2026海尚华庭 (售楼处) 官方首页 - 海尚华庭销售中心 - 环境 - 户型 - 价格 - 地址 - 楼盘详情 - 配套 - 电话 - 交房时间 - 配套 - 电话 - 交房时间
扫描到手机,新闻随时看
扫一扫,用手机看文章
更加方便分享给朋友



最新消息,静安内环内,新出优质项目——【静安-海尚华庭】
推售建面约105-108-120-131m²2-3房
均价4.65万/m²,总价480-630万 装标6000元/m²

在售房源6席,在售楼层(10F),其中,108户型赠送8m²,131户型赠送12m²,款清交房,先到先得,手慢不在!
梯 户 比:4梯6户(全新电梯)
产权年限:至2046年6月
土地用途:综合(商、住、办)
得 房 率:75%
物 业 费:7.5元/㎡/月
物业公司:上海华舟物业管理有限公司
车 位 费:700元/月
水 电 费:水费6.29元吨、电费1.15元/度
装 标:6000元/m²

静安内环.焕新升级.价值跃升高地
屹立静安内环烫金地段(静安内环内占比上海面积仅0.3%)
依托力度空前的旧区改造与土地重整工程
50%低效用地实现焕新升级
不仅重塑现代化城市风貌,更释放出巨大发展空间
在静安内环房价普遍高昂的当下,本区域以4字头单价借势旧改红利与枢纽能级跃升,正处于价值跃升前期无疑是抢占内环稀缺资源的最后机遇,投资潜力不容小觑。

与住宅同小区,共享小区环境、配套,全方位升级。
从大堂到全新电梯、整层公区、入户空间室内都进行了整体升级,从踏入大堂起每一步都感受到精心设计的礼遇与尊贵感。

户型设计上,打破公寓常规暗间的局限,项目全部设计成全明2房或3房格局,做到没有一个暗间的居住空间,并全系标配主卧套房+双卫配置,提升居住配置。
木色生长,以“自然为底色”:通过元木材质与极简线条的碰撞,营造松弛感与呼吸感。

流动的极简主义:创造一种静谧而充满力量的生活方式。

轻法式浪漫:在奶油色的温柔里,邂逅优雅生活。

采用当今世界一流品牌,例如:大金中央空调、松下冰箱/洗烘一体机、韩国大宇地暖、老板油烟机/蒸烤一体机/洗碗机、AO史密斯、全系科勒卫浴。
交通方面:三轨环绕,距离1号线中山北路站仅700米,1/3/4号线上海火车站站750米,1站汉中路站换乘12/13号线,南京西路1站即达,3站直达人民广场。
自驾上,3分钟上内环、南北高架,5分钟抵达北横通道,无缝衔接浦西核心商圈。

商业方面:紧邻金融街购物中心,吃喝玩乐购一站式消费,3公里烫金生活圈,苏河湾、不夜城、南京西路黄金三角商圈,荟萃全球潮流生活。
医疗方面:项目1公里静安闸北中心医院,2.3公里同济大学附属第十人民医院,3公里同济大学附属同济医院等三甲医疗配置,为您及家人的身体健康保驾护航。
【海尚华庭】
静安内环 不限购精装公寓!
约105-130m²2-3房
总价480万起 仅6席 款清交房!
海尚华庭售楼处电话:4 00-8874-108✔【已认证】⭐⭐⭐⭐⭐
海尚华庭营销中心电话:400-88 74-108✔✔【已认证】⭐⭐⭐⭐⭐
上海海尚华庭官方售楼处电话:400-8874-10 8 VIPLINE✔✔✔【已认证】⭐⭐⭐⭐⭐
如有问题可来电咨询,线上售楼中心,预约销售专员,一对一为您服务!
想了解海尚华庭更多信息?拨打售楼处营销中心热线:400-8874-108 (中介勿扰)【24小时热线】
楼盘项目全面介绍,本电话为开发商提供线上预约售楼电话,楼盘项目全面介绍(包含楼盘简介,均价,房价,现房,期房,别墅,叠墅,大平层,价格,楼盘地址,户型图,交通规划,备案价,备案名,项目配套,样板间,开盘时间,认筹时间,楼盘详情,售楼处电话,最新消息,最新详情,周边配套,一房一价,最新进展等详情咨询)楼盘详情丨价格丨更多优惠丨机不可失丨欢迎致电丨诚邀品鉴!售楼处位置丨特价房丨工抵房丨剩余房源丨户型图丨最新消息丨免责声明:将文章内容综合来源于网络、只作分享,版权归原作者所有!!如有侵权,请联系我们,我们第一时间处理如有问题欢迎来电咨询,专业一对一热情服务,让您用专业眼光去买房.如果您想了解更多楼盘详情,欢迎提前预约拨打
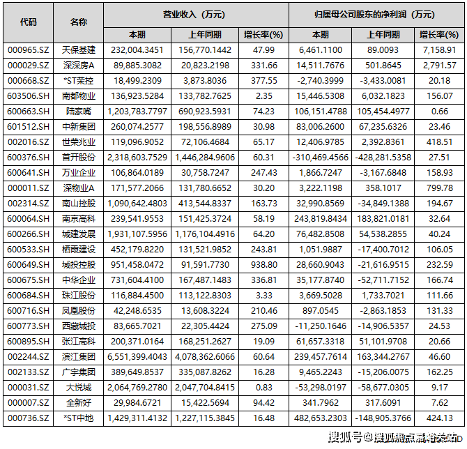
中房网根据同花顺iFinD数据统计,截至10月31日,A股共有85家上市房企披露2025年三季度业绩报告。其中,超4成房企营收实现同比增长;43家房企实现盈利,占比超五成;归母净利润实现同比增长的房企共有37家,占比为43.53%。
自2022年起,房地产行业业绩承压态势已延续数年。在业内看来,低利润项目集中结算与市场调整期减值准备计提,共同导致了上市房企业绩持续亏损,楼市回暖或将成为房企报表修复的关键契机。
超4成房企营收同比增长
从上市房企三季度报告来看,营收实现同比增长的房企共有36家,占比为42.35%;营收同比下滑的有49家,占比57.65%。
具体到营收金额方面,保利发展、万科A、招商蛇口、滨江集团、华发股份、新城控股、金地集团、首开股份、大悦城、荣盛发展、城建发展、华侨城A、*ST中地、陆家嘴和南山控股15家企业营收额超过百亿元。其中,保利发展、万科A和招商蛇口分别以1737.2亿元、1613.9亿元和897.66亿元的营收居于A股上市房企前三位。

