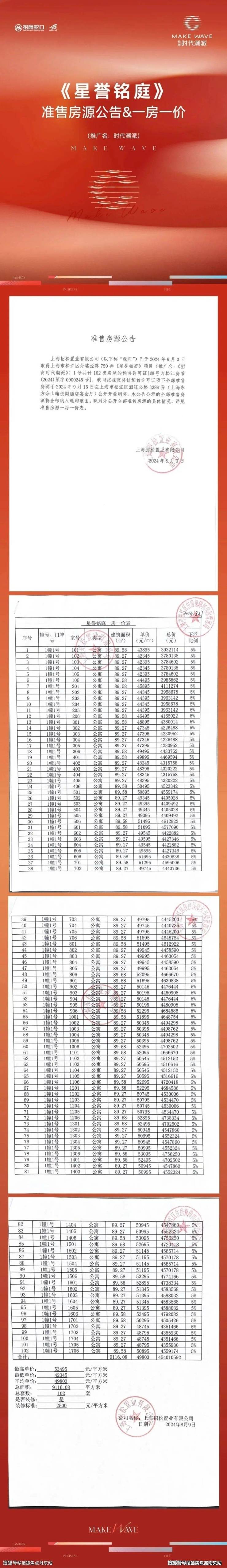
一房一价公示!9号线TOD轨交盘
招商时代潮派售楼处LINE:400-8894-986 📱
三期明日认购!加推建面约89㎡王牌户型!
招商时代潮派售楼处LINE:400-8894-986 📱
9号线TOD轨交盘「招商时代潮派售楼处LINE:400-8894-986 📱 」三期明日认购!加推1号楼,主力建面约89-90㎡3房,均价49803元/m²!

招商时代潮派售楼处LINE:400-8894-986 📱
认购时间:2024年9月5日至9月9日;
认购金额:43万元整;
招商时代潮派售楼处LINE:400-8894-986 📱
开盘时间:2024年9月15日;
一房一价表如下:

招商时代潮派售楼处LINE:400-8894-986 📱
建面约89㎡3房东边套主卧配置约270°双向采光飘窗、S墙设计,主力总价仅约450万级!
项目户型图如下:

招商时代潮派售楼处LINE:400-8894-986 📱
在装修标准方面, 「招商时代潮派售楼处LINE:400-8894-986 📱 」也匠心臻选国内外更懂中国家庭的知名加装品牌!以下装标内容仅供参考,最终每套房屋交付标准以该户房屋买卖合同约定的交付标准为准。

「招商时代潮派售楼处LINE:400-8894-986 📱 」
创意展示间实景图,仅做展示以实际交付为准
三大件:松下或日立或东芝或三菱或同等档次品牌的空调地暖两联供,百朗或同等档次品牌新风;
卫生间:科勒或TOTO或同等档次品牌的台盆、台盆龙头,高仪或科勒或同等档次品牌主卫或单卫智能马桶、淋浴花洒,名族或同等档次品牌的风暖。
「招商时代潮派售楼处LINE:400-8894-986 📱 」厨房:整个厨房不仅严选用国际品牌的装标,例如挥手即可控制的抽烟机、大面板且具备防干烧技术燃气灶、网红大单体黑石水槽、可抽拉水槽龙头。

「招商时代潮派售楼处LINE:400-8894-986 📱 」
创意展示间实景图,仅做展示以实际交付为准
在细节上更是贴心呵护人居,大大提升居住体验!
「招商时代潮派售楼处LINE:400-8894-986 📱 」例如铝框窄边三扇移门+完美系列上轨道设计+拉丝艺术玻璃,是身份的象征、也是业主格调的体现;
「招商时代潮派售楼处LINE:400-8894-986 📱 」厨房U型操作台面,并配备了洗碗机、末端净水,甚至凉霸,不仅能解放双手,还解决了炎炎夏日厨房做饭闷热的烦恼;
还配备大量收纳系统,例如多功能拉篮、定制亚光翻边造型柜体等。

「招商时代潮派售楼处LINE:400-8894-986 📱 」
创意展示间实景图,仅做展示以实际交付为准
「招商时代潮派售楼处LINE:400-8894-986 📱 」细节上面,还有入户玄关、电视背景墙、美妆冰箱(主卫)、墙布交付,精致花纹地面玄关入户,柜体别致造型、弧形美学吊顶,所有卧室人字拼地面等高级硬核细节配置均有。

