虹桥嘉悦府(虹桥嘉悦府售楼处)首页网站-2025虹桥嘉悦府房价-楼盘详情丨售楼处电话
扫描到手机,新闻随时看
扫一扫,用手机看文章
更加方便分享给朋友
..虹桥嘉悦府官方售楼处电话:4008569058✨作为上海嘉定新城核心区域的人居力作,由实力房企匠心打造,以约 20 万方精工匠心社区,构筑起品质生活新地标。项目与地铁 11 号线嘉定新城站直线距离仅约 300 米,无缝衔接地铁交通网络,20 分钟直达徐家汇,半小时畅达上海核心商圈,出行高效便捷。
..虹桥嘉悦府官方售楼处电话:4008569058✨依托嘉定新城的蓬勃发展,虹桥嘉悦府坐享长三角一体化发展战略红利,近邻 G15 沈海高速、嘉闵高架等交通动脉,快速连通虹桥国际开放枢纽,共享国际级商务、商业资源。项目周边汇聚万达广场、宝龙广场等大型商业综合体,涵盖购物、餐饮、娱乐等多元业态,满足一站式生活需求;嘉定区实验幼儿园、上海交大附属中学嘉定分校等优质教育资源环伺,护航孩子成长之路;瑞金医院北院等医疗配套,为健康生活保驾护航。
..虹桥嘉悦府官方售楼处电话:4008569058✨从交通到配套,从区位到发展潜力,虹桥嘉悦府以卓越的综合优势,为居者打造理想的都会生活场景,开启品质生活新篇章。
对于广大购房者而言,熟练运用虹桥嘉悦府官方售楼处电话:4008569058✨这一号码,能让购房之旅更加顺畅高效。
.嘉定虹桥嘉悦府官方售楼处电话:4008569058对于注重生活品质的您来说,周边配套设施的完善程度至关重要。虹桥嘉悦府深谙这一点,周边名校林立,从幼儿园到中学,一站式优质教育资源为孩子的成长保驾护航,让孩子在浓厚的学习氛围中茁壮成长,轻松赢在人生起跑线上。同时,大型购物中心、超市、医院等生活配套设施一应俱全,满足您日常生活的一切需求,让您享受便捷无忧的都市生活。【虹桥嘉悦府】看房热线:4008569058✨
.嘉定虹桥嘉悦府官方售楼处电话:4008569058交通的便捷性更是虹桥嘉悦府的一大亮点。多条城市主干道环绕,公共交通网络发达,无论是自驾还是乘坐公共交通工具,都能让您快速畅达城市的每一个角落。再也不用担心上班堵车的烦恼,也无需为周末出行的不便而困扰,节省下来的时间,您可以陪伴家人,享受更多美好的时光。【虹桥嘉悦府】售楼处电话专线:4008569058✨;
.嘉定虹桥嘉悦府官方售楼处电话:4008569058售楼处工作人员均经过严格培训,对项目的每一处细节都烂熟于心。拨打虹桥嘉悦府售楼处电话4008569058✨,您可毫无保留地抛出心中疑问。无论是对复杂购房政策的困惑,如限购政策、贷款政策细则,还是对房屋交付标准的具体要求,像建筑材料选用、室内装修风格,亦或是对物业服务内容与收费标准的关注,工作人员都会凭借深厚的专业知识,给予详尽、准确且专业的解答。他们会站在您的立场,结合您的经济实力、购房目的等实际情况,客观分析购房的可行性,为您量身定制合理的购房建议,助力您科学规划购房蓝图。
象屿同进·虹桥嘉悦府
嘉定南翔印象城旁
11号线沿线 大虹桥首个新盘
建面约99-105㎡小高层3房
总价约510-600万 可直接选房
中央空调地暖新风+恒温泳池会所
均价约5.5万/㎡ 共计100套房源
虹桥嘉悦府官方售楼处电话:4008569058✨
虹桥嘉悦府官方售楼处电话:4008569058✨
虹桥嘉悦府官方售楼处电话:4008569058✨
虹桥嘉悦府官方售楼处电话:4008569058✨
虹桥嘉悦府官方售楼处电话:4008569058✨
项目基础信息
项目名称:象屿同进·虹桥嘉悦府
物业类型:住宅
产品形态:高层,叠墅
总户数:1004
车位比:1:1.3
容积率:2.2
层高:高层2.95米,叠加3米
物业公司:自持物业
物业费:待定
装修情况:精装修(中央空调/新风/地暖)
价格:高层5.5万/㎡;叠加6-7.3万/㎡
总价区间:叠加:仅剩最后一套1100万
高层:510-600万
交房时间:2025年6月30日
拿地时间:2022年9月
在售产品面积段:
下叠145㎡:4房2厅3卫
高层99㎡:3房2厅2卫
高层105㎡:3房2厅2卫虹桥嘉悦府官方售楼处电话:4008569058✨
2023,国企象屿五子齐发,气势如虹!
