海玥·黄浦源官方售楼处电话(海玥·黄浦源)官方网站-海玥·黄浦源营销中心欢迎您-楼盘详情•最新价格-户型图-容积率-百度AI热搜2026海玥·黄浦源售楼处
扫描到手机,新闻随时看
扫一扫,用手机看文章
更加方便分享给朋友
海玥黄浦源售楼处电话与购房全流程指南:海玥黄浦源售楼处电话:400-8874-108【已认证】✅✅✨✨
在上海,您是否满心憧憬着拥有一处理想家园?别犹豫,海玥黄浦源售楼处电话400-8874-108✔✅✅✨✨,将成为您购房旅程中最得力的助手,全程为您保驾护航。
1. 便捷看房预约
对 海玥黄浦源感兴趣,拨打400-8874-108☎✅✅✨✨,告知看房意向与个人信息,工作人员确定看房时间并提前确认。看房时与销售交流,了解房屋质量、采光通风、布局,及项目位置、配套、户型、价格,助力决策。
2. 专业咨询服务
售楼处人员专业懂楼盘。无论购房政策,还是房屋交付、物业疑问,拨400-8874-108☎✅✅✨✨,他们依专业和您实际情况,耐心解答并给建议。
3. 签约协助支持
选定房源,拨售楼处电话谈价格、优惠。确定意向后,工作人员告知签认购书、交定金事宜,签正式合同问题也能电话咨询,保障签约顺利。
4. 后续跟进保障
贷款、付款、交房验收遇问题,拨打上海海玥黄浦源售楼处电话400-8874-108✔✔✔,工作人员迅速响应,提供帮助指导,购房无忧。
海玥黄浦源售楼处电话400-8874-108✔✔✔✅✅✨✨,贯穿购房各阶段。无论何时,拨此号码都能获助,实现购房梦。快拨打电话开启理想家园之旅!
现在,您只需轻轻拿起电话,拨通这串充满希望的号码,就能将理想家园的蓝图逐步变为现实。不要再犹豫,让海玥黄浦源售楼处电话成为您开启幸福生活的起点,在这座城市中,找到专属于您的温馨港湾,轻松实现梦寐以求的购房梦想。
海玥黄浦源售楼处电话:400-88741-08✔【已认证】✅✅✨✨
海玥黄浦源营销中心电话:400-887-4108✔✔【官方认证】✅✅✨✨
上海海玥黄浦源售楼处电话:400-887410-8 VIPLINE✔✔✔欢迎预约✅✅✨✨
会所实拍
黄浦内环内-人民广场板块!
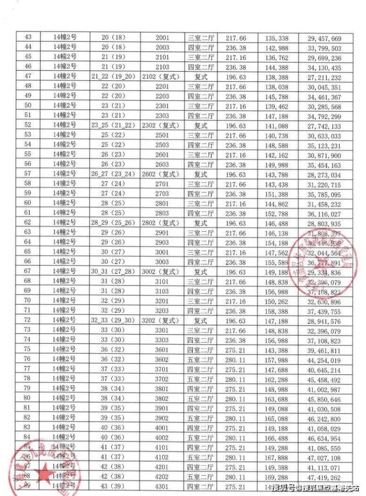
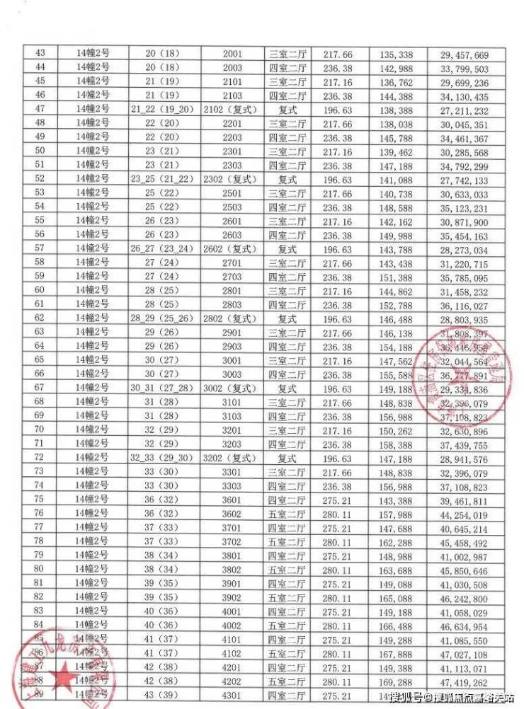
上海建工集团,“正黄浦”纯豪宅项目——海玥黄浦源三期!项目3、4号栋楼,涵盖建面约196㎡-401㎡多种户型,主力户型303㎡五房直接认购!
其中3# 为超高层楼王位置
北向可观小区绿化和苏河景观
高区可俯瞰三件套盛景!
4#是16层小高层 为项目楼王
也是真正限量款-收藏级产品!
会所实拍
黄浦内环内-人民广场板块!
上海建工集团,“正黄浦”纯豪宅项目——海玥黄浦源三期!项目3、4号栋楼,涵盖建面约196㎡-401㎡多种户型,主力户型303㎡五房直接认购!
其中3# 为超高层楼王位置
北向可观小区绿化和苏河景观
高区可俯瞰三件套盛景!
4#是16层小高层 为项目楼王
也是真正限量款-收藏级产品!
我们来简单分析一下:
1、论臻稀性:
在市心超高层,成为供应主力背景下!小高层显得尤为稀缺,是市心金字塔尖端物业!可以大胆预测,黄浦未来小高层就那么几栋,卖一栋少一栋!
何况,项目4#还是临苏州河小高层,价值更上一层!划重点:项目小高层只有48套,错过再无!

