, a Fengying commercial district, a full age elevated floor pan clubhouse, and other social function venues
「上实听海」售楼处电话:400-8377-020(欢迎致电)
「上实听海」售楼处电话:400-8377-020(欢迎致电)
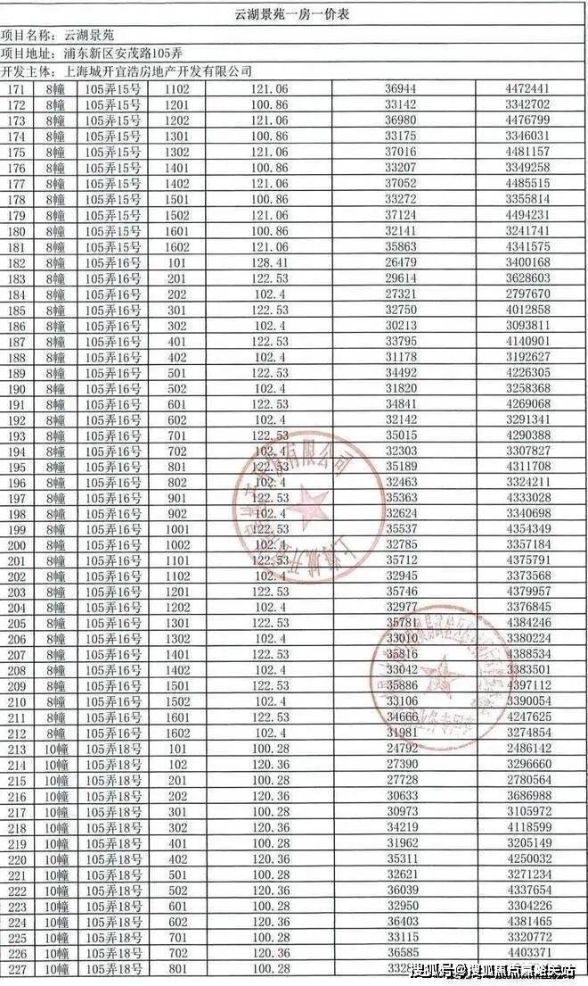
上实望海一房一价表
Shangshi Wanghai One Room One Price List
「上实听海」售楼处电话:400-8377-020(欢迎致电)
「上实听海」售楼处电话:400-8377-020(欢迎致电)
「上实听海」售楼处电话:400-8377-020(欢迎致电)
「上实听海」售楼处电话:400-8377-020(欢迎致电)
「上实听海」售楼处电话:400-8377-020(欢迎致电)
「上实听海」售楼处电话:400-8377-020(欢迎致电)(来电尊享优惠活动)
如有问题欢迎来电咨询,专业一对一热情服务,让您用专业眼光去买房。
免责声明:将文章内容综合来源于网络、只作分享,版权归原作者所有!!如有侵权,请联系我们,我们第一时间处理!
声明:本文由入驻焦点开放平台的作者撰写,除焦点官方账号外,观点仅代表作者本人,不代表焦点立场。
