外环唯一的CAZ,汇聚一城之资源
天生塔尖!
嘉定新城核心 一线“湖景+河景”
远香湖4.0迭代湖畔奢居产品
招商·林屿湖畔
三批次建面约120㎡-165㎡湖居奢宅
火热认购中
样板间&示范区实景如下:
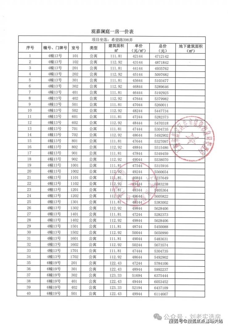
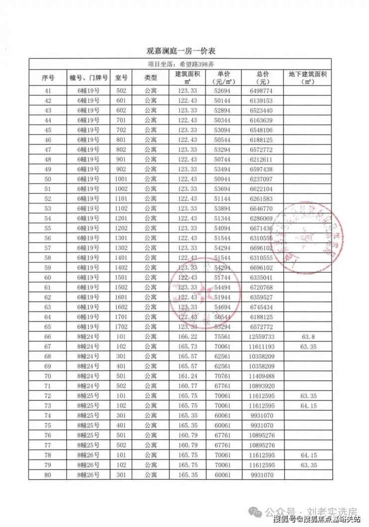
本批次一房一价表如下: 招商林屿湖畔售楼处电话:400-8894-986📲📲

招商林屿湖畔售楼处电话:400-8894-986📲📲


招商林屿湖畔售楼处电话:400-8894-986📲📲

招商林屿湖畔售楼处电话:400-8894-986📲📲

六大嘉定首见设计

打造远香湖CAZ封面大作!
说实话,招商林屿湖畔凭借着远香湖CAZ的占位,就能热销。 招商林屿湖畔售楼处电话:400-8894-986📲📲
因为这里是整个嘉定的中心,是无数嘉定人心中的朝圣之地,这里的资源集中度之强,即使是上游的南翔都望尘莫及。招商林屿湖畔售楼处电话:400-8894-986📲📲
而作为区域内最后一个住宅项目、招商林屿湖畔售楼处电话:400-8894-986📲📲也是位置最好的一线湖景房,招商林屿湖畔一旦入市,必然是嘉定人心里的TOP1,决定着整个嘉定未来二手房价格的上限。招商林屿湖畔售楼处电话:400-8894-986📲📲

也正因如此,招商当时才会愿意以约30%封顶溢价率,拿下这块宅地。
招商林屿湖畔售楼处电话:400-8894-986📲📲而这样一块天生塔尖的地块,招商更以远超市面标准的投入,于产品设计、选材营造等环节倾注心力,打造了一个匹配CAZ核芯地位的品质标杆。
整个项目有几个外环新房特有的优势,跟大家分享下:
嘉定首见 自然嵌入式全维游艇会所内的国标壁球馆&沃特罗伦主题健身房 招商林屿湖畔售楼处电话:400-8894-986📲📲
招商林屿湖畔拥有约1200㎡立体下沉式会所。
与此同时,项目充分利用架空层释放出的宝贵空间,打造出一个 功能聚合、品质非凡的约1700㎡架空层空间。招商林屿湖畔售楼处电话:400-8894-986📲📲
这个体量,超越了目前市场上大多数千万级的豪宅,在整个外环外更是少见。
其次,整个会所对标星级酒店艺术品位,设计了私宴厅、瑜伽室、棋牌室、区域首创国标壁球馆、飞瀑园景健身房、嵌入式景观书吧等空间。招商林屿湖畔售楼处电话:400-8894-986📲📲
其中,健身房所用都是沃特罗伦高端健身器材。

沃特罗伦健身器材示意图,具体以公示为准
从实用性、审美力、艺术感等各个方面,深度还原度假酒店的质感。

招商林屿湖畔售楼处电话:400-8894-986📲📲



过程版效果图
而架空层最高建筑层高约7.2米,共计约1700㎡。
招商林屿湖畔售楼处电话:400-8894-986📲📲一方面,超高架空层的存在,不仅在物理意义上将部分楼栋的社区生活平面整体托举,隔绝了地面层的喧嚣与干扰。还让低区的业主也能充分的享受阳光和视野。招商林屿湖畔售楼处电话:400-8894-986📲📲