部分头部房企亏损较大
归母净利润方面,前三季度共有43家房企实现盈利,占比超过五成。
其中,有7家房企归母净利润超过10亿元,分别是*ST中地、招商蛇口、南京高科、滨江集团、保利发展、上海临港和陆家嘴。

上述房企中,*ST中地(中交地产)的表现较为亮眼。三季报数据显示,公司前三季度营收达142.93亿元,同比增长16.48%;实现净利润48.27亿元,扭亏为盈,同比大幅增长424.13%。
作为一家“披星戴帽”的房企,其账面盈利的核心驱动力来自重大资产重组。今年6月,*ST 中地公告称,计划将旗下房地产开发业务相关的全部资产与负债,转让给控股股东中交房地产集团有限公司。这一重组事项在8月31日完成实质资产交接,房地产业务自此正式退出公司合并报表范围。
据悉,资产重组为* ST中地带来64.89亿元的资产置出相关收益,这一数据直接拉动了当期利润表现,同时推动归属于上市公司股东的净资产转正至12.48亿元。
让人唏嘘的是,三季度业绩亮眼的房企,恰恰是已经退出房地产开发业务的那家。
值得注意的是,期内部分龙头房企归母净利润出现较大亏损,如万科、*ST金科、华夏幸福等。
数据显示,今年前三季度,万科实现营业收入1613.9亿元,同比下滑16.61%;归属于上市公司股东的净亏损280.2亿元,同比下滑56.14%。
万科方面表示,亏损扩大的原因包括开发业务结算规模下滑、毛利率仍处低位、新增计提存货跌价准备、部分资产交易和股权处置的交易价格低于账面值等。
另一亏损规模超百亿的为*ST金科。前三季度,金科实现营业总收入56.99亿元,同比下滑73.57%;归母净利润亏损107.78亿元,同比下滑102.12%。
还有华夏幸福,其亏损规模也近百亿。前三季度,公司营业收入为38.82亿元,同比下降72.09%,归属于上市公司股东的净利润亏损98.29亿元,同比下滑338.67%。
25家房企实现营收和归母净利润双增
前三季度有25家房企实现了营收和归母净利润的双增长。

有37家房企实现归母净利润实现同比正增长。其中,天保基建、深深房A、深物业A、渝开发、*ST中地、世荣兆业、城投控股、南山控股、中华企业、广宇集团、万业企业、南都物业、新黄浦、凤凰股份、中洲控股、珠江股份、栖霞建设17家房企前三季度的归母净利润增长超过100%。
其中,天保基建前三季度归属于上市公司股东的净利润增幅最大,为7158.91%。天保基建表示,业绩增长主要得益于报告期内满足收入结转条件的项目增加,以及冲回的土地增值税增加和资产减值损失减少。
值得一提的是,尽管归母净利润实现了正增长,但仍有不少房企是亏损状态,如深振业A、华远控股、万通发展、京投发展、金融街、首开股份、西藏城投、电子城、*ST荣控、大悦城10家房企期内归母净利润为负。

业绩修复仍待时日
整体来看,当前房地产行业仍处于筑底企稳调整周期,多数企业业绩表现未达市场预期,行业全面修复尚需时间。
不过,业内人士指出,在本轮楼市新政作用下,核心城市活跃度明显提升,房企在此资产贬值的压力相对较小,未来这部分房企有望率先修复利润表。多家企业也表示,通过在核心城市拿利润较高的项目,逐步带动利润表的修复。
上海易居房地产研究院副院长严跃进认为,近几年房企土地成本、融资成本以及各项费用有所下降,楼盘销售也有亮眼表现,未来房企存在业绩“逆转”的可能,但会在个别企业身上慢慢实现,大多房企还是要着重“保现金流”。
声明:本文由入驻焦点开放平台的作者撰写,除焦点官方账号外,观点仅代表作者本人,不代表焦点立场。
