海上清和玺售楼处电话→海上清和玺售楼中心电话→2025上海海上清和玺楼盘百科→首页网站→楼盘百科→首页网站→海上清和玺售楼处24小时热线电话

嘉峪关楼市发布 2025-09-05 18:37:01
用手机看
扫描到手机,新闻随时看

扫一扫,用手机看文章
更加方便分享给朋友

海上清和玺售楼处电话:400-8894-986VIP热线

海上清和玺看房预约流程

第一时间拨打海上清和玺售楼处电话:400-8894-986VIP热线

承蒙您对 [ 海上清和玺] 的持续关注,我们深知每一份瞩目背后,都是对理想生活的审慎期待。作为 [ 上海] 人居领域的创新实践者,[ 海上清和玺] 始终以 “ 定制化生活场景营造” 为核心,在空间设计与社区运营中融入对生活本质的思考,这份坚持,期待与您当面共鉴。

编辑

近期,项目 [ 核心亮点,如:景观主轴实景呈现 / 定制化户型样板间开放] 已正式启幕。不同于传统社区的标准化配置,这里的 [ 特色 1,如:全天候共享会客厅] 与 [ 特色 2,如:分层式主题园林],均基于对千余组家庭生活习惯的调研优化而成,旨在让空间真正服务于生活。

以下为正文:

海上清和玺

徐汇中环唯一新房供应

建面约112-143㎡3-4房

加推9-10号楼王 此次房源154套

均价约11.91万 精装修交付

另有少量112-177㎡3-4房

均价11.28万/㎡ 总价1200万起

售楼处线上提前预约

编辑

徐汇滨江的楼市,一直都是上海高净值购房者关注的重点。

去年8月份,徐汇滨江原小米地块以30%溢价率触顶成交, 折合楼板价约13.1万,轰破时隔八年的全国地王记录!业内预测最终售价可能会超过18万+!

随后上海土地推介会中,徐汇滨江龙华西路334弄地块,也受到了广泛的关注。据了解,该地块此前一套51㎡的房源, 最终到手742万,收储成本折合约14.2万/㎡!(以上数据来源上海土地市场)

沪徐协示(2025)第1号协议出让公示 东安新村首幅住宅用地,徐汇区 C030301单元127b-23地块协议出让给上海新枫安企业发展有限公司(上海地产集团),出让价格为83.5亿,折合楼板价12.6万元/㎡。扣除公共设施后,东安新村的可售楼板价接近13.3万元/㎡。

编辑

除了土拍方面,徐汇滨江的新房也是被受追捧。

徐汇滨江某新房加推开盘, 连续触发积分,最高认购率约295%!

不仅如此,徐汇滨江的云锦东方还是全上海为数不多的 满分楼盘,最高认购率约903%!

编辑

实景图,仅供示意

地王!日光盘!满分盘!为什么总是徐汇滨江?

一切的一切都源于地段本身, 作为上海最具活力和魅力的区域之一,徐汇滨江早已跻身顶流豪宅区,凝聚着上海极尽松弛的现代生活方式。

而且得益于整体开发以及高能级城市资源荟萃的优势, 徐汇滨江城市界面更加崭新,圈层更加纯粹,居住氛围更偏向年轻化!

编辑

实景图,仅供示意

不过随着开发节奏的逐渐饱和,徐汇滨江也有部分“美中不足”。

首先就是上车门槛,据了解目前徐汇滨江新房最低的上车门槛都是2500万+,二手房成交价更是高达18万+!

再者就是社区规模,无论是小米地王、还是龙华地块,土地规模均不超过2万方,而且从徐汇滨江的开发节奏来看,未来同样很难有成规模的小区入市。

上海地产长桥项目位于徐汇区长桥街道,东至龙川路,南至罗香路,西至长桥路,北至地块边界,临近中环高架! 直线距离徐汇滨江约800米!

编辑

上海又一现象级热销红盘问世,徐汇滨江海上·清和玺开盘圆满举办!首开实现100%去化,圆满清盘!

