中企云萃森林(售楼处) 首页 -中企云萃森林销售中心 - 环境 - 户型价格 - 地址 - 楼盘详情 - 配套 - 电话 - 交房时间 - 配套 - 电话 - 交房时间
扫描到手机,新闻随时看
扫一扫,用手机看文章
更加方便分享给朋友





2021年10月,中华企业&世博土控联合体以121.96亿,拿下东区9个单元的其中4幅住宅用地开发权【即中企云萃森林】,总建筑面积约19.42万方。
这4副地块分别是三林楔形绿地东区(含部分配套开发用地)15号(05-11,住宅)、17号(05-14,住宅)、19号(06-07,商业)、20号(08-02,住宅)。

东区:
东区的多块空地为动迁房,主要集中在南北两侧,地块容积率最低也有1.8,甚至能看到不少容积率在 2.5 左右的宅地。因此,未来东区住宅大概率以高层为主要住宅形式。

东区和西区最大的不同在于教育和公建设施配套,东区人口更密集,有5幅教育用地,从幼儿园至初中;而西区仅有1幅教育用地,作为幼儿园。

建成效果图如下:




05-11丶05-14这两块地的规划设计已经公示:2个都是高层住宅社区,开发商为中华企业。

建设单位:上海淞泽置业有限公司
项目名称:三林楔形绿地(含部分配套开发用地)15号(05-11)地块项目
容积率:2.3
绿地率:35%
控制高度:45m,局部80m
建设内容:该地块拟建8-25层中高层住宅,以及配套公建用房
用地面积:27717.6㎡
总建筑面积:约92121.1㎡
其中地上建筑面积:66945.4㎡、地下建筑面积:约25175.7㎡
建设单位:上海淞泽置业有限公司
项目名称:三林楔形绿地(含部分配套开发用地)17号(05-14)地块项目
容积率:2.5
绿地率:35%
控制高度:60m,局部80m
建设内容:该地块拟建7-24层中高层住宅,以及配套公建用房
用地面积:25753.9㎡
总建筑面积:约102148㎡
其中地上建筑面积:67572㎡、地下建筑面积:约34576㎡
02.
推售信息
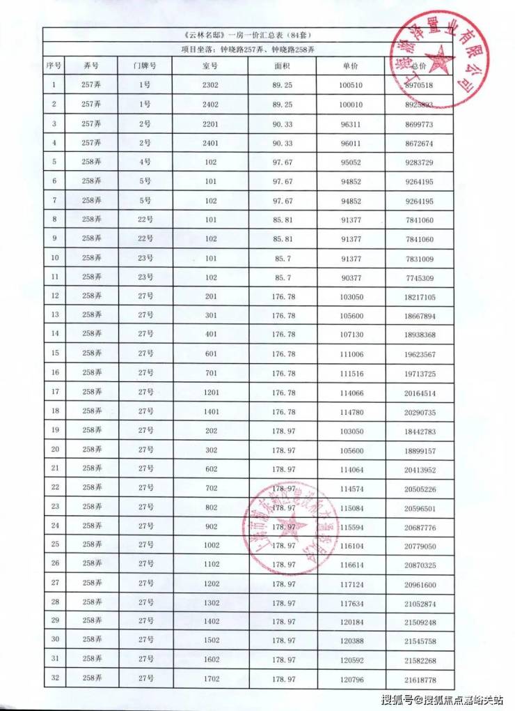
据悉楼盘销售总监描述,中企·云萃森林目前在售建面约90㎡、98㎡、123㎡、175㎡2-4房,均价10.5万/㎡,少量房源,臻稀递减中。