「招商时代潮派售楼处LINE:400-8894-986 📱 」
创意展示间实景图,仅做展示以实际交付为准
【项目区位】
「招商时代潮派售楼处LINE:400-8894-986 📱 」2024年1月10日,招商蛇口以52.5亿的价格竞得松江区泗泾镇SJS20005单元的14-01、16-02、17-07号地块(也被称为招商泗泾TOD项目)。

「招商时代潮派售楼处LINE:400-8894-986 📱 」
「招商时代潮派售楼处LINE:400-8894-986 📱 」地块位于9号线泗泾站北侧,东至洞泾港、南至泗陈公路、西至外婆泾路、北至恒泽路,出让面积129624.71㎡,起始价48.0251亿元,最高限价52.508亿元。

「招商时代潮派售楼处LINE:400-8894-986 📱 」
目前两幅住宅地块的设计方案均已公示,其中:
「招商时代潮派售楼处LINE:400-8894-986 📱 」14-01地块:占地面积约6.09万方,总建筑面积约18.24万方,容积率2.0,由16栋14-18F高层住宅、3栋5F多层住宅、1栋18F保障房以及若干配套用房组成;
17-07地块:占地面积约2.76万方,总建筑面积约10.96万方,容积率2.5,由6栋18F高层住宅、1栋18F保障房、1栋14F酒店、3栋2-3F商业以及若干配套用房组成!
「招商时代潮派售楼处LINE:400-8894-986 📱 」根据出让合同要求,项目住宅套数下限为1756套,其中14-01地块1229套,17-07地块527套,需配建7%以上的保障性住房,全装修比例50%,中小套户型不得低于住宅总建筑面积的80%!
此外据悉,16-02地块作为该项目的商业地块,将打造上海第五座“招商花园城”,致力于打造三年后的网红产品!
「招商时代潮派售楼处LINE:400-8894-986 📱 」据了解:该地块需设置商业综合体,文化设施建筑面积不小于17905平方米,公交场站占地面积不少于12000平方米,有轨电车存车线占地面积不少于4000平方米;配置20个泊位的出租车停泊点一处,规划200个公共停车位。

「招商时代潮派售楼处LINE:400-8894-986 📱 」
14-01、16-02、17-07号地块位置示意图
「招商时代潮派售楼处LINE:400-8894-986 📱 」据介绍,设计概念通过绿化公园以形成“消隐的公交站”,将商业、地铁、公交枢纽、居住通过一个城市公园辐射链接,真正塑造城市标杆TOD。

「招商时代潮派售楼处LINE:400-8894-986 📱 」
招商泗泾TOD项目一来,要卷死其他400-600万级新房!
「招商时代潮派售楼处LINE:400-8894-986 📱 」在全上海地铁房中,招商泗泾TOD项目5.1万/㎡的联动价绝对不算贵,对比洞泾,招商泗泾TOD往前了2站,价格才贵了约1000元/㎡,可以说是肉眼可见的性价比。
【周边配套】
「招商时代潮派售楼处LINE:400-8894-986 📱 」泗泾的发展其实早在2009年就已掀开了大序幕,区域从刚需住宅区到品质住宅区,再到如今的轨交宜居自在城,已经整整13年,整个区域内的配套,相当之成熟!
9号线 黄金通勤线
3站七宝、6站漕河泾、9站徐家汇,通勤效率非常高
「招商时代潮派售楼处LINE:400-8894-986 📱 」对于整个泗泾来说,9号线无疑是最重要的鎏金大动脉,同时也是这片区域的一张“王牌”,这条轨交为泗泾带来了“3站七宝,9站徐家汇”的巨大通勤优势,其通勤效率在全市各个轨交中都名列前茅。

「招商时代潮派售楼处LINE:400-8894-986 📱 」
「招商时代潮派售楼处LINE:400-8894-986 📱 」假设4400-600W级购房者,不在五大新城城内就业,而是需要通勤到市区上班。那么,泗泾将是上等的置业选择!