同时,打造了休闲下沉卡座、水吧台、休闲会客区、联动室外水池,打造酒店式度假居住体验。招商林屿湖畔售楼处电话:400-8894-986📲📲

嘉定首见 超87m石材&铝板归家艺术门庭、阳光地库
项目以奢华酒店式场景为设计理念,打造约87米艺术门庭。由于土地的限制,即使是市区的顶豪,也难有如此规格的归家仪式。招商林屿湖畔售楼处电话:400-8894-986📲📲
这不仅是业主身份的象征,更是城市的靓丽天际线。

招商林屿湖畔售楼处电话:400-8894-986📲📲总高约13.7米双层归家大堂、独立车马院以向心视觉设计,营造震 撼的视觉冲击力与尊贵仪式感,显著提升归家动线的品质与社区形象,成为彰显楼盘档次的核心亮点。招商林屿湖畔售楼处电话:400-8894-986📲📲
同时,还有引入自然天光的阳光地库、下坡道及地下玄关,这是招商千万级顶豪的同款,是整个外环外最高颜值和规格的车库。招商林屿湖畔售楼处电话:400-8894-986📲📲

招商林屿湖畔售楼处电话:400-8894-986📲📲

嘉定首见,全曲线铝板建筑立面。
用料上,顶豪同款的铝板+石材。无需多言,这就是目前上海立面中更好、更昂贵的用料。招商林屿湖畔售楼处电话:400-8894-986📲📲
审美上,飞檐设计+阔景画框。最高约0.35的超大窗墙比,超越上海常规住宅标准。招商林屿湖畔售楼处电话:400-8894-986📲📲

嘉定首见 隐秀峡谷立体庭院、悬挑飞瀑、度假戏水池
在社区内部景观上,招商也进行了大胆创新,别具一格的酒店度假超级公区,让人非常心动!招商林屿湖畔售楼处电话:400-8894-986📲📲
•立体浮岛:通过地上地下丰富动线串联下沉庭院、局部风雨连廊、戏水池、行车橱窗、垂直森系景观、嵌入式会所功能,创造一座立体视觉奇观的“漂浮的绿洲”。招商林屿湖畔售楼处电话:400-8894-986📲📲
•下沉峡谷:约420㎡丰富层次立体下沉庭院,区域首现悬浮水池,搭配4.3米飞瀑,塑造沉浸式度假感受。招商林屿湖畔售楼处电话:400-8894-986📲📲
这些,都是徐汇滨江约19.5万/㎡的顶级豪宅同款。

•游园动线:以洄游式曲折路径与风雨连廊设计,营造多重游园动线,为庭院景观赋予不同互动体验
•人景相融:甄选世界珍贵树木,实现四季沉浸式景观更迭

招商林屿湖畔售楼处电话:400-8894-986📲📲老实讲 ,这样的社区景观和会所、架空层配置,远超远香湖CAZ过往供应的新房,湖居4.0迭新奢宅,实至名归!建面约112㎡起纯粹改善大宅招商林屿湖畔售楼处电话:400-8894-986📲📲

高度统一的居住氛围!
招商林屿湖畔是嘉定乃至整个外环外,除了纯别墅小区外,目前仅有的一个最小建面约112㎡起的项目。招商林屿湖畔售楼处电话:400-8894-986📲📲
首先,这意味着项目未来的社区居住氛围,将以纯粹改善为主。
说白了,只有这样的社区,才能给业主更好的居住体验,才能给孩子更好的居住环境,才能给家里老人更宜居的居住氛围。
与以小户型为主,主力吸引刚需客户的项目相比,这是社区定位上的不同,也是未来居住氛围上的不同。招商林屿湖畔售楼处电话:400-8894-986📲📲
其次,我们来看产品。
项目本批次将推出建面约120㎡-165㎡3-4房,目前创意展示空间已经开放,可预约参观。招商林屿湖畔售楼处电话:400-8894-986📲📲