在售户型如下:
A户型 建面约98㎡3房
B户型 建面约125㎡4房
D户型 建面约90㎡2房
三期G/H户型 建面约175㎡4房
J/K户型 建面约90㎡2房
项目在售户型图发布:
附项目最新高清效果过程稿:
03.
周边配套
继前滩之后,黄浦江边又将诞生一个新版块!
三林前滩南滨江,它值得全上海关注。
有人说,这是黄浦江核心段最后的“成片开发”;有人说,这是中心城区最生态的板块;有人说,这是离前滩最近、关联最紧密的板块;也有人说,这里会是上海真正的新一代国际社区。这些说法是否准确暂且不论;但足以见得这个板块的关注度和巨大潜力。
它位于上海黄浦江核心段一线:北至前滩,南至筠溪小镇,西至黄浦江,东至南北高架-济阳路。

这里又称“真·前滩南”。之所以加个“真”,是因为前两年很多媒体给浦江镇、甚至奉贤区的新盘打广告时都自称为“前滩南”,企图蹭前滩的热度。
而前滩南滨江是紧贴着前滩的南面,二者的分界线就是中环路的道路中心线,是真正的“0”距离。

前滩南区位示意图
前滩是上海炙手可热的中央商务区,拥有超过350万方的建筑量,汇集众多外资企业。
而前滩南滨江,与前滩的规划定位、功能、风格、开发主体都截然不同。
一个是中央商务区,一个是楔形绿地;
一个是金融办公功能,一个是生态宜居功能;
一个是车水马龙,一个是宁静致远;
一个是浦东主导开发(陆家嘴集团),一个是市里主导开发(上海地产集团)……
当年前滩南滨江编制规划时提出的规划设计理念是:“进一步都市繁华,退一步田园悠然。”
前滩南滨江规划示意图
最近几年,因为前滩板块的热度,逐渐让它成为了上海楼市的“暴风中心”,但是却逐渐被购房者忽视了它隶属于三林板块。
而三林板块属于浦东区的3大单元中的陆家嘴-世博单元。(浦东新区的中心城区被规划分为三个单元:陆家嘴-世博单元规划、张江单元规划、金桥-外高桥单元规划。)
陆家嘴-世博单元包括陆家嘴和世博-前滩,这两块属于上海的中央活动区,还包括花木-龙阳路城市副中心,以及洋泾、北蔡、三林等热点地区。
【陆家嘴-世博单元范围】
随着前滩板块的日益满负荷和板块成熟,三林承接了部分住房需求的外溢。
三林板块原本就是因为价格的亲民,而被很多刚需客、新上海人上车的优选地,三林板块也连续多年成为上海各大板块中二手房成交大区。
一般在浦东世博板块或人民广场附近上班的人为了通勤方便会把家安在这里。
因为三林是浦东区距离市中心最近的区域。不仅轨交发达,自驾也非常便捷。
整个区域内有8/11/6号线横穿而过,在板块内部设置了凌兆新村站、三林站、三林东站和浦三路站,但是6号线灵岩路南站、上南路站、华夏西路站基本上也会利好到一部分三林板块的居民。

轨交示意图
项目位置就在浦东新区前滩南的钟晓路近润林路,距离在建的19号线凌兆新村站直线仅约150米左右:

中企云萃森林所处的三林滨江东区,将建设成为三林地区的地区级公共中心,海派现代的综合宜居社区,不仅满足当地居民的动迁安置和配套需求,还能为整个三林地区提供公共服务。

交通配套方面,三林滨江本身就具有优越的大交通区位,整个板块紧邻中环连接陆家嘴、世博、前滩的滨江主干路从片区中部穿过,大幅增强了三林滨江与黄浦江东岸主要功能区的连通性。

图源网络
8号线已经通车并运营多年,于三林滨江设有凌兆新村站,未来在这里还将能与在建中的19号线进行换乘!而该站点便在中企·云萃森林小区门口,妥妥的正三轨交盘。
板块内还有机场联络线在建和26号线规划中以及BRT中运量的公共交通线路。

区位示意图
区域内的商业配套本就十分丰富。
项目北侧便是前滩,对于中企·云萃森林的业主来说:太古里、晶耀前滩、太古汇(在建中),信德文化中心(在建中)香格里拉、四方城(在建中)等,今后都在业主的生活圈内。同时项目本身也是一个集商业、时尚休闲、文娱生活、生态人居为一体的大型TOD综合体,下楼即享繁华配套。
图源网络
教育资源方面,东区已经确定有5幅教育用地规划,涵盖幼儿园至初中!