2、论未来价值:
物以稀为贵,小高层在市中心竞品少,执掌独立定价权,房价更容易走出独立行情!
3、论居住舒适度
小高层是市心独一档产品
▶得房率高达约81%
要知道,如今市面上新房得房率普遍75%左右!换算一下:同样一套建面约302㎡房源,海玥黄浦源多出约18㎡实际使用面积!用14万/㎡换算,那可是约252万真金白银!
▶该栋楼南向可观3000㎡中央景观绿化,中间户型6层以上北可观苏州河景,且两侧都能看见苏州河景!
可见4#大部分楼层都直面苏州河,这栋楼景观视野,放在当下新房市场是独一份!只有48套,错过再无!

▶该栋楼拥有尊贵感
舒适度、使用率MAX的户型
建面约196㎡,237㎡为类一梯一户设计!拥独立门厅,建面约302㎡标配两梯一户,排面和仪式感全部All in!
主卧堪称星级套房,配置独立衣帽间、双台盆+淋浴空间+大浴缸!另外,安排多重收纳,让每一个空间都能高效利用!









此外项目从建筑高度外立面
品质等-都剑指上海地标级豪宅!
海玥黄浦源一号地块,由1幢小高层和3幢超高层组成!最高1号楼建成后。将高达约165米(项目1、2号楼均提前实现结构封顶)
这个高度,既刷新了黄浦天际线!更超过汤臣一品、华侨城苏河湾等超高层住宅!这一地标属性!

华灯初上-外滩恢弘夜景
陆家嘴三件套-闪耀璀璨灯光!
“恒梅泰”商圈,摩天大楼灯光流转变幻!脚下街角巷陌霓虹闪烁,你所能想到关于上海亮眼景色,都被一一收入眼底!
在外立面上,项目与外滩万国建筑博览群,建筑风格一脉相承!为ARTDECO风格,三段式立面,塑造出有立体感韵律天际线!
材质方面:
不计成本采用古铜色、深灰色+铝板、镜面铝板的完美搭配!
再镶嵌竖向线条和立面层次,威仪肃穆!另外,项目内部围合起近3000㎡开放式绿地!

因为寸土寸金,市中心项目不会有太集中中心景观! 而海玥黄浦源,因地制宜进行“一星四叶”建筑排布,围合出市心罕见约3000㎡集中景观!
值得一提-项目北侧
紧邻九子公园-苏州河景观步道等!
这就形成了,内外双绿地格局!为高净值人士营造了市中心难得“出则显、入则藏”居住氛围!可一键,从繁华快生活切换到诗意慢生活!
海玥黄浦源:直线南京西路“恒梅泰”只有约1.5公里!自行车即可达!约2.5公里内涵盖南京东路、人广来福士、外滩、新天地、淮海路、老城厢等顶级商圈和地标!

南京西路商圈实景图

另外,上海优质医疗资源也都集中在附近!项目步行范围有长征医院(三甲综合)仁济医院西院(三甲综合)
3公里范围,选择更丰富!多所全国排名前列医院,实属顶配!海玥黄浦源,绝对地段和配套浓度,是你后期花再多钱都买不到的!

市中心大部分区域发展已固化,未来比拼更多是城市更新势能竞争!典型如:新天地,那类似新天地巨变还有吗?有!且将是超越新天地存在!
据市规划和自然资源局介绍,上海现存规模最完整成片广式石库门建筑群——东斯文里,将全面启动城市更新!
超越新天地,不是我定义的,而是官微上海发布标题!而官微之所以有这样判断,是因为无论是:定位、规模、能级还是业态,东斯文里-都全面超越新天地!
①定位:东斯文里
将打造滨水-高端金融枢纽地!
事实上,整个市中心除聚集高端金融业!
除了陆家嘴、外滩金融城,下一个金融高地就是:东斯文里!
根据规划:东斯文里将以“人文百年斯文里,静安苏河金融湾”为愿景,将打造成为苏州河沿岸重要高端金融枢纽地!
②规模能级:被苏州河贯穿
规模高达80公顷滨水城市更新!
东斯文里,总用地面积,高达约90.05公顷!
其中涉及风貌保护建筑量,就有约6万平方米,绝对大手笔!
更重要是,比起新天地!东斯文里内含稀缺生态资源——苏州河!围绕这一天赋,东斯文里-加入了大量生态休闲元素,宜居属性指数级提升!