建面约122㎡的3房产品,有几大亮点。
第一,类一梯一户的设计。
这种 “隐形扩容” 设计,不仅重构家庭生活秩序,更解锁了N种生活场景的可能性。招商林屿湖畔售楼处电话:400-8894-986📲📲

建面约122㎡创意展示间实景,具体以实际交付为准
第二,全屋交付收纳量达8.2m³,约等于205个20寸行李箱的收纳空间。
整个套内除了电梯厅外,还有大量的收纳空间。
例如进门的这个独立储藏空间:招商林屿湖畔售楼处电话:400-8894-986📲📲

建面约122㎡创意展示间实景,具体以实际交付为准
还有餐边柜空间、大量的飘窗空间、厨房的柜子等等。

建面约122㎡创意展示间实景,具体以实际交付为准

建面约122㎡创意展示间实景,具体以实际交付为准

建面约122㎡创意展示间实景,具体以实际交付为准
招商林屿湖畔售楼处电话:400-8894-986📲📲第三,约3.1米层高+边套户型4飘窗+建面约122㎡做3房,极致的尺度感。
建面约122㎡的3房本身就拥有超强的空间尺度感,再加上小高层的高得房率+多飘窗的设计,整个空间的尺度感相当惊人。招商林屿湖畔售楼处电话:400-8894-986📲📲
比如这个客餐厅:

招商林屿湖畔售楼处电话:400-8894-986📲📲

建面约122㎡创意展示间实景,具体以实际交付为准
这个尺度感一般也只有在约140㎡以上的大平层中能看到。
主卧豪华套房的设计+约270°的巨型飘窗,这个尺度感和实用性真的很强。

招商林屿湖畔售楼处电话:400-8894-986📲📲

建面约122㎡创意展示间实景,具体以实际交付为准
另外,由于双阳台的设计,北房间不仅能放下一张床,还有大量可以放下书桌、衣柜的空间,实用性超强。招商林屿湖畔售楼处电话:400-8894-986📲📲

建面约122㎡创意展示间实景,具体以实际交付为准
招商林屿湖畔售楼处电话:400-8894-986📲📲这个户型真的是目前上海迭代到最新款的产品,真的可以想象这样一个产品对于周边本地改善客户的吸引力有多强,在未来的二手房市场会非常吃香。招商林屿湖畔售楼处电话:400-8894-986📲📲

建面约145㎡4房产品,目前嘉定新城的终极改善产品。
约3.15米的层高,恢弘大气;
独立电梯厅+半敞阳台+自由式飘窗,使用率(非得房率)约87-91%;
四开间南向面宽,大面积落地玻璃,边套更是打造了270°转角飘窗;
豪华主卧套房,双台盆独立卫浴保证了居住的私密性;
三阳台保证了各个卧室超强的尺度感和实用性;

建面约160㎡上叠 | 约145%使用率的立体生活范本
招商林屿湖畔售楼处电话:400-8894-986📲📲上叠户型预计使用率最高约145%,拥有约8.5m横厅双阳台双露台、南北通透主卧套房。(非得 房率,最终房屋得房率以实测报告为准)
“约8.5米宽厅+南向双阳台+双露台”黄金组合,成就使用率约145%(非得房率,最终房屋得房率以实测报告为准)的立体生活空间。招商林屿湖畔售楼处电话:400-8894-986📲📲
南北双露台(总面积约24㎡)可打造星空剧场或空中花园,主卫开间达约3.3米,以极致尺度重新定义奢居标准。招商林屿湖畔售楼处电话:400-8894-986📲📲
建面约165㎡ 中叠 | 约18.4米南向面宽的平层体验