不论是地段还是配套能级,中企·云萃森林所在的三林滨江毫不逊色!中企云萃森林售楼处电话:4 00-8874-108✔【已认证】⭐⭐⭐⭐⭐
中企云萃森林营销中心电话:400-88 74-108✔✔【已认证】⭐⭐⭐⭐⭐
上海中企云萃森林官方售楼处电话:400-8874-10 8 VIPLINE✔✔✔【已认证】⭐⭐⭐⭐⭐
如有问题可来电咨询,线上售楼中心,预约销售专员,一对一为您服务!
想了解中企云萃森林更多信息?拨打售楼处营销中心热线:400-8874-108 (中介勿扰)【24小时热线】
楼盘项目全面介绍,本电话为开发商提供线上预约售楼电话,楼盘项目全面介绍(包含楼盘简介,均价,房价,现房,期房,别墅,叠墅,大平层,价格,楼盘地址,户型图,交通规划,备案价,备案名,项目配套,样板间,开盘时间,认筹时间,楼盘详情,售楼处电话,最新消息,最新详情,周边配套,一房一价,最新进展等详情咨询)楼盘详情丨价格丨更多优惠丨机不可失丨欢迎致电丨诚邀品鉴!售楼处位置丨特价房丨工抵房丨剩余房源丨户型图丨最新消息丨免责声明:将文章内容综合来源于网络、只作分享,版权归原作者所有!!如有侵权,请联系我们,我们第一时间处理如有问题欢迎来电咨询,专业一对一热情服务,让您用专业眼光去买房.如果您想了解更多楼盘详情,欢迎提前预约拨打
2025年三季度,中央部委进一步完善稳市场政策的顶层设计。
城市高质量发展方面,7月份中共中央时隔十年召开城市工作会议,部署7方面重点任务,包括构建房地产发展新模式,推进城中村和危旧房改造等。此后中央部委在多次重要场合表态,要求各部门和地方要落实好会议精神,高质量开展城市更新,并在8月末将推动城市高质量发展的意见正式成文下发,进一步细化落实相关发展目标。这一系列政策体现了对房地产市场稳定的重视,以及通过城市更新来推动房地产市场和城市高质量发展的决心。
与此同时,房地产增值税留抵退税、支持人口发展、外汇购房便利、城市存量空间盘活规划等配套性政策也在同步推进。
地方层面,也在积极落实一系列稳市场政策,城市更新类新政发布频次显著提升,公积金优化政策持续推进,尤其是北京、上海、深圳均在期间放松了限购政策,成为了2025年下半年地方稳楼市的重要政策风向标。
从中央政策快速细化落实与地方配套持续跟进的节奏来看,年内房地产政策仍将保持较高发力强度。随着盘活存量用地规划逐步落实,以及保障性住房和高品质住房建设进一步推进,预计四季度行业库存压力有望缓解。在中央与地方政策协同发力、双向驱动的背景下,房地产发展新模式的构建进程将进一步提速。
2025年7月15日,中央城市工作会议在北京举行,这是建国以来第五次中央城市工作会议,上一次召开中央城市工作会议,还是在10年前。此次中央城市工作会议提到了两个变化——“我国城镇化正从快速增长期转向稳定发展期,城市发展正从大规模增量扩张阶段转向存量提质增效为主的阶段。”会议提到,加快构建房地产发展新模式,稳步推进城中村和危旧房改造;严格限制超高层建筑,全面提升房屋安全保障水平;创新城市治理的理念、模式、手段,用好市民服务热线等机制,高效解决群众急难愁盼问题等。
此后政治局、央行、国资委等多部委进一步落实了会议精神,如住建部召开理论学习中心组学习(扩大)会议,传达学习中央城市工作会议精神,要求把城市更新摆在更加突出位置。各地主管部门也纷纷发文表态跟进,7月下半月即有16省市公开发文,表态将加快推进城市高质量发展相关工作。
