建发联发·青云上售楼处电话:400-9975-759
建发联发·青云上营销中心热线400-9975-759(官方预约看房热线)
三站金桥双轨交
「建发联发·青云上」现已过会
总价450万起
建面约95/116㎡焕新三房
实景展示中心即将盛大开放
正在认购
建发青云上
建发青云上 售楼处电话:400-9975-759
【售楼处预约热线】(一对一热情服务)
看房请务必致电与销售确认时间,仅预约客户可享受开发商内部优惠,专属新房预约奖!
建发联发青云上售楼处电话:400-9975-759
最新消息,浦东曹路「建发联发青云上」正在热销中!推出建面约95/116㎡三房,均价约5.15万/㎡!

⛩项目名称:「 建发联发青云上 」
👑项目简介: 浦东曹路 高品质住宅
🗣最新动态: 正在热销中
📍区域板块:浦东曹路
🏠产品介绍: 推出建面约95/116㎡高层,均价约5.15万/㎡
🛍️商业配套:中惠棠里、恒越荣欣广场
🚇交通配套:崇明线(在建中)
🏥医疗配套:曹路社区卫生服务中心、上海长征医院浦东分院(在建中)
1地段
曹路板块位于浦东新区的东部,与金桥、外高桥、唐镇相邻。这三个板块均是产业聚集区域,金桥开发区聚焦于三大产业——未来车、新通信、智能造,以浦东1/50的土地贡献了浦东1/4、上海1/15的工业经济规模;外高桥保税区是中国第一个保税区;唐镇北部为上海重点打造的金融信息服务产业基地。
从地块规划的信息来看,中小套户型的要求占比为60%;500万内的刚需小三房为主。
交通便利:地块距在建崇明线一期凌空北路站约1公里以内(步行约950米左右),待崇明线一期2026年开通后,通过换乘12号线可达杨浦、虹口、静安、黄浦、徐汇等核心区域,换乘9号线可直达陆家嘴,交通能级将大大提升;
此外,地块周边绕城高速、外环高速环绕,距离外环高速入口直线距离约3.2公里,驾车约15分钟。


建发联发青云上售楼处电话:400-9975-759
示意图

周边配套:
地块3公里范围内各类配套齐全,生活便利,商业配套有中惠棠里、恒越荣欣广场等;

实景图
医疗配套有曹路社区卫生服务中心等;未来,还将新增一座三甲医院——上海长征医院浦东分院,预计将于2024年建成,届时医疗能级也将大幅提升。

效果图
教育方面12-01地块东侧在建幼儿园,预计2023年7月份竣工,15-01地块南侧在建初中和小学,预计2024年6月份竣工备案完成移交教育局开办,预计招生时间2024年9月(具体以教育局为准);
板块市场:
板块内目前无在售项目,板块内近年来唯一出让的普通涉宅地是距离地块3.4公里的招商璀璨城市,房地联动价45000元/㎡。该宗地块为商住用地,住宅面积5.1万方,占比30.9%;商业面积11.3万方,占比69.1%。
项目于去年7月首开,房价达到54000元/㎡,首开认购率178%,入围分67.59,2个月后加推,开盘认购率154%,入围分62.76,两次均开盘即售罄,热度极高。
2产品
地块名称:浦东新区曹路基地15-01地块四至范围:东至金拓路,南至15-02地块,西至金开南路,北至民秋路建设用地面积:23556㎡(35.33亩)规划建筑面积:47112㎡用地性质:住宅用地起始价:12.15亿元成交价:13.365亿元成交楼面价:28369元/㎡溢价率:10%竞得人:建发&联发房地联动价:51500元/㎡
根据出让合同显示,项目需配建5%以上的保障性住房,全装修比例50%,要求中小套户型不得低于住宅总建筑面积的60%,容积率2.0,限高50米,住宅套数下限496套,套均面积约95㎡!