招商林屿湖畔售楼处电话:400-8894-986📲📲中叠户型预计使用率最高约95%,罕见5面宽、尊享通透双套房,最大18.4米南向面宽。(非得房率,最终房屋得房率以实测报告为准)
颠覆性约18.4米南向面宽、五开间布局,媲美大平层尺度。
双套房设计(主卧+南向长辈套房)兼顾代际关怀与私密,LDKG横厅连接约9米双面阳台,成为家庭社交核心。招商林屿湖畔售楼处电话:400-8894-986📲📲
经专业测算,室内采光均匀度高达约98%,通风效能全域最优。

建面约165㎡ 下叠 | 使用率约148%的空间革命
招商林屿湖畔售楼处电话:400-8894-986📲📲下叠户 型预计使用率最高约148%,拥有地下室三面采光、LDKG双入户流线、南北通透主卧套房。(非得房率,最终房屋得房率以实测报告为准)
使用率最高约148%(非得房率,最终房屋得房率以实测报告为准),以“8个飘窗+双南阳台+约5.4米层高地下室”构建强大附加值体系。
创新三面采光井(总覆盖约34㎡)彻底告别地下室昏暗,可化身阳光庭院、家庭画廊。招商林屿湖畔售楼处电话:400-8894-986📲📲
LDKG一体化+双入户流线(北接电梯厅、南连花园),搭配约6.5米横厅与270°转角飘窗,实现生活与自然的无界交融。

堪比前滩的配套浓度
招商林屿湖畔售楼处电话:400-8894-986📲📲象屿远香湖岸位于嘉定新城远香湖CAZ规划红线内,这是五个新城目前仅有的官宣的中央活动区,定位为嘉定新城中的综合功能中心与城市形象集中展示区,集聚国际住区、大型商业集群、摩天地标集群、招商林屿湖畔售楼处电话:400-8894-986📲📲科创科研企业集群、国际教育文化等功能为一体。(规划内容来自上海嘉定微信公众号)
如果说陆家嘴-外滩是整个上海的核心资源所在,那整个嘉定新城的核心资源就在远香湖中央活动区。招商林屿湖畔售楼处电话:400-8894-986📲📲

招商林屿湖畔售楼处电话:400-8894-986📲📲所以,远香湖 中央活动区,就是整个嘉定新城的门面和“城市会客厅”。这是一个“被倾注了嘉定新城所有高端资源”的片区!
招商林屿湖畔售楼处电话:400-8894-986📲📲远香湖CAZ,总开发体量约531.4万㎡,规划公共服务建面约27.7万㎡,教育科研设计建面约71.6万㎡,商办体量约284.1万㎡。招商林屿湖畔售楼处电话:400-8894-986📲📲
产业方面,作为嘉定新城塔尖地段的远香湖CAZ打造的是 总部经济集群,涵盖汽车城、智能传感、瑞金创新中心精准医疗特色产业等 招商林屿湖畔售楼处电话:400-8894-986📲📲

远香湖CAZ效果示意图
公共服务方面,远香湖CAZ简直是城市地标集中营!嘉定图书馆、保利大剧院、五星级凯悦酒店早已名声在外。招商林屿湖畔售楼处电话:400-8894-986📲📲

同时,未来这里还将建设文化环、未来塔、活力谷等城市新地标建筑!(规划内容来自上海嘉定微信公众号)招商林屿湖畔售楼处电话:400-8894-986📲📲
· 文化环:除了现有嘉定图书馆、保利大剧院、江南书院、尚画美术馆外,围绕着远香湖未来还将打造立体儿童乐园、航模活动中心、嘉昆太路演中心等一系列高能级文化设施。招商林屿湖畔售楼处电话:400-8894-986📲📲
· 未来塔:位于CAZ的正中央,建成约300m,将成为嘉定甚至是上海西北第一高楼,是真正的C位地标(规划中)招商林屿湖畔售楼处电话:400-8894-986📲📲
· 活力谷:集商业和办公于一体的休闲创意街区。

示意图,仅供参考
教育方面,这里有全龄段精英教育资源!
幼儿园方面,有公立学校远香湖幼儿园和高端私立中国中福会幼儿园。
中小学方面,上海知名的公办学校:上海市实验学校嘉定新城分校、上海交通大学附届嘉定实验学校、上海市嘉定区新城实验学校。招商林屿湖畔售楼处电话:400-8894-986📲📲
都是九年一贯制的学校,也都是嘉定最好的顶级教育资源。
(注:相关教育设施仅为介绍周边教育资源,并不承诺为划片学区)