并且在一个多月之后的8月下旬,中共中央和国务院将城市工作会议要求明确落实成文,发布了关于推动城市高质量发展的意见,文件中再度明确了“两个转向”的判断。构建房地产新模式被归于第四个板块任务“营造高品质城市生活空间”中,与系统推进“好房子”和完整社区建设密切相关。8月30日住建部也表态,将推动城市规划创新促城市高质量发展,积极研究构建一套与城市高质量发展新阶段相适应的城市规划制度体系。
城市化发展进程与城市承载力和居民生活条件改善息息相关,城市工作的优化发展,也必然带来更多高质量的新增投资和有效住房供给,并进一步挖潜有待释放的存量住房需求,有助于当前房地产市场加快企稳进程。
2025年三季度,财政部围绕提振消费、优化人口结构、激发市场活力等关键领域密集出台政策,通过财政贴息、税费减免等措施,在扩大内需与改善民生间实现精准平衡。
其一,消费贷款贴息政策发力,拉动消费规模增长。8月4日,财政部发布《个人消费贷款财政贴息政策实施方案》。该政策对单笔5万元以下日常消费贷款,以及单笔5万元及以上的家用汽车、养老生育、文化旅游等七大重点领域消费贷款,按年给予1%贴息,且单笔5万元以上消费以5万元为贴息上限。政策实施中,通过线上系统自动匹配消费场景、线下人工核验的方式,实现贴息资金自动结算。以家居家装消费为例,借款人通过手机银行提交申请后,系统可自动扣减贴息。按相关测算,该政策可直接降低居民融资成本约30%,预计能拉动超万亿级消费规模增长,推动经济恢复,利好居民收入水平提升。
其二,优化人口发展政策,减轻家庭养育教育负担。针对人口发展新形势,财政部8月推出系列政策,完善生育支持体系。《育儿补贴制度实施方案》明确,2025年起对3周岁以下婴幼儿按每孩每年3600元标准发放补贴,2025年前出生的婴幼儿可按剩余月份折算申领。同时,国务院《关于逐步推行免费学前教育的意见》落地,秋季学期起免除公办幼儿园大班儿童保育教育费,民办幼儿园参照同类型公办园标准减免,财政对差额部分给予专项补助。叠加个人所得税专项附加扣除提高至每月2000元/孩的政策,预计每年可减轻家庭养育成本超千亿元。
其三,完善增值税退税政策,支持房地产行业发展。8月22日,财政部、税务总局出台政策,优化增值税期末留抵退税。房地产开发经营业纳税人,若与2019年3月31日期末留抵税额相比,申请退税前连续六个月期末新增留抵税额均大于零,且第六个月期末新增留抵税额不低于50万元,可申请退还第六个月期末新增留抵税额的60%。政策还允许纳税人缴回已退税款后重新选择优惠方式,增强企业自主选择权,有效缓解企业资金压力,尤其是房地产开发经营企业的项目建设资金压力。
三季度出台的这些政策,体现了财政政策在稳增长、调结构、惠民生中的重要作用。通过需求端拉动消费、供给端支持经营主体、民生端减轻家庭负担的联动措施,为经济复苏培育了内生动力,也为人口长期均衡发展奠定基础,长期而言有利于房地产市场的需求侧稳定。
9月11日,国务院批复了全国部分地区要素市场化配置综合改革试点实施方案。同意2年内开展北京城市副中心、苏南重点城市、杭甬温、合肥都市圈、福厦泉、郑州市、长株潭、粤港澳大湾区内地九市、重庆市、成都市等10个要素市场化配置综合改革试点。并印发了10个地区的试点改革方案。
在土地要素方面,自然资源部自然资源开发利用司司长孔维东表示,探索内容主要包括三个方面:一是深化土地管理制度改革。放权地方管理,可自主判断人地挂钩;二是创新产业用地供应,完善供应体系、探索用地类型转换等;三是盘活存量土地和低效用地再开发,鼓励国企事业单位低效用地再开发等。