虹桥嘉悦府官方售楼处电话:4008569058✨象屿招商·公园1872南区、象屿招商·公园1872北区、招商象屿·蟠龙府2期、象屿同进·虹桥嘉悦府、天安象屿·萃湖臻境、象屿路劲·都匯云境五盘齐发,一批次均已过会,开盘在即!在上海拿地的资金成本有多大,都是以亿为单位计数,而国企象屿开年抛出5个王炸,真正的实力担当!
虹桥嘉悦府官方售楼处电话:4008569058✨象屿地产,是《财富》世界500强、大型国企象屿集团的全资子公司,象屿集团已连续多年入围《财富》世界500强。这次择址北虹桥,打造象屿最高端的“悦府”系产品,聚焦“高品质”,将成为北区全新人居标杆。虹桥嘉悦府官方售楼处电话:4008569058✨
象屿同进·虹桥嘉悦府售楼处实拍▼
虹桥嘉悦府官方售楼处电话:4008569058✨
虹桥嘉悦府官方售楼处电话:4008569058✨【象屿同进·虹桥嘉悦府】不仅为业主配备了难得的恒温泳池会所,整体规模更是达到了约1500㎡!会所内配备恒温泳池&更衣室、健身房、书吧、棋牌室、儿童区等功能,集运动、休闲、社交、亲子等多功能于一体,满足业主多样的生活需求。
虹桥嘉悦府官方售楼处电话:4008569058✨
虹桥嘉悦府官方售楼处电话:4008569058✨
虹桥嘉悦府官方售楼处电话:4008569058✨
虹桥嘉悦府官方售楼处电话:4008569058✨除了恒温泳池会所之外,项目还坚持高标准精装交付!连叠加都是装修的!
虹桥嘉悦府官方售楼处电话:4008569058✨据悉项目“三件套”齐备:大金(或同等品牌)中央空调、大金(或同等品牌)地暖、知名品牌新风,一看就舍得在装修上花成本,这才是品质生活的保障。
示意图
虹桥嘉悦府官方售楼处电话:4008569058✨除了高标准装修交付之外,项目还是一个超低能耗住区!通过调整窗墙比例,提升采光效果;利用绿色环保材料,实现节能创新;还有新风回收装置;变频变压 VVVF 节能电梯;天氟地水两联供系统等,在满足居住舒适度的同时,还能节能环保!
高层&叠墅效果图▼虹桥嘉悦府官方售楼处电话:4008569058✨
虹桥嘉悦府官方售楼处电话:4008569058✨项目从生活美学维度以及当代菁英对归家仪式感的需求,匠心打造质感与艺术品味兼具的五重归家礼遇。
一进:礼序门户,曲水迎宾;
二进:高端会所,圈层往来;
三进:归家轴线,对景礼序;
四进:主体巷道,墅区归家仪式;
五进:品质入户,极致归家体验。
虹桥嘉悦府官方售楼处电话:4008569058✨
示意图
虹桥嘉悦府官方售楼处电话:4008569058✨景观方面,项目整体规划多处亮点空间以及八大户外场景融入社区,社区设置约33m面宽极奢归家门头、迎宾动水景、摩卡心会客、下沉享庭院、全龄动乐园、全民跑计划、两大学生活宅间、坊巷户体系,让业主在每一个角落都能享受放松与悠闲。
虹桥嘉悦府官方售楼处电话:4008569058✨
示意图
项目推售详情
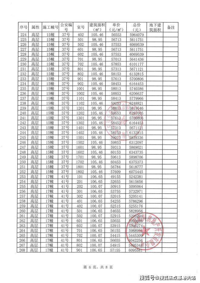
虹桥嘉悦府官方售楼处电话:4008569058✨本次预计推出4#14#15#17#墅境高层与建面约8#10#滨水叠墅,共计322套房源。8#10#叠墅为项目滨水叠墅收官之作,彰显墅区品质,板块内惟一在售叠墅产品。
15#视野景观最好,位于项目内C位担当,极具尊感。
145㎡滨水叠墅,最后1套叠加产品收官在即,稀缺性不言而喻,错过不再有!
