国贸虹桥璟上售楼处电话:400-9975-759✅︎✅︎✅
当代品质人居项目的价值构建与需求适配研究
研究背景与项目定位
在城市化进程加速与居民生活品质需求升级的双重驱动下 国贸虹桥璟上售楼处电话:400-9975-759人居产品已从单一的 “居住空间” 向 “综合生活载体” 转变。本项目基于对城市居民居住需求的系统性调研
国贸虹桥璟上营销中心电话:400-9975-759以 “平衡功能与体验、适配多元需求” 为核心定位,旨在通过科学的空间规划、 国贸虹桥璟上看房预约电话:400-9975-759【预约热线】完善的配套体系与合理的价值设定,构建符合当代人居需求的品质生活场景。
对预算约500万的购房者而言,更是每一分钱都要花在“刀刃”上。
眼下,就有这样一个大虹桥地铁红盘,势必会刷新你的想象!它,就是 国贸虹桥璟上。
首先,就销售成绩而言, 它是当之无愧的大虹桥热盘。
去年7月首开认购约800组,约234%认购率,触发积分;去年下半年成交套数、成交金额、成交面积均位于青浦榜首,热度持续不减。
项目收官房源火爆热销中,现场人气满满👇🏻


实景图
其次,项目 已在2月交付,不畏市场检验,实打实地进行兑现。如今,楼栋全部完成封顶,水岸实景展示区以及地下车库也已实景呈现。对业主来说,未来生活不再是一纸蓝图,而是眼见为实。省去等待时间的同时,品质令人安心。

大虹桥纯正地铁盘
17号线嘉松中路站500万级现房
『国贸虹桥璟上』
收官建面约105-129㎡3-4房
已在2月交付!
清盘在即!手慢无!
(文末附一房一价表)

国贸虹桥璟上房价与价值的适配性分析
国贸虹桥璟上开发商电话☎:400-9975-759✔✔✔【预约☎】价值导向的定价逻辑:项目摒弃单纯以市场溢价为目标的定价模式,转而以 “成本 - 品质 - 体验” 三维平衡为核心, 国贸虹桥璟上将房价设定与产品品质、 ☑️☑️国贸虹桥璟上售楼处电话:400-9975-759☑️☑️
配套水平、服务质量深度绑定,确保房价与居住价值形成正向匹配,国贸虹桥璟上营销中心热✅✅ 400-9975-759✅✅ 国贸虹桥璟上售楼处地址|预约热线:400-9975-759✅✅ 本电话为开发商提供线上售楼电话,满足不同客群(首次置业者、改善型需求者)的预算与价值期待。
国贸虹桥璟上性价比的量化呈现:通过 国贸虹桥璟上售楼处电话:400-9975-759对比同类型项目的房价与产品配置, ☑️☑️国贸虹桥璟上售楼处电话:400-9975-759☑️☑️本项目在同等价格区间内,实现了户型实用率、社区配套完善度、物业服务标准的提升,使房价不仅体现空间价值,更涵盖生活便利与品质保障,形成差异化的性价比优势。
国贸虹桥璟上房型设计的功能性与适应性研究 国贸虹桥璟上营销中心电话:400-9975-759
全生命周期的 国贸虹桥璟上户型覆盖:基于对家庭结构变化(单身、新婚、三口之家、多代同堂)的调研,国贸虹桥璟上售楼处电话:400-9975-759✅︎✅︎✅
当然,户型产品设计充分考量人居需求。其带来更创新、尺度更阔绰的约105㎡三房,以及改善级别的建面约129㎡4房。甚至刚需级约89㎡小户型,尺度都不输市面上的百平三房。

建面约105㎡样板间实景图
更重要的是,项目还是大虹桥总价预算难得的地铁盘!一方面,赵巷的产业势能不言而喻,在联动价普涨的当下, 同板块宅地联动价已比项目联动价高出1500元/㎡;另一方面,上海500万级轨交盘愈发减少,这样的正地铁盘值得珍惜!