上海市实验学校嘉定新城分校实景图综上所述,
作为远香湖CAZ规划红线内最后一块住宅用地,招商林屿湖畔错过不再。
未来业主将于城市地标为邻,享受到的必然是与国际接轨的潮流生活!
当然,即使着眼于现在,项目的生活配套也足够丰盛!
招商林屿湖畔售楼处电话:400-8894-986📲📲商业方面,项目周边大体量商业体环伺,包括西云楼、宝龙广场、万达广场、大融城、理想之地配套商业(在建)、吉宝绿地缤纷城等近40万方商业。招商林屿湖畔售楼处电话:400-8894-986📲📲
略远些还有嘉定目前的商业地标约33万方的印象城Mega。

周边商业实景图,仅供参考
招商林屿湖畔售楼处电话:400-8894-986📲📲医疗方面,周边有三甲医院瑞金医院北院、嘉定区妇幼保健院、嘉定中心医院、上海嘉定中医医院嘉定新院等优质医疗资源,护航家人健康。招商林屿湖畔售楼处电话:400-8894-986📲📲

瑞金医院北院实景图,仅供参考
总结一下,从配套能级、步行范围内的资源浓郁、宜居程度、产品的规格等维度,招商林屿湖畔的表现都十分出众。招商林屿湖畔售楼处电话:400-8894-986📲📲
所以,不管您是不是要买在嘉定,我都推荐您去看一下这个项目。
嘉定新城核心 一线“湖景+河景”
远香湖4.0迭代湖畔奢居产品
招商·林屿湖畔
三批次建面约120㎡-165㎡湖居奢宅
火热认购中
对项目感兴趣的伙伴
欢迎预约看房招商林屿湖畔售楼处电话:400-8894-986📲📲
小编在后台看到有小伙伴留言问
公租房和配售型保障房有什么区别?
该怎么选择?

一起来看看吧!
公租房
Q
A
什么是公租房?
公租房即公共租赁住房,是指政府投资或提供政策支持,限定套型、面积和租金标准,面向符合条件的对象供应的保障性住房。
公租房不是归个人所有,而是由政府或公共机构所有,用低于市场价的租金标准向符合条件的保障对象出租,解决新就业职工等夹心层群体住房困难。
Q
A
兰州公租房申请条件?
✅城镇中低收入住房困难家庭
申请人须同时具备以下条件:
1.申请家庭为兰州市城镇户籍;
2.申请人及家庭成员在兰州市无住房或家庭人均住房面积低于13平方米(含13平方米);
3.家庭人均月收入低于3773元(含3773元);
4.申请家庭成员之间有法定的赡养、抚养或扶养关系;
5.申请人为未婚单身且年满35周岁可作为一人家庭提出申请。
✅新就业大学生
申请人须同时具备以下条件:
1.具有兰州市城镇户籍;
2.申请人为大学及以上学历;
3.申请人为兰州市近郊四区范围内行政事业或企业(个体工商户除外)单位参加工作不超过五年(含五年)的新就业职工,且连续在兰州缴纳一年以上(含一年)养老保险;
4.申请人单位无单位职工公寓;
5.申请人及家庭成员在兰州市无住房。
✅外来务工人员
申请人须同时具备以下条件:
1.具有兰州市的居住证;
2.申请人已在兰州市近郊四区范围内稳定就业三年以上(含三年),已与单位签订劳动合同,且连续在兰州缴纳三年以上(含三年)养老保险;
3.申请人家庭人均月收入低于3773元(含3773元);
4.申请人单位无单位职工公寓;
5.申请人及家庭成员在兰州市无住房;
Q
A
怎么申请公租房保障资格?
根据2025年10月兰州住建局发布的公告《兰州市公共租赁住房保障资格实施常态化申请审核的公告》显示:
公共租赁住房保障资格申请审核工作,从2025年10月27日起开始常态化进行。
✅办理方式:
1.线上办理
申请人通过登录甘肃省政务服务网“高效办成一件事”专区设置的公租房“一件事”受理模块,进行线上申请。
2.线下办理
申请人在工作时间内,到各县区政务服务大厅或各街道政务服务(便民)中心公租房“一件事”办事窗口,提交申请。
来源:兰州市住房和城乡建设局
https://zjj.lanzhou.gov.cn/art/2025/10/22/art_11369_1566495.html