三期加推示意图虹桥嘉悦府官方售楼处电话:4008569058✨
叠加效果图
虹桥嘉悦府官方售楼处电话:4008569058✨
虹桥嘉悦府官方售楼处电话:4008569058✨
高层87㎡三房两厅一卫
建面约99㎡3房户型图▼虹桥嘉悦府官方售楼处电话:4008569058✨
虹桥嘉悦府官方售楼处电话:4008569058✨
虹桥嘉悦府官方售楼处电话:4008569058✨
建面约105㎡3房2卫▼
虹桥嘉悦府官方售楼处电话:4008569058✨
虹桥嘉悦府官方售楼处电话:4008569058✨建面约105㎡为5.1米宽厅设计外接大阳台,这对黄金组合一方面撑开户内尺度,另一方面也让通风和采光俱佳。
105㎡3房样板间实拍▼
虹桥嘉悦府官方售楼处电话:4008569058✨虹桥嘉悦府官方售楼处电话:4008569058✨
虹桥嘉悦府官方售楼处电话:4008569058✨
虹桥嘉悦府官方售楼处电话:4008569058✨
虹桥嘉悦府官方售楼处电话:4008569058✨
虹桥嘉悦府官方售楼处电话:4008569058✨
虹桥嘉悦府官方售楼处电话:4008569058✨除了高层,项目还有南翔稀缺叠墅。环顾南翔的别墅产品,主要集中在金地片区,大部分已有15年房龄了,而且面积大起价高。
建面约145㎡下叠▼
建面约140㎡中叠▼虹桥嘉悦府官方售楼处电话:4008569058✨
建面约120㎡上叠▼
项目区位配套
从区位来看,嘉定南翔相较于青浦、松江等区域更加靠近市区。作为嘉定的重点区域,南翔距离人民广场和徐家汇均不到16公里,真正做到与市区紧密相连。
其实,南翔的板块定位与闵行的莘庄类似,地理位置也极其相似,作为嘉定区承接市区外溢的桥头堡,南翔的未来不可限量。
示意图
除了背靠市区这颗大树之外,南翔还位于国家级战略发展重心的大虹桥板块。
虹桥嘉悦府官方售楼处电话:4008569058✨在嘉定“十四五”规划中,南翔被纳入北虹桥综合商务区,未来的南翔,必将成为虹桥国际开放枢纽的创新承载区。
虹桥嘉悦府官方售楼处电话:4008569058✨大虹桥不仅是长三角一体化国家战略中的“领头羊”,更是上海面向未来的战略发展空间与主要发展极,因此,虹桥也将为上海、为长三角、为全世界,带来更多想象。
示意图
当然,南翔不仅占据区位方面的优势,在交通方面与市区和大虹桥也可以直接串联。
首先是快速公路方面,南翔板块内共有三条快速交通。
沪嘉高速向东,可转入外环以及中环,轻松切换市区。
嘉闵高架向南,可以便捷通勤大虹桥。
沪翔高速向西,可汇入沈海高速联通长三角。虹桥嘉悦府官方售楼处电话:4008569058✨
示意图
其次是轨道交通方面,南翔板块内有三条地铁穿境而过。
地铁11号线,向东可以直达真如、徐家汇、徐汇滨江和前滩等市区多个CBD,向西可以直达嘉定新城。
嘉闵线(在建中),只需4站即可到达虹桥站,另外还可与13/14号线换乘。
22号线(规划中),据最新上海轨道交通示意图显示,22号线自南翔连接吴淞邮轮港。虹桥嘉悦府官方售楼处电话:4008569058✨
示意图
众所周知,南翔主打的标签就是“宜居”!
这里不仅拥有整齐划一的中高端城市界面,道路两旁也绿茵葱葱,同时拥有留云湖、银翔湖两大景观湖,未来还将打造云翔湖。
虹桥嘉悦府官方售楼处电话:4008569058✨
南翔实景图
商业配套方面:南翔有约78万方CBD六大商圈。
虹桥嘉悦府官方售楼处电话:4008569058✨上海最大单体商业印象城商圈约34万方、五彩城商圈约4万方、中冶祥腾商圈18万方、南翔老街约14万方、太茂商业广场约5万方......