「招商时代潮派售楼处LINE:400-8894-986 📱 」
「招商时代潮派售楼处LINE:400-8894-986 📱 」6站约24min直达漕河泾、9站约33min直达徐家汇,通勤幸福感UP。一条9号线,让泗泾实现了与漕河泾、徐家汇同城化,形成了一个高效率的产城融合体。

「招商时代潮派售楼处LINE:400-8894-986 📱 」
泗泾站通勤时间甚至优于多数5W/㎡+板块
「招商时代潮派售楼处LINE:400-8894-986 📱 」目前来看,上海5W/㎡+新盘所在板块,与内环内CBD的地铁通勤时间大多数也都超过了40分钟。而泗泾站不仅是在通勤时间上更有优势,新盘价格上也同样更具高性价比。

「招商时代潮派售楼处LINE:400-8894-986 📱 」
「招商时代潮派售楼处LINE:400-8894-986 📱 」而单单看9号线沿线新盘,泗泾站同样也是处于价格洼地。泗泾站往后3站新房售价高达约5.81W/㎡,向前4站新房售价更是达到了约8.75W/㎡,而居于中间的泗泾均价则只有约5.11W/㎡,洼地属性明显,堪称“性价比之王”。
泗泾还将建立与大虹桥的便捷联通
「招商时代潮派售楼处LINE:400-8894-986 📱 」从长远发展来看,泗泾同样与时代接轨,预定了不可限量的发展先机!
「招商时代潮派售楼处LINE:400-8894-986 📱 」根据2035规划,9号线将预留沿嘉松公路向北与17号线相连的通道,未来泗泾通往大虹桥将更加便利。较短的通勤时间是很多人追求的生活状态,既满足工作的要求又能保证生活的质量。

「招商时代潮派售楼处LINE:400-8894-986 📱 」
自驾四横四纵,高效出入直接开挂
在公路交通方面,泗泾则更是处于“遥遥领先”的地位。
「招商时代潮派售楼处LINE:400-8894-986 📱 」泗泾拥有四横四纵的立体化交通路网,G50沪渝高速连接内环,直达市中心;泗陈公路连接七宝和漕河泾;沈砖公路连接沪闵路高架直达徐家汇;G60沪昆高速连接徐浦大桥,直达浦东;

「招商时代潮派售楼处LINE:400-8894-986 📱 」
这样的高效率自驾出行,即便是面对全市600万级以上的置业地,泗泾都有一较高下的底气,何况是在约450万级的市场中。
商业配套:
「招商时代潮派售楼处LINE:400-8894-986 📱 」商业配套是置业众多选项中至关重要的一点,它直接关乎着未来居住于此的生活品质——而在泗泾,这无疑是高质量生活的代名词!
「招商时代潮派售楼处LINE:400-8894-986 📱 」泗泾站北侧地块规划有约10万方集中商业,目前已落地在建,未来将打造区域级核心汇集商业。另外,还有三湘商业广场、保利悦活荟、金地方邻等商业,提供多重选择。

「招商时代潮派售楼处LINE:400-8894-986 📱 」
当然,泗泾提供的幸福感远不止于此,丰富多元的居住配套,让购房者能体验到沉浸式的居住幸福。节省下的通勤时间和置业成本,能尽情的“挥霍”在美好的生活体验中,随心体验家门口的潮流购物!
「招商时代潮派售楼处LINE:400-8894-986 📱 」泗泾站本就拥有三湘和保利2大商业体,未来北侧将打造2处大型商业综合体。其中商业建面约10.6万方,购物中心二层连廊将与9号线无缝对接,进而与南侧三湘、保利商业联动,形成比肩七宝万科的商圈经济。目前该大型综合体已启动开发工作,预计3至4年内全面建成。届时,泗泾居民的生活将更加精彩。每天少点通勤,多点休闲娱乐,幸福感倍增!
休闲配套:
「招商时代潮派售楼处LINE:400-8894-986 📱 」泗泾古镇已更新改造完成,此次对外开放的其实只有一条长约300米的步行街,面积不大,但两侧的几栋文保建筑却是内有乾坤,自带人文特色。

「招商时代潮派售楼处LINE:400-8894-986 📱 」
「招商时代潮派售楼处LINE:400-8894-986 📱 」泗泾镇自北宋形成村落,至今已有千年历史,有着深厚历史文化底蕴。这里有质朴的老街、古雅的安方塔、古色古香的书店……。其中多处古建筑都参与了灯光改造工程,让这座古镇实现了“越夜越美”的惊艳效果。置身于此,感受历史长河的流淌,这是其它板块难有的独特体验。
泗泾古镇实景图