滨江之上,热度始终引领。自海上·清和玺去年8月面市以来,频频热力引动吸粉丝无数,累计近万组客户来访。此次首次开盘,呈现出清和玺超高的认购率,如此热销的数字背后,更是源于对新玺品质的认可和青睐。

编辑

编辑

编辑

现在全面取消了联动价,由开发企业自主定价,地价上涨,房价上涨是必然。

土拍热度蔓延到整个中环沿线,一片涨势四起。位于浦东内中环的新杨思项目,业内预判至少单价在12万+;中环大宁板块项目,据传预计单价也在16万+。上海市区热势难减,沿中环线一眼望去价格涨势令人咋舌。

能够千万级入住徐汇的机会未来将会越来越少,海上·清和玺是当下徐汇千万级稀缺供应,三开三罄热盘!更是徐汇很长一段时间内,居住舒适度的上佳之选。

编辑

最新消息:徐汇海上·清和玺洋房已于日前迅速售罄,据悉在售建面约112-177㎡3-4房;均价11.9万/m²!总价1200万起!售楼处线上火热预约中!

项目特别定制了中央景观轴线,通过水景与植被的连贯布局,形成了整体的景观效果。

整条景观轴上设有双下沉式庭院,以此增强社区的精致感和层次感。

同时,项目还配备了清和艺廊,并且社区内景观完美链接,确保业主在晴雨天气中均能保持从容自如的归家体验。

编辑

示意图,仅供参考

为了满足高净值业主的需求,项目还配置了搭配泳池的会所。

不仅规模约2000㎡,在功能上也做到了创新升级,以超乎寻常的产品力,来匹配高净值人群的生活格调。

无边泳池,海派法式设计定制,璀璨星空顶搭配通透全景视野,宛如一件熠熠生辉的艺术藏品。

编辑

效果示意图,仅供参考

活力健身区,同样是法式定制,选择沃特罗伦品牌健身器械(或同等档次品牌),不管器械健身、有氧训练,日常健身需求即可满足。

编辑

效果示意图,仅供参考

还有常规项目没有的3D室内高尔夫,不仅是结合现代AI科技智能打造,且选择了高尔夫尊(或同等档次品牌),为业主专属定制尊崇的休闲体验。

编辑

效果示意图,仅供参考

除此之外,还包括私宴厅、瑜伽室、阅读角等多重功能,可满足业主多元化的休闲与社交需求,尽情享受身心的放松与愉悦。

编辑

编辑

效果示意图,仅供参考

海上·清和玺还有精装地库、地上/地下双入户大堂等豪宅标配。

编辑

效果示意图,仅供参考

不仅如此,项目更是在地下融入了硬件设施与软性服务的双重魅力,地库局部区域具备地下采光,即使在车库也能感受到温暖的阳光照耀,同时配备的洗车空间,让每一次归家都更加便捷与舒心。

小区楼栋与户型分布

编辑

首期户型图如下:

编辑

编辑

售楼处及样板间实景

编辑

编辑

编辑

观家地产获悉,样板房这次开放了约112㎡和134㎡两个户型,也是首开房源的主流户型。

从百年底蕴到滨江规划潮头,站位1英里徐汇滨江的时代宝地,海上·清和玺未来的发展潜力,不容小觑。

编辑

交通配套:距离15号线罗秀路站约1.2公里,步行不算近,但是也能接受。

编辑

自驾方面,约800米即可上中环,距离龙吴路、上中路隧道、外环直线距离约1公里,距离虹梅南路、沪闵高架路也仅约2公里。因此,不仅是浦西,去浦东也很方便。

商业配套:项目2公里内有凌云壹街坊、百安居、东阔生活广场、规划了北杨人工智能小镇。

编辑

教育配套:海上·清和玺除了位居徐汇滨江一英里的板块之上,项目正处在徐汇文教区的核心,名牌高校、重点中学不胜枚举,上海交通大学、华东理工大学、上海音乐学院等落址于此。