建发青云上 售楼处电话:400-9975-759


据浦东新区官网显示,上海第二轮土拍上半场中,建发+联发拿下的15-01地块;

项目户型图

建发青云上 售楼处电话:400-9975-759
主卧套房
独立卫浴,尊崇惬意起居生活
三开间朝南
让阳光与清风 交织心灵的温暖
餐客厅一体化
扩容活动空间,延伸家居享受


样板间实拍图

建发联发青云上售楼处电话:400-9975-759


建发青云上 售楼处电话:400-9975-759


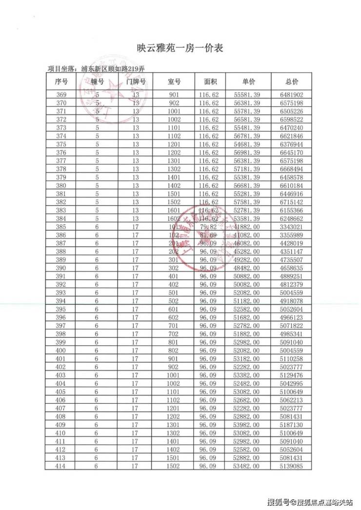
一房一价表



建发青云上 售楼处电话:400-9975-759





建发青云上 售楼处电话:400-9975-759





建发联发青云上售楼处电话:400-9975-759
外环外购房不再限制套数,不再区分单身和家庭购房的政策,让上海外环外新房和二手房的成交量不断增加。政策落地两周内,外环外新房成交套数、均价,分别环比增长103.8%和12.8%。而由于外环外既有住房不再计入限购,使得外环内新房和全市的二手房交易也十分活跃。

敲锣、打鼓、放礼炮,让这场选房充满了仪式感。根据摇号顺序,200多组客户鱼贯而入,在180多套房源里选择心仪的家。摇号在前的,早已心有所属。摇号在后的,紧张如同揭榜。每组客户只有60秒的决策时间。现场不时传来“恭喜”“没了”“快决定”的声音。

经过了刺激的三小时,这个位于宝山淞南的楼盘,放出的180多套房源基本销售完毕,这也是近期入市的楼盘中,供应量最大的。那么,为什么一个位于中外环之间、本不是“沪六条”政策重点利好区域内的楼盘,能有如此底气?
宝山淞南某楼盘营销负责人王丽萍点出原因:有单身人士解除限购,也有家庭因外环外房产不再计入套数而被“释放”出购房资格。

确实,在这个新盘里,约有20%的认购客户,都是受益于新政。购房者严先生就是其中之一。他笑着说:“我家外环外有几套拆迁房,新政让我们改善生活更方便了!”

除了放宽购房资格,还要让一直有资格的人也愿意出手。新房价格已经连续六年多保持同比上涨,而“沪六条”的落地,让二手房市场也逐步活跃了起来。像莘庄区域,就有大量改善客蠢蠢欲动。
刘女士本就在外环外有2套房,一套还未卖掉,新政之下,她果断开始在外环外继续看房。“想让老人住得近一点,但又各自独立。现在利率低、政策好,干嘛不贷?”她笑着说。

根据市场反馈,9月中旬,房贷政策也再次优化,只要“能买就能贷”。这也让更多改善型的购房者,不再纠结。太平洋房屋珠城路店店长袁扬帆表示,新政实施约一个月来,市场成交客户的主体已从此前的观望型客户,转变为新增的改善型客户。他指出,贷款优惠等政策是促使这批客户决定入手的主要原因。

中介数据显示,外环外表现尤其突出,新增客占比 环比提升了1.3个百分点,成交占比 环比大增7个百分点。太平洋房屋业务策略部主管程红分析认为,300万以下和500万至700万这两个代表刚需入门与改善型置业的价位段成交量显著增长,是一个积极信号。它清晰地表明新政成功推动了住房置换链条的运转,政策导向效果显著。
而从全市来看,新政出台后,几乎每周的新房成交量都处在近10万平米的高位,其中外环外的占比,从此前的40%多,最高跃升至70%以上。上海中原地产分析师卢文曦表示,外环外的交易活跃度主要集中在“五个新城”区域。这些区域交通与生活配套成熟,新政的推动显著加快了购房者的决策速度。

在外环外成交活跃的带动下,9月中旬,全市二手房市场的成交也明显上了一个台阶。上周末两天,全市网签量双双突破千套。政策多管齐下,让置换客们吃上了定心丸:此时不出手,更待何时?
一位购房者表示:“新政给了我们楼市企稳回暖的信心,让我们下定决心在此时入手。” 另一位成功卖房的业主则欣喜地称:“市场出现利好趋势,房子卖得很顺利,这真是需要一点魄力。”
“沪六条”不仅让改善型购房需求加速释放,也有利于促进职住平衡。在“单身视同家庭”的政策之下,非户籍单身人士新增了购房资格,与此同时,外环外的产业集聚区,本就是不少新上海人和青年创业者落户上海的首选,“沪六条”能更好帮助他们解决安居问题。随着政策组合效应逐步显现,今年上海楼市“金九银十”的成色值得期待。