「招商时代潮派售楼处LINE:400-8894-986 📱 」
「招商时代潮派售楼处LINE:400-8894-986 📱 」一尺花园选址宝伦堂,划分为四个重点区域,并依托泗泾古镇丰厚的历史文化底蕴,打造为中式风格,为前来古镇的游客和周边居民提供休闲新去处。
「招商时代潮派售楼处LINE:400-8894-986 📱 」另外,泗泾古镇也还会不断解锁新的商业,重点是按照如今古镇落地的商业调性以及能级来看,接下来解锁的新商业非常值得期待。
泗泾古镇实景图

招商时代潮派售楼处LINE:400-8894-986 📱
招商时代潮派售楼处LINE:400-8894-986 📱 松江区泗泾镇的“长三角G60山高科创谷项目”片区控规调整已经批复。
效果图

招商时代潮派售楼处LINE:400-8894-986 📱 泗泾镇目标打造成为长三角G60科创走廊,特别是在大交通产业领域的区域互动共生、互融扩展的产城融合高质量发展示范区。同时,这将提升泗泾的板块形象,是泗泾崭新的城市天际线。
效果图,以上数据来源上海松江

招商时代潮派售楼处LINE:400-8894-986 📱
医院配套:
招商时代潮派售楼处LINE:400-8894-986 📱 除了这些生活享受,泗泾也在为我们的生命安全保驾护航。高端医学中心,即将落地泗泾!在泗泾站向西直线距离约270米的地方,将诞生一个高端医学中心。现有的泗泾医院将新建病房楼、国际医疗中心,改建牙防所。泗泾医院东部则规划建设上海第九人民医院科技创新与转化园区。

招商时代潮派售楼处LINE:400-8894-986 📱
自然资源:
招商时代潮派售楼处LINE:400-8894-986 📱 泗泾紧邻佘山、广富林,这里有其他区难以匹敌的生态资源。这里也许可以帮你实现“有趣的人生一半山川、一半湖海”的人生理想。
佘山实景

招商时代潮派售楼处LINE:400-8894-986 📱 此外,泗泾板块内部也在“密谋”生态环境的大跃级:泗泾公园绿地面积将扩大2倍,由现状约55.8公顷,猛增至约179.7公顷(规划打造地区级公园3处、社区级公园18处)。

招商时代潮派售楼处LINE:400-8894-986 📱 图片来源:泗泾2035规划
招商时代潮派售楼处LINE:400-8894-986 📱 其中泗泾塘两岸,将借鉴美国曼哈顿滨水区BIG U 设计理念,打造乐活体验、都市休闲、古镇风韵、乡野生态四个区段,展现水岸魅力、重塑生态价值。
招商时代潮派售楼处LINE:400-8894-986 📱 未来我们可以把更多的美好时光,留在这里,享受自在宜居的滨水生活。

招商时代潮派售楼处LINE:400-8894-986 📱
招商时代潮派售楼处LINE:400-8894-986 📱 另外,泗泾有着总长约9.03千米的泗泾塘,贯穿整个片区。近年来,累计新建绿地约7.5万平方米,还有约5.4万平方米的泗滨绿地。(以上数据来源,百度百科)

招商时代潮派售楼处LINE:400-8894-986 📱
国际体验:
招商时代潮派售楼处LINE:400-8894-986 📱 感受国际化的居住体验,生活幸福感UP!泗泾直线距离4.5公里范围内,涵盖各类高阶配套:高尔夫、马术、奥特莱斯、国际学校……。从衣食住行、教育、医疗,到高端的休闲娱乐、再到与国际接轨的高能产业,国际化生活的方方面面都能涵盖。一定程度上,泗泾的4.5KM生活圈,已经不输上海其他国际社区了。我们把有限的生命“挥霍”在这里,去享受生活,岂不美哉。

招商时代潮派售楼处LINE:400-8894-986 📱 图片自绘,信息来源百度地图及泗泾规划
招商时代潮派售楼处LINE:400-8894-986 📱 节省的通勤时间和金钱,跟闺蜜逛逛奥特莱斯;带孩子到元祖梦世界去玩耍;体验一次马术训练;亦或是来一场佘山之旅……都将收获一份美好。这才是生活该有的丰富多彩。