优质教育资源密集且近距离地环绕在项目四周,让海上·清和玺的教育配套水准达到了全市少见的程度。

编辑

距上海“四校”之首的百年名校——上海中学直线距离仅约320米;距园南中学直线距离约650米,该校近年来中考升学成绩在徐汇区排于前列,连续三年中考区内公办第一;距公办二梯队小学园南小学直线距离约400米,对口初中即为实力不俗的园南中学;距九年一贯制上汇实验学校直线距离约500米,虽为成立于2021的新校,但作为上海中学的“亲孙子”,其影响力早已扩张开来。

而且据悉,附近的长桥第二小学即将被口碑优秀的上海小学合并,由上海小学同一管理,无疑是板块内教育配套的有一次重要升级!

编辑

(仅为介绍周边教育资源,不作为开发商对购房人家庭及相关未成年人的入学承诺。入学政策以政府教育主管部门及校方的最新政策为准。)

休闲配套:距离上海植物园直线距离约1.3公里。

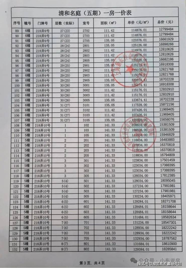
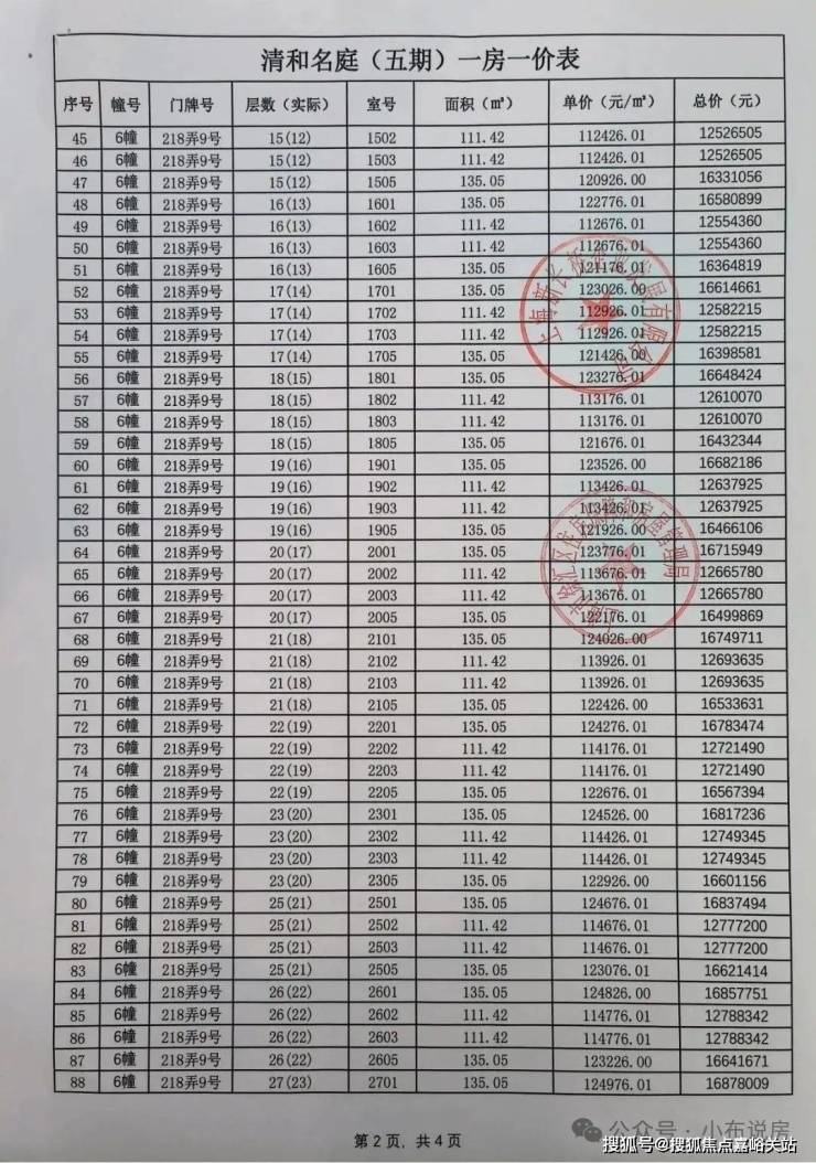
最新一房一价表公示 :