摄图网_500523237
配售型保障房
Q
A
什么是配售型保障房?
配售型保障性住房,是指政府提供优惠政策,限定套型面积、销售价格和处分权利,禁止上市交易、实施封闭管理,面向本市住房有困难的工薪收入群体和城市需要的引进人才等群体配售的具有保障属性的住房。
Q
A
兰州配售型保障房申请条件?
申请购买配售型保障性住房以家庭为单位,每个家庭只能购买1套。
主申请人应具有完全民事行为能力,申请家庭成员包括配偶和未成年子女
单身户家庭申请人应达到法定结婚年龄。
✅申请家庭还应同时符合以下条件:
1.申请人拥有本市户籍、居住证、外来务工证明其中之一;
2.申购家庭人均自有住房建筑面积低于40.2平方米,自有住房包括:商品住房、经济适用住房、限价商品住房、共有产权住房、私有住房、拆迁安置住房等实际拥有房屋所有权的住房;
3.申请人不能为失信惩戒人员;
4.其他需满足的条件。申请人及其家庭成员已享受过房改房、公共租赁住房、保障性租赁住房、人才公寓等政策性住房的申请家庭,除同时满足以上条件外,还需按规定腾退原政策性住房。
✅经认定的副高级以上职称、高级技师以上职业资格或博士及以上学历的高层次人才、重点产业急需紧缺人才、享有人才计划支持的高层次人才,留兰应届大学毕业生,取消自有住房面积限制。
✅已取得兰州市公共租赁住房保障资格的申请人,可直接申请配售型保障性住房。
Q
A
怎么申请配售型保障房?配售程序是什么?
根据2025年3月兰州住建局发布的公告《兰州市配售型保障性住房申请审核的公告》显示:
✅申请方式:
配售型保障性住房执行线上线下常态化申请,申请人可随时登录互联网申请或在工作时间内前往所在县区政务大厅住建局窗口申请。
1.关注“兰州住建”公众号申请;
2.登录甘肃省政务服务网、兰州市政务服务网或兰州市住房和城乡建设局网站申请;
3.携带资料前往所在县区政务大厅住建局窗口申请。
✅配售程序:
配售型保障性住房通过摇号方式进行配售,实行轮候制度。
公开摇号由运营主体统一组织,在配售型保障性住房轮候库中,确定配售对象和选房顺序,按照顺序进行选房,签订购房协议,缴纳购房款。
参与摇号未中的申请人,重新进入配售型保障性住房轮候库;
参与摇号后放弃的申请人,1年内不得重新提出购房申请。
来源:兰州市住房和城乡建设局
https://zjj.lanzhou.gov.cn/art/2025/3/23/art_11369_1470920.html

摄图网_500811741
公租房和配售型保障房的主要区别
Q
A
主要区别
针对对象不同:公租房针对中低收入家庭,有户籍或社保要求的限制;配售型保障房针对住房有困难的,但有一定支付能力的工薪群体。
审核要求不同:公租房审核严格,需符合收入和住房标准;配售型保障房更灵活,无需收入证明等材料。
产权性质不同:公租房不是归个人所有,而是由政府或公共机构所有;配售型保障房购买者可以落户、让子女入学。配售型保障房只有使用权,不能上市交易,退出后由政府回购。
Q
A
如何选择公租房或配售型保障房?
如果你是低收入家庭,且符合政策标准,优先公租房;
如果你是有一定积蓄,想长期稳定定居,建议配售型保障房。