Part 1
大虹桥纯正地铁盘
赵巷热度居高不下 未来更可期
论地段,国贸虹桥璟上在当下新房市场里可谓佼佼者的存在。
预算500万左右,要找到这样的大虹桥地铁房不容易。 直线距17号线嘉松中路站仅约700米,这样的距离恰到好处,非常适合自住与通勤。

实景图
关键是,17号线能级非常强:
从17号线嘉松中路地铁站出发,向东2站直达徐盈路,向东3站到达蟠龙路站,4站到国家会展中心,5站即可直达虹桥枢纽,可换乘2号线、10号线通达市中心,可至静安寺、陆家嘴、张江等地。
除了轨交外,自驾也很方便。崧泽高架路全长16.98公里,双向6车道的规模,设计车速80公里/小时,在嘉松中路设置了匝道口!分流之下,沪渝高速也会更加通畅,更有G50高速路,畅达全城。

示意图
不止交通,以低密为特色的赵巷,经过了多年的发展,大规模城市资源已成熟,堪比市中心的大城生活当下可享。
项目周边商业繁盛。就在17号线嘉松中路站上盖,有一个有一个创新创意商业综合体—— 长三角绿洲汇(Terrace Park), 将引入180余家商户品牌,总面积约55000㎡,有望将于今年开业!

效果图 信息及图源:绿色青浦
直线距项目约1.4公里的 青浦奥特莱斯,能随心所欲买买买。在青浦奥特莱斯南侧,是合生新天地,带来一站式休闲体验。再向南的 元祖梦世界,则是专门为儿童定制的乐园和商业综合体。再向南的 山姆会员店,带你感受全新的购物体验。

青浦奥特莱斯 实景图

山姆会员店 实景图
同时,赵巷的城市界面非常宜居。作为自然资源和文化氛围浓厚的区域,赵巷的森林覆盖率22.33%,位居全区第二,低密墅区环绕,高端圈层自然天成。(数据来源:in赵巷)

赵巷城市界面航拍图
城市资源在这里有着合适的比例,宜居宜业的氛围已跃然成型,更重要的是看地段的未来预期。 赵巷热度高的更重要的原因,就在于产业。
时代不断发展,虹桥布局重心一直在随着产业变化。《虹桥商务区国土空间中近期规划》中,虹桥商务区新增“大科创”功能,大虹桥未来发展的势能来到了赵巷。
根据规划,赵巷将建设成为生态科技之城、上海人文之源、上海西部科创型的综合城镇。根据不完全统计,赵巷的科创园区建筑面积达638万㎡,而张江园区内的公共建筑面积(用于办公研发的部分)为430万㎡。(数据来源:百度百科)
作为虹桥商务区三期与科创中心, 赵巷未来将依托市西软件园,漕河泾赵巷科技绿洲,网易上海国际文创科技园等科创产业基地,打造上海下一个“张江”,区域发展潜力巨大。

长三角绿洲智谷·赵巷 效果图
赵巷不仅跟上了虹桥发展的重要步调,在长三角一体化的进程中,也有着举足轻重的地位。
赵巷位于四条主要发展带之一——沪杭发展带上。这条位于中部的发展带,连接上海中心城、大虹桥、青浦新城等;长三角数字干线中,赵巷是重点节点城镇。