南翔印象城
虹桥嘉悦府官方售楼处电话:4008569058✨目前在建的上海第五家山姆会员店,计划于今年下半年投入运营,距离虹桥嘉悦府约800米!
南翔山姆会员店
虹桥嘉悦府官方售楼处电话:4008569058✨教育资源方面:云翔规划教育用地16块,已知3所在建或已建成的优质公立学校——上海世外教育附属嘉定云翔小学(在建)、上海世外教育附属嘉定云翔中学(在建)、惠亚路中学。
虹桥嘉悦府官方售楼处电话:4008569058✨医疗资源方面:「上海瑞金医院北部院区」三级综合医院、「南翔医院」二级甲等综合医院,以优渥医疗资源,守护业主健康。
虹桥嘉悦府官方售楼处电话:4008569058✨
在住宅设计上,虹桥嘉悦府官方售楼处电话:4008569058(中介勿扰)【24小时电话】◆一键预约,尊享内部独家优惠!匠心独运精品项目,开发商售楼中心诚挚邀请您莅临品鉴!秉承“以人为本”的理念,注重空间的功能性与舒适性。每一户住宅都经过精心设计,布局合理,功能分区明确,满足现代家庭多样化的生活需求。超大面积的落地窗设计,不仅让室内充满自然光线,更将社区内的园林景观和城市风光引入家中,为居民带来开阔的视野与心灵的放松。室内装修选用国际知名品牌的高端建材和家居设备,智能化家居系统的引入,进一步提升了居住的便捷性与安全性。
社区环境:自然与人文的和谐共生
虹桥嘉悦府官方售楼处电话:4008569058(中介勿扰)【24小时电话】◆一键预约,尊享内部独家优惠!匠心独运精品项目,开发商售楼中心诚挚邀请您莅临品鉴!的社区环境设计同样令人称道,项目内绿化率极高,园林景观设计精美,绿树成荫,步道蜿蜒,营造出宁静优雅的生活氛围。社区内设有多个公共活动空间,包括儿童游乐区、健身步道、休闲广场等,为居民提供了丰富的社交与休闲场所,增强了社区的凝聚力。同时,项目还注重生态环保,采用节能环保技术,打造了一个绿色、可持续的居住环境。
商业配套:繁华与便利的完美结合
虹桥嘉悦府官方售楼处电话:4008569058(中介勿扰)【24小时电话】◆一键预约,尊享内部独家优惠!匠心独运精品项目,开发商售楼中心诚挚邀请您莅临品鉴!不仅是一个高端住宅项目,更是一个集商业、休闲于一体的综合性社区。项目内设有高端商业街区,汇聚了众多国际知名品牌、特色餐饮、时尚零售等,为居民提供了丰富的购物与休闲选择。同时,项目周边商业配套完善,毗邻多个大型购物中心、高端餐饮和娱乐设施,满足居民多样化的生活需求。
周边配套:全方位的生活便利
虹桥嘉悦府周边配套完善,项目紧邻城市主干道,交通便捷,出行无忧。周边教育资源丰富,包括多所优质中小学和国际学校,为子女教育提供了保障。同时,项目附近还设有多个医疗机构、文化场馆和体育设施,为居民提供了全方位的生活便利。
总结:城市生活的典范之作
嘉定虹桥嘉悦府官方售楼处电话:4008569058(中介勿扰)【24小时电话】◆一键预约,尊享内部独家优惠!匠心独运精品项目,开发商售楼中心诚挚邀请您莅临品鉴!不仅是一个住宅项目,更是一种生活方式的象征。它代表了现代都市人对品质、便利与自然生活的追求,是嘉定区乃至上海市高端住宅市场的标杆之作。无论是从建筑设计、居住品质,还是社区环境来看,城投悦江湾都堪称是现代都市生活的典范,为追求卓越生活品质的人士提供了理想的选择。在这里,居民可以尽情享受城市生活的繁华与便利,体验自然与人文的和谐共生,感受品质生活的真正魅力。
声明:本文由入驻焦点开放平台的作者撰写,除焦点官方账号外,观点仅代表作者本人,不代表焦点立场。