编辑

编辑

编辑

编辑

编辑

为确保您获得从容的品鉴体验,我们为您预留了 专属接待通道,可通过以下方式预约:

海上清和玺售楼处VIPLINE:400-8894-986(24小时在线拨通后一对一讲解项目信息)

海上清和玺售楼处专线400-8894-986

(工作日 9:00-21:00 / 周末及节假日 9:00-22:00 专人接听)

联系您的专属置业顾问

· 到访当日,您将优先了解 [ 海上清和玺] 的 独家规划理念,并可参与 [ 限量活动,如:设计师一对一户型解析]。现场更备有 [ 定制礼遇],致敬您的信任。

· 理想居所的选择,从来值得细细考量。我们期待在 [海上清和玺] 售楼中心,与您展开一场关于生活本真的深度对话。

编辑

一项关乎全国2.6亿租户的新规即将落地,租房市场野蛮生长时代正式终结。

2025年9月15日,我国首部专门规范住房租赁市场的行政法规——《住房租赁条例》将正式实施。作为中国住房制度从“重购轻租”转向“租购并举”的重要标志,新规中的强制备案制度成为各方关注焦点。

编辑

当房东拒绝备案时,租客可自行办理备案手续,这一突破性规定将彻底改变租赁市场的权力格局。而对全国庞大的租房群体而言,这项制度变革带来的影响远比想象中更为深远。

01 租赁市场“强监管”时代来临

住房租赁领域终于迎来首部专项行政法规。2025年6月27日,国务院第62次常务会议通过《住房租赁条例》,7章50条的法规文本于9月15日正式实施。这意味着中国住房制度正在经历从“居者有其屋”到“住者有所居”的理念转变。

强制备案成为新规核心抓手。条例明确规定,所有租赁合同必须通过住房租赁管理服务平台向当地房管部门备案。备案信息将与民政、教育、公安、税务等部门实现共享。

编辑

备案制度的关键突破在于:租客可单方面发起备案。当房东未在合同订立后30天内备案时,租客有权自行办理。这一规定彻底解决了过去“房东不配合,租客干着急”的困境。

链家等大型中介机构已开发自动备案系统。上海链家内部人士透露,其系统在租客签约满15天后自动办理备案,租客可直接在“一网通办”平台下载备案凭证。

02 租户权益的全方位保障

新规为租户打造了六大权益保障体系,直击租房市场多年顽疾。

居住安全升级。条例明确禁止厨房、阳台、地下储藏室等非居住空间单独出租,群租房、隔断房将被全面清退。地方政府需制定人均最低居住面积标准(如部分城市要求人均不低于4.5平方米)。

编辑

押金规范透明化。合同必须明确押金数额、返还时间及扣减情形,房东无正当理由不得克扣押金。这标志着“提灯定损”等恶意行为将正式入违法行列。

隐私权获法律保障。房东不得擅自进入租赁住房,紧急维修等法定情形除外。解约需提前通知并留足腾退时间,暴力驱赶、断水断电等行为被明令禁止。

房源真实性保障。中介和平台需核验房源权属信息,图片必须与实物一致,虚假房源最高面临10万元罚款。租户遭遇“图文不符”的糟心事将成为历史。

租金涨幅设上限。合同期内禁止单方涨租,续租涨价需双方协商。地方政府建立租金监测机制,定期公布区域租金水平,抑制恶意涨价。

租金贷风险防控。企业不得利用承租人信用套取“租金贷”,不得诱导承租人使用“租金贷”。金融机构需严格管理住房租赁消费贷款,加强授信审查。

03 租购同权破冰,教育公平迈出关键一步

新规最具突破性的变革当属“租购同权”的制度化破冰。

条例首次明确:长期稳定租约可作为享受子女就近入学、医疗保障等公共服务的凭证。这意味着教育资源的分配不再与房屋产权绑定,租房者与购房者将享有同等的公共服务权利。

备案合同成为实现同权的“金钥匙”。深圳、上海等先行试点城市已证明:备案合同是享受公共服务的核心凭证。今年深圳南二外海德小学、麒麟小学等一梯队名校的录取积分大幅下降至60多分,而南山租房的积分最高可达77分。