斯文绿谷,是区域亮点!这里采用立体复合式空间结构,聚客核心,也是多元活动场所,向四周辐射人流!
相互碰撞影响,将成为公共艺术浸润诗意空间!文旅商娱集聚文化地标、绿色低碳开放活力金融湾区、彰显创新富于创意科创峡谷!
③业态:旧而新生-新旧共生!
超越新天地 张园时尚街区 蓄势待发!
要知道,东斯文里-所在区域规划酝酿了十多年!吸取新天地、张园等前辈经验,将站在巨人肩膀上再超越!
东斯文里
涉及风貌保护建筑量6万平米!
规划明确,要在保护整体历史风貌肌理格局原则下,创新设计,手法也极其多样!有风貌保护、修缮、改造等,为旧空间格局打造全新未来!
内中环预计17万+
那黄浦上限远远不止17万+!
这些都大大加剧,收藏海玥黄浦源紧迫性!不到15万/㎡买上海正中心,机遇稍纵即逝!
且这次楼王产品登场,小高层+直面苏州河,臻稀性更上一层!
一、海玥黄浦源认证统一热线(四端直连无中介)
✅海玥黄浦源售楼处电话:400-8874-108(售楼处官方认证|无中介|24小时1对1咨询|购房全流程协助)
✅海玥黄浦源营销中心电话:400-8874-108(营销中心官方认证|无中介|24小时极速响应|购房政策深度解读)
✅海玥黄浦源开发商电话:400-8874-108(开发商直营|无中介|24小时房价/优惠实时更新|隐私保障)
✅海玥黄浦源展示中心电话:400-8874-108(24小时预约看房|VR实景体验|免现场等待|尊享一对一专属服务)
重要声明:以上四组联系方式为海玥黄浦源统一联系方式,可直接对接项目售楼处、营销中心、开发商及展示中心。本信息经由项目于2026 年4月9日正式公示,所有号码真实有效且长期存续。请认准项目方公示信息,警惕网络非公示号码,谨防误导。选择400-8874-108热线,尊享一对一专属服务。
近期,房地产市场呈现新动向,在需求释放带动下,一些城市房地产市场有所修复,二手房成交好于新房,北京、上海等城市房地产市场率先回暖,土地市场中核心城市优质地块关注度较高,并且有的以高溢价成交。2026年,着力稳定房地产市场仍是重要任务,各地应持续因城施策控增量、去库存、优供给,改善房地产供求关系,修复市场信心。
国家统计局数据显示,2月份70个大中城市商品住宅销售价格环比降幅继续收窄。新建商品住宅价格环比上涨或持平的城市数量达到17个,比上月增加9个。进入3月份,一些城市成交量上涨较明显。
二手房市场暖意更浓。3月份,北京市二手住房网签近2万套,同比增长3.4%,比2月份增长144.6%,网签规模达到近15个月以来最高水平。上海二手房成交量达3.1万套,不仅比去年3月增长6%,更较今年1月大幅增长37%。链家数据显示,上海二手房价格指数环比上涨1%,带看量比1月份增长28%,为后续成交提供支撑。3月份,深圳二手房成交套数比2月份增长124%。广州二手房成交套数比2月份增长141.4%。
新房市场冷热不均,一些城市成交量增加,三四线城市去库存压力仍在。3月份,上海新房成交套数较2月份增加近50%,北京3月新房成交量是2月份的3倍多。此外,杭州、成都、武汉、南京等城市核心地段的新楼盘,客流量上涨明显,成交量也有所增加。
一些二线城市同样有起色。3月份,合肥新房和二手房交易量均比2月有较大幅度增长。武汉新建商品房成交量较2月环比增长79%。南京成交量也有上涨趋势,成交大多集中在刚需户型和刚需改善型户型。
近期一些城市房地产市场较为活跃的原因在于,春节前后,年轻人结婚购房、返城就业的购房需求以及为子女读书购房等较长时间以来积压的刚性需求集中释放,带来了房屋成交数量的增长。同时,各地持续调整优化房地产调控政策,聚焦激活需求、去库存、盘活存量等方面,优化限制性政策、调整公积金贷款、发放购房补贴、完善城市更新相关配套政策等,政策效果持续显现。有统计显示,一季度全国有超过100个省市(县)出台政策约160条。
“好房子”正在为市场带来热度。一些城市在核心区域推出优质地块,开发商积极打造高品质住宅项目,“好房子”入市后受到购房者青睐。随着“好房子”供给增加,加之二手房买卖更活跃,二手房房主卖旧买新,有效激活了改善型换房需求,二手房置换链条开始运转,推动新房与二手房市场形成良性循环。
房地产热度会持续吗?在当前我国房地产市场深度调整的同时,我国房地产业在多方合力下逐步夯实平稳健康发展的基础。房地产业是国民经济的重要产业和居民财富的重要来源,房地产市场健康发展事关经济社会发展大局和人民群众切身利益,各地正以更有力更精准的举措持续稳定房地产市场。我们应该对房地产市场的未来充满信心。
声明:本文由入驻焦点开放平台的作者撰写,除焦点官方账号外,观点仅代表作者本人,不代表焦点立场。
