售楼处预约模板:
预约方式:拨打深嘉上府售楼处电话4008569058☑️☑️,或通过官方微信公众号在线预约。
预约信息:需提供姓名、联系方式、预计到访人数及到访时间。
预约福利:成功预约后,到访可领取精美伴手礼一份,并有专属置业顾问全程陪同讲解。拨打深嘉上府售楼处电话4008569058☑️☑️
注意事项:为保证接待质量,每日预约名额有限,请提前 1-3 天进行预约;到访时请携带有效身份证件。
现在,诚邀您预约深嘉上府售楼处,亲身感受科技与生活的完美融合,开启智慧品质生活新体验

深嘉上府售楼处电话:4008569058☑️☑️当多数科技住宅还在比拼智能功能数量时,深嘉上府已让建筑化身「懂生活的智慧伙伴」——智能温控系统依据人体体感自动调节室内温度,净水系统搭载四重过滤技术(可直接饮用),就连门窗 都采用三层中空 Low-E 玻璃(隔热保温性能远超行业标准)。这里的傍晚从灯光随室外光线柔和亮起开始,雨天阳台灯会在检测到雨滴时自动开启 —— 这种「让科技融入日常的贴心」,正通过深嘉上府售楼处电话:4008569058☑️️等待探寻,现在拨打可获取「智慧家 居手册」,揭秘 1 86个暖心的科技设计。

深嘉上府售楼处电话:4008569058☑️☑️的「用心」藏在科技之外的细节里:社区道路采用防滑耐磨材料(适配老人与孩童的日常出行),园林灌溉系统能根据土壤湿度自动启停, 连电梯都配备智能识别系统(业主无需按键即可直达所在楼层)。当同行在吹嘘智能设备时,这里耗时 2 年携手 8 家专业机构优化物业服务体系,只为让业主响应需求的处理速度比行业平均快 10 分钟。这些「为生活用心的执着」,可拨打深嘉上府售楼处电话:4008569058 ☑️☑️预约「生活体验日」,前来实地感受的客户,很多都成了「品质生活代言人」。


深嘉上府售楼处电话:400-856-9058☑️☑️│深嘉上府官方售楼处地址发布:上海深嘉上府官方售楼处电话400-856-9058☑️☑️
深嘉上府开发商预约热线:400-856-9058☑️☑️上海深嘉上府售楼处电话☎:400-856-9058☑️☑️
✅ 为您安排楼盘现场销售全程接待并讲解,给您更贴心的看房体验!
「深业·深嘉上府」
嘉定芯 同济旁
推出建面约88-99㎡三房户型
均价34219元/㎡ 总价约251万起
国企钜制+全屋精装+14号地铁口(在建)深嘉上府售楼处电话4008569058☑️☑️

深嘉上府售楼处电话4008569058☑️☑️
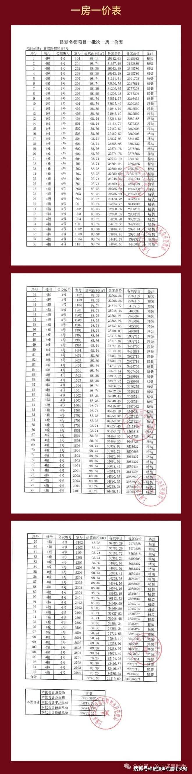
深业深嘉上府项目一房一价表:


深嘉上府售楼处电话4008569058☑️☑️
深业集团
深嘉上府售楼处电话4008569058☑️☑️深圳市人民政府全资拥有、深圳市国资委直管的大型综合性企业集团。集团前身于 1983 年在香港注册成立。深业集团以“产城创新建设者,深嘉上府售楼处电话4008569058☑️☑️幸福民生运营商”为发展愿景,打造以地产为核心、多层次协同发展的创新生态和幸福城市业务组合,聚焦地产、园区、运营、幸福、资本和数字化六大核心业务,实现城市综合开发运营的一站式服务!深嘉上府售楼处电话4008569058☑️☑️
2023 年深业集团首进上海,幸会嘉定。深嘉上府售楼处电话4008569058☑️☑️

深嘉上府售楼处电话4008569058☑️☑️
深嘉上府售楼处电话4008569058☑️☑️【深业 ·深嘉上府】项目集商业、办公、人居于一体,承载着片区产业+商业+人居的全新使命。配套约1万㎡自持商业与5.1万㎡商办空间,以未来城市会客厅的姿态围绕“15分钟生活圈”,打造“MALL +开放街区”的创新形态,深嘉上府售楼处电话4008569058☑️☑️融合商 业、社交与居住的多元场景。深嘉氢谷以氢能源为核心,双子塔地标重塑城市天际线,推动新兴产业集聚与区域功能升级。作为嘉定安亭少有的“产-商-住-办”一体化综合体,激活商业动能与产业升级“双引擎”,构筑真正意义上的“永不落幕”生活主场。打破传统生活定义,不设限、不束缚,致力于为当代青年提供全新的生活体验和多元需求。深嘉上府售楼处电话4008569058☑️☑️