对比十区域改革方案来看,共性在于:所有试点地区均围绕产业用地市场化改革、盘活存量土地、农村集体经营性建设用地入市等方面推进改革,意在不断提高土地要素市场化配置水平。
差异化方面,各试点地区根据自身地理、经济、产业特点,在海域资源利用、飞地经济、分层设权、TOD/EOD开发、混合用地等方面进行了特色化探索。如杭甬温推行“限地价竞贡献”出让方式,土地出让更重视后续地均产值,而非单纯的比拼拿地价格。
随着要素市场化配置试点的落实,势必将进一步加快提高各地的土地使用效率,地方层面有望迎来更多实质性利好的细化政策和项目推进。尤其是进一步放权地方管理,以及允许探索用地类型转换等举措,将在供给侧为当前行业止跌回稳提供更多助力。
2025年三季度,北京、上海、深圳三座核心城市密集出台房地产需求扶持政策,围绕限购解绑、公积金松绑、商业贷款优化及人才专项支持等维度精准发力,旨在缓解市场调整压力、满足合理住房需求。
从限购解绑情况来看,三城均采用“分区域差异化松绑”策略,但宽松力度与范围各有侧重。
北京以五环为界划分调控梯度,五环外对京籍及社保满2年的非京籍全面不限购,五环内则维持京籍限购2套、非京籍社保满3年限购1套的标准,同时取消离婚购房3年限购限制,二孩家庭二套房可按首套贷款,既保障核心区域市场稳定,又释放外围区域需求;
上海以外环为界,外环外对沪籍及社保满1年的非沪籍不限购,外环内保持沪籍限购2套、非沪籍社保满3年限购1套,且将单身人士纳入家庭购房政策范畴,非沪籍首套房还可免征房产税,进一步降低外地居民在沪购房门槛,并且青浦区在9月19日进一步升级了限购放开,外来无房人才即便社保未满1年,也可通过人才绿色通道申报购房资格;
深圳的限购松绑力度相对更大,非核心区(8区)对深籍及社保满1年的非深籍不限购,无社保的非深籍也可购2套,盐田、大鹏两区完全取消限购,核心区(福田、南山等)则仅对纳税100万以上且员工10人以上的企业有限制,更侧重激活全域住房需求。
公积金政策方面,三城均从贷款额度、首付比例、提取规则三方面同步松绑,且多向多子女家庭、绿色建筑倾斜。
北京首套公积金贷款最高160万、二套100万,缴存年限每满1年可贷15万(上限160万),城六区多子女家庭额度最高达168万,同时支持提取公积金支付首付且不影响贷款额度;
上海首套公积金最高贷184万、二套149.5万,绿色建筑贷款额度上浮15%,多子女家庭最高可贷216万,灵活就业人员连续缴存12个月即可申请贷款;
深圳个人公积金最高贷60万、家庭110万(按账户余额16倍计算),首套及多子女家庭最高可贷154万,叠加保障房或绿色建筑优惠后额度可达231万,首套房可全额提取公积金付首付,二套房提取比例为60%,还支持提取支付契税,政策灵活性更强。
商业贷款与税收优惠层面,三城均有降息降首付动作,且统一执行“满2年免征增值税”政策。
北京首套商业贷款利率为LPR-45BP(3.05%),二套五环内3.45%、五环外3.25%,首付比例首套五环外15%、二套统一30%;
上海取消首套与二套商业贷款利率区分,实际利率普遍低于4%,首付比例首套20%,二套外环外30%、外环内35%;
深圳则统一执行LPR-45BP(3.05%)的商业贷款利率,首套与二套首付比例均低至15%,在降低购房成本上力度更突出。