编辑

学区房价值面临重估。热门学区租房需额外支付2-3万元“学位费”的潜规则将被打破。随着租户凭备案合同直接使用房东未被占用的学位,学区房的稀缺性溢价将被逐步稀释。

04 “房东税”真相:多地辟谣误读

随着新规实施临近,“房东税将全面开征”的传言一度冲上微博热搜首位。但事实真相究竟如何?

多地税务部门紧急辟谣。成都税务明确表示:“出租房屋相应的税费政策是实施了数十年的规定,并未因《条例》出台而调整,更没有新增‘房东税’。”天津、广州等地税务部门也相继澄清,房租相关税项并无变化。

现行税负水平究竟如何?以上海为例,个人出租住房且月租金低于10万元的,按2.5%的综合税率征收(含个人所得税、房产税等)。成都更推出激励政策:在租赁平台备案的出租住房,综合税率可降至0%。

编辑

租户反获减税红利。备案合同可作为个税专项附加扣除凭证,租户每月可享受800-1500元的个税抵扣。这相当于为合规租户提供了“隐形补贴”。

05 短期阵痛与长期利好

新规落地必然带来市场调整,租户需关注两大短期影响:

低端房源供应收缩。全国预计10%的违规房源将被清退,影响超3000万租户。部分区域合规房源租金可能出现5%-8%的短期上涨。

低收入群体面临迁移压力。部分租户可能被迫从中心城区迁往租金更低的远郊区域。

市场调整期的应对策略:

1. 优先选择已备案房源,签约时核实安全标准

2. 利用租金监测数据议价,关注地方政府定期发布的区域租金水平

3. 签订长期租约锁定成本,规避续租涨价风险

长期来看,新规将重构租赁市场格局:

保障房供应增加:政府收购商品房转保租房(深圳保租房为市场价六折)

专业化运营崛起:国企和机构房东市场份额或从12%升至30%

长租房时代开启:稳定租期可达10-20年,降低频繁搬迁成本

编辑

06 居住尊严新时代

9月15日实施的《住房租赁条例》远不止于技术层面的规则调整,它标志着中国居住理念的深刻变革——从产权焦虑转向居住尊严。

对租户而言,新规提供了抗衡房东和中介的制度性武器。备案合同不仅是享受公共服务的通行证,更是居住尊严的法律保障。

对市场而言,野蛮生长时代终结,良币驱逐劣币的进程加速。当黑房东、黑中介被扫进历史垃圾堆,规范经营的专业机构将主导市场。

对社会发展而言,条例打破了房地产对社会资源的垄断,推动人才和资本的自由流动。当资源摆脱房地产的“吸血模式”,创新与实业将获得更多发展空间。

编辑

政策效果最终取决于地方政府的执行力度,特别是公共服务配套和租金调控的落地。但无论如何,一个没有高房价焦虑、各行各业生机勃勃的居住新时代,正随着2.6亿租户的命运转折而悄然来临。

新规实施后,租户维权将拥有明确的法律依据。遭遇恶意涨租时,可拨打12345转住房租赁专线投诉,需提供前三年租金支付记录及同小区同类房源挂牌价截图。押金退还流程也得以简化:租客在“住房租赁资金监管平台”发起退款申请后,房东超过3天不确认将自动退款。

随着9月15日的临近,各地房产管理部门正加紧升级租赁服务平台。这场牵动2.6亿人居住方式的制度变革,即将重塑中国城市的居住生态。

声明:本文由入驻焦点开放平台的作者撰写,除焦点官方账号外,观点仅代表作者本人,不代表焦点立场。