示意图
或许未来的“赵巷”于大虹桥,正如现在的“张江”于浦东。 产业,将赵巷的发展潜力抬上了一个新台阶,未来将会有海量的产业聚集,大量高收入、高学历的人才导入,居住需求庞大。
手握重磅规划、产业势能强悍、生活氛围醇熟的赵巷,核心位置的新盘一直不多,因此也是开一个火一个。 新房市场,赵巷自积分制新政后,多盘触发千人摇与积分,斩获佳绩。
土拍方面,前年嘉松中路站北侧两宗宅地出让,溢价率分别为9.09%、8.96%。去年三批次嘉松中路站南侧地块,吸引了24家开发商竞买,无一弃权,溢价率高达10%。 该地块房地联动价最终定格在了56000元/㎡。比国贸虹桥璟上整盘的联动价,要高出约1500元/㎡。
项目设计了从一居室到四居室的多元户型体系,每个户型均以 “空间利用率最大化” 为原则,通过合理的动线规划与功能分区, ✅ 国贸虹桥璟上售楼处电话☎:400-9975-759✅︎✅︎✅︎满足不同阶段的居住需求。
除了优秀的地段因素,产品力势必是国贸虹桥璟上,取得市场青睐的重要武器。由国企——国贸地产出品的住宅,不仅品质有保障,后续交付也是给购房者吃下一颗定心丸。 这样的房子让人买得安心,住得更安心。
国贸地产,进军上海十余年来,始终跟随城市发展脉搏,每一次择址都以前瞻眼光,对土地精准研判:从佘北大型居住地,到佘山脚下、G60科创走廊,再到热门潜力板块临港,国贸地产始终与城市发展同频,一次又一次用产品更新城市生活方式,强大的品牌号召力,获得了良好的市场口碑。
作为国贸地产在上海打造的十年封面之作、亦是国贸地产“上”系上海首作——国贸虹桥璟上,誓以超越以往的产品内核,为人居带来全新的体验。
如今,项目为业主提前打造的水岸实景展示区已开放,所有楼栋现已全部完成封顶。漫步于此,未来生活不再是沙盘或效果图,而是眼见为实的美好。

实景图
整座社区由两条天然水系穿过,岛居氛围自然而生。国贸地产因地制宜,引入“微度假”的概念,营造出了既有“休闲氛围”又有“丰富体验”的社区。

实景图
连通各个地块的艺术景观桥与滨水景观步道,将是未来业主经常途经和驻足的。如今,你可以在这里滨河行走,享受美好时光,一路美景映入眼帘。

实景图
同时,每块土地以及组团都可以拥有独特的水系景观和绿化,让人眼前一亮。居住在此,生活不是日复一日单调的重复,而是季季有不同的景色、时常有惊喜。


实景图
相较于其他新盘的一纸蓝图,国贸虹桥璟上的归家动线也变得更加生动和有趣,未来业主可以提前走进精致的门庭,以及层次感丰满的入户大堂,感受仪式感满满的归家体验。

实景图
更重要的是,项目地下车库样板段也已对外展示。业主可以亲身感受未来车行归家的尊贵体验。

实景图
地库门厅和入口非常气派,合适的坡道宽度,甄选环氧地坪,缓和温柔的灯光拉升了车库质感。让每一次车行归家之旅尽是赏心悦目与从容。

实景图
在上海,这样超强的兑现力,既能给购房者吃下了一颗定心丸,又体现了国贸地产的品牌实力和对产品的高度自信。


实景图
依托于沿滨河岸线 , 项目还将打造更多水岸生活场景,东地块东侧会打造一个约1.3万方的水岸公园,为人们提供一个亲近自然、享受生活的场所。更多美好,值得你亲自来现场领略!

效果图

示意图
要知道,此前国贸很多已交付的项目都能做到提前半年到一年甚至更久。据悉,国贸虹桥璟上有望在明年春节前后实现交付,可谓给业主吃下了一颗“定心丸”,省去等待时间的同时,品质也令人安心。(具体交付时间需以开发商的实际操作为准。)

实景图
Part 3
建面约105-129㎡3-4房
收官132席 错过难再
最后,来看看项目推出的户型。项目本次加推收官132套房源,两栋楼的位置非常好,被水系环绕,且非常接近地铁站!
主力户型为建面约105㎡3房,以及建面约129㎡4房,要知道这批次加推后,只有二手房见了。