其他支持政策方面,上海非沪籍人才首套房免征房产税,青浦区对社保未满1年的人才开放购房资格,且可享受市场价优惠。
在三季度行业止跌回稳面临阶段性调整,行业销售同比降幅再度扩大的周期性背景下,北上深三城在2025年三季度集中放宽限购政策,不仅有利于提振各自的城市供求预期,也标志着地方稳市场已经进入新阶段,各地主管部门还需进一步加强出台可感可及的有效新政。其示范效应与政策传导逻辑对房地产行业止跌回稳具有里程碑式的风向标意义。
2025年三季度,地方层面共有84个省市167次出台稳市场政策,前三季度累计出台稳市场政策556次,与2024年同期基本持平。面对下半年以来行业波动的挑战,在中央要求“结合城市更新推进城中村和危旧房改造,多管齐下释放改善性需求”的指引下,地方主管部门一方面积极落实城市高质量发展,提高土地要素使用效率,减轻供需负担;另一方面在需求侧积极出台稳市场新政,以优化公积金政策为主要抓手,并同时加强购房税费减免和补贴,而三季度北京、上海、深圳相继松绑限购,更是意味着地方稳市场政策进入了新阶段。
2025年三季度地方房地产政策聚焦六大方向:
一、公积金优化成为政策发力的重点领域,43省市55次发布相关政策。各地通过调整贷款额度、首付比例、放松异地限制及拓展使用场景,减轻购房者负担。
二、31省市36次发布补贴与税费利率优惠政策,激活住房消费需求。通过人才补贴、多子女支持、契税优惠及“以旧换新”等方式直接刺激消费。
三、27省市36次发文推进保障安居工作,通过增加保障房供应、放宽申请门槛、规范运营管理,完善住房保障网络。配售型保障房建设加速推进。
四、27省市33次深化推进城市更新行动,挖掘存量住房与城市发展潜力。
五、21省市26次强调提升“好房子”建设标准,聚焦品质与绿色智能。以技术导则、规划限制、实施方案为抓手,提升住宅品质。
六、16省市18次优化房地产供给侧管理,促进供需平衡。通过规范销售流程、盘活存量库存、整治市场乱象,优化供给结构。
其他稳市场政策方面,比较值得关注的有北上深解绑限购,苏州、成都限售松绑,加快积压住房需求流动。荆门、衡阳、广州从化区修改预售条件,推进现房、准现房销售,降低相关风险。河南、成都、武汉、南阳支持购房“送学区”,强化住房的配套属性。
四季度,预计中央政策将延续“顶层设计深化+政策协同发力”的主线,聚焦城市高质量发展与房地产新模式构建两大核心方向持续发力。重点关注以下三方面领域:
一、城市高质量发展政策从框架到细则,强化落地性:针对8月《关于推动城市高质量发展的意见》,部委或进一步落实相关细则,明确高品质住宅控规指标,城市更新“留改拆”分类实施流程,同时细化房地产新模式与保障房体系的衔接规则,解决地方执行中的“模糊地带”。
二、土地要素试点从探索到规范,提炼可复制经验:围绕10省市要素市场化配置试点,进一步规范国企低效用地再开发、产业用地类型转换的审批流程;总结杭甬温“限地价竞贡献”、重庆TOD开发等特色模式,形成可推广的试点案例库,为后续全国推广奠定基础。
三、财政金融双向协同,精准缓解行业资金压力:财政政策的民生与行业支持属性将进一步强化,个人消费贷款贴息、育儿补贴等政策或结合四季度消费旺季优化执行细节,企业经营税费等方面也有望迎来更多利好消息。同时央行或配合出台专项信贷工具,支持保障性住房与城市更新项目融资,形成“财政+金融”的政策合力,加速行业库存去化与新模式构建。
声明:本文由入驻焦点开放平台的作者撰写,除焦点官方账号外,观点仅代表作者本人,不代表焦点立场。