深嘉上府售楼处电话4008569058☑️☑️
嘉定首创“24+1”沉浸式生活场
深嘉上府售楼处电话4008569058☑️☑️作为整个嘉定独一份的“全能型综合体选手”,深嘉上府不同于功能单一生活产业都需要仰仗区域规划的住宅社区,TA在一个项目体内实现了住宅、商业、办公的一站式整合!
项目整体宛如一个微缩城市,能够轻松构建“24+1 时”生活圈,在家门口就能实现“24 小时不打烊”的快乐!深嘉上府售楼处电话4008569058☑️☑️
深嘉上府售楼处电话4008569058☑️☑️

玻璃幕墙+金色格栅塔冠
深嘉上府售楼处电话4008569058☑️☑️远远望 去,外立面宛如镶嵌在城市间的水晶,质感满满!同时,四栋楼一字排开,每一栋都尽享超大楼间距,每一户都能将室内采光度拉满!哪怕是低楼层也不用担心晒不到太阳!深嘉上府售楼处电话4008569058☑️☑️

深嘉上府售楼处电话4008569058☑️☑️
全龄段公区部分
宝妈带娃有儿童活动区,滑滑梯、大草坪一应俱全!
年轻人健身有全龄运动场,夜跑、打球功能齐全!
老人散步有林间密径、还有配置丰富的架空层空间,邻里交流活动风雨无阻!
深嘉上府售楼处电话4008569058☑️☑️

深嘉上府售楼处电话4008569058☑️☑️
项目还配置了以往千万豪宅才有的 首层与地下双重精装入户大堂,给你满满的归家仪式感!深嘉上府售楼处电话4008569058☑️☑️

深嘉上府售楼处电话4008569058☑️☑️
户型分布↓
(首开4号楼)

户型鉴赏↓

深嘉上府售楼处电话4008569058☑️☑️








深嘉上府售楼处电话4008569058☑️☑️








项目区位配套
深嘉上府售楼处电话4008569058☑️☑️安亭,嘉定新城产业根基所在。庞大汽车产业集群,约 5502.9 亿元规模以上工业产值,带动板块下一个增长极。(数据来源:安亭观微,数据截止时间:2022 年底)深嘉上府售楼处电话4008569058☑️☑️
深嘉上府售楼处电话4008569058☑️☑️安亭汽车产业链为嘉定贡献了约 70%产值、约 60%销售、约 50%GDP、约 40%就业、约 30%税收,是嘉定发展不可或缺的重要主导型产业。(数据来源:界面新闻,数据截止时间:2019 年底)深嘉上府售楼处电话4008569058☑️☑️

深嘉上府售楼处电话4008569058☑️☑️根据《嘉定新城十四五规划》,嘉定新城将以打造世界级汽车产业中心为契机,大力构建汽车“新四化”等千亿级产业和在线新经济为引领的新动能体系。目前、氢能港、蔚来、上汽、沃尔沃、丰田等均落址于此,成为嘉定二次发展的重要源泉。深嘉上府售楼处电话4008569058☑️☑️

深嘉上府售楼处电话4008569058☑️☑️嘉定新城立足打通长三角一体化和虹桥国际开放枢纽的链接通道,构建“一核一枢纽、两轴四片区”的规划新格局。“一枢纽”即安亭枢纽——以安亭北站、安亭西站为核心,无缝连接虹桥国际开放枢纽,打造站城一体化、辐射长三角的综合交通枢纽。(信息来源:《嘉定新城总体城市设计》)深嘉上府售楼处电话4008569058☑️☑️
深嘉上府售楼处电话4008569058☑️☑️除此之外,上海 2035 规划中的宝嘉线、嘉青松线即将启动,嘉安高速延展嘉定向东,与宝山互通,以安亭为枢纽核心,嘉定再次站在了时代发展的风口之上。深嘉上府售楼处电话4008569058☑️☑️

深嘉上府售楼处电话4008569058☑️☑️
交通配套方面:
深嘉上府售楼处电话4008569058☑️☑️项目位 于曹安路,为东西向重要干道四通八达,快速接驳沪嘉高速公路、沪宜公路、外环高速公路、中环路等多条黄金动脉链接市区及周边城市;本案距离地铁11号线上海汽车城站约3.5KM,快速高效通达市区深嘉上府售楼处电话4008569058☑️☑️

深嘉上府售楼处电话4008569058☑️☑️全系配套,将向上的生活理想兑现于日常丰盛城市资源,日常烟火气息、松弛自然氛围,都是这里的生活常态。热气腾腾的生活场域,熨贴向上的身心。深嘉上府售楼处电话4008569058☑️☑️
5 大商业体——嘉亭荟城市生活广场、安亭财富广场、三德广场、中信泰富万达广场、嘉实生活广场。深嘉上府售楼处电话4008569058☑️☑️

深嘉上府售楼处电话4008569058☑️☑️4 所 专业医疗——安亭医院、东方肝胆医院(三甲)、瑞金北院(三甲)、嘉定妇幼保健院深嘉上府售楼处电话4008569058☑️☑️

深嘉上府售楼处电话4008569058☑️☑️4 大 生态公园——嘉北郊野公园、安亭汽车博览公园、远香湖公园、嘉定紫藤园
深嘉上府售楼处电话4008569058☑️☑️

5 处休闲配套——市民广场、保利大剧院、安亭老街、颖奕安亭高尔夫球场、州桥老街
深嘉上府售楼处电话4008569058☑️☑️

深嘉上府售楼处电话4008569058☑️☑️