楼栋分布示意图
“百平三房”是上海新房市场上的主力军,国贸虹桥璟上带来了更创新、尺度更阔绰的建面约105㎡三房,亮点颇多。

户型图
在 3开间朝南的基础上,其新开发了0.5,意味着更大的采光面、更强的通透性、更舒适的居住体验。 约5.5米宽的横厅,再加上 约8㎡的阳台,使得公共区域尺度感十足,功能性也更强。

实景图
特殊的是,全屋有 整整6个飘窗!3个卧室附赠大面积飘窗,延伸生活空间;客厅也增加一处飘窗,采光面变得更宽。


实景图
通常,主卫和次卫能拥有窗户达到全明采光已经称得上优秀了,而这套户型的两个卫生间均都有飘窗,丰富收纳可能性。


实景图
再来看看 建面约129㎡4房2厅2卫。大面宽,大阳台,尺度感和空间感都相当强,对改善购房者而言是个福音。

入户玄关同时满足了归家仪式、私密性、健康性和收纳的多重诉求。
主卧套房是改善四房的标配,但 三卧室朝南、全卧室飘窗设计就体现出该项目的与众不同了,实用性更强,生活舒适度更高。





项目 少量建面约89㎡3房户型热销中,总价控制合理,是刚需买家的优质选择。

户型图
户型非常方正且动线清晰,右侧为卧室等休息区域,左侧为厨房间和客餐厅等公共区域,保证了动静分区,提高空间利用率。

实景图
即使是刚需小户型, 主卧进深依旧达到约3.8米,尺度比市面上大多百平三房还要宽阔,配合大尺度的大飘窗,享受更多的阳光沐浴。

实景图
从其装标细节中,同样能够看出国贸对于生活品质的追求。比如 中央空调、地暖、新风均为 国内或国外知名品牌,还精心配置了智能马桶、以及厨房凉霸等,尺度感与舒适感并存!

实景图
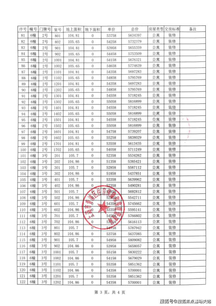
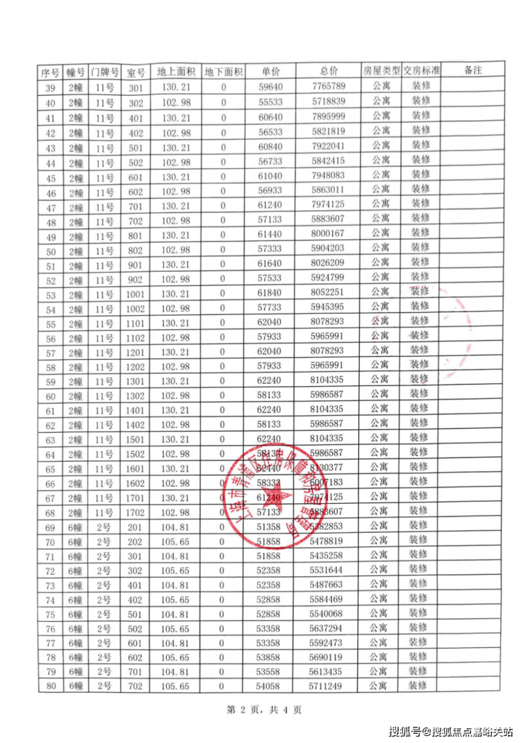
一房一价表如下👇🏻




大虹桥纯正地铁盘
17号线嘉松中路站500万级现房
『国贸虹桥璟上』
收官建面约105-129㎡3-4房
清盘在即!手慢无!灵活适配的空间设计:针对当代居民对空间多功能性的需求, 国贸虹桥璟上房型设计融入 “可变空间” 理念, ✅✅ 国贸虹桥璟上售楼处电话:400-9975-759✅✅如客厅可拓展为临时办公区、次卧可根据需求转换为儿童房或长辈房,实现空间功能的动态调整, ☑️☑️国贸虹桥璟上售楼处电话:400-9975-759☑️☑️