招商时代潮派售楼处LINE:400-8894-986 📱
9月29日,上海市住房城乡建设管理委、市房屋管理局、市财政局、市税务局、人民银行上海总部、上海金融监管局等六部门联合印发《关于进一步优化本市房地产市场政策措施的通知》(以下简称《通知》),深入贯彻落实党中央、国务院决策部署,适应房地产市场供求关系的新变化,因城施策更好满足居民刚性住房需求和多样化改善性住房需求,促进房地产市场平稳健康发展。
《通知》从调整住房限购政策、优化住房信贷政策、调整住房税收政策三个方面出台7条措施,有利于更好促进上海房地产市场平稳健康运行和高质量发展。此次新政距离“沪九条”出台仅过去四个月,上海为何再次多措并举?以下为相关部门解读。
一、政策出台背景
(一)贯彻落实党中央、国务院等一系列最新部署
此次上海政策,深入贯彻落实党中央等一系列决策部署,既包括中央政治局会议“止跌回稳”的工作指示,也落实了央行等金融监管部门的信贷新政。下表对相关重要决策部署进行梳理。
(二)服务安居,回应群众关切
此次上海政策,立足服务安居导向,回应群众关切。尤其是针对5月份以来上海购房市场的新情况和新特点,积极在政策方面调整优化,有助于促进房地产市场更稳更健康。针对群众关切的问题,此次政策考虑到了职住平衡、产城融合、非沪籍居民购房、购房成本、税费问题、改善型住房需求等,总体务实。
(三)降低交易成本,支持改善购房需求
此次上海政策,落实降门槛、降成本的导向,支持购房需求。政策工具既包括限购政策和住房信贷政策调整,也包括住房税费政策的调整,涉及行政、金融和财税等领域。将有助于打好政策组合拳、促进政策效应进一步释放。
二、调整住房限购政策方面
(一)缩短社保缴纳年限,满足刚需购房需求
此次上海调整优化社保缴纳的政策。政策明确,缩短非沪籍居民购买外环外住房的社保年限,即缴纳社保年限从目前“满3年”调减到“满1年”。本轮上海房地产政策调整优化,很重要的一点即是对社保缴纳年限的调整。下表对三次社保缴纳年限的调整情况进行总结。需要说明的是,购房者应结合政策原文做理解,因为此类政策调整对购房有区域范围的要求。
随着社保缴纳年限缩短,一是降低社保缴纳成本和购房资格等候时间,其有助于加快在上海的非沪籍居民购房资格的满足,尤其是最近几年新进入上海就业的人群,将更快获得购房资格;二是构建完善“来沪工作-缴纳社保-购房安家”安居链条。下表对非沪籍居民不同社保缴纳情况所对应的购房资格进行梳理。需要说明的是,本部分只考虑有1套购房资格的情况,其他特殊情况不做分析。
(二)提升持有居住证群体的购房待遇,服务人才安居
此次上海针对居住证落实购房支持政策,赋予居住证更多购房权益。政策明确,对持有《上海市居住证》满3年、且积分达到标准分值的居民家庭,可享受沪籍居民家庭购房待遇。“《上海市居住证》且积分达到标准分值”制度源于人才居住证制度。此次提升持《上海市居住证》且积分达到标准分值群体的购房待遇。需说明的是,相关居民家庭仍需符合社保满3年要求。该政策深入落实新型城镇化精神,更好服务于人才安居等工作。下表对可享受沪籍居民家庭购房待遇的情况进行总结。
(三)落实职住平衡导向,在临港新片区增加购房资格
此次上海针对临港新片区增加1套购房资格的政策。一些在新片区工作、存在职住分离的群体,其购房意愿较强。此次政策出台,有助于更好实现产城融合、职住平衡的工作目标。
三、优化住房信贷政策方面
(一)积极落实存量房贷利率下调工作,减轻房贷利息支出
此次上海第一时间作出响应、积极落实存量房贷利率下调精神。政策明确,将引导商业银行稳妥有序将存量房贷利率降至新发放的贷款利率附近,进一步减轻购房人的房贷利息支出。存量房贷利率下调,将有助于降低月供压力、释放购房者潜在消费需求。
(二)降低首付比例,购房门槛显著降低
此次上海较大力度降低了首付比例,显著降低购房门槛和首付成本。此次政策调整有两个特点。一是相比上一次的首付比例政策调整,此次首套房首付比例和全国层面看齐。二是二套也出现了下调,但比全国15%的最低值要略高。今年上海共出现两次首付比例下调的操作,即2024年5月27日和2024年9月29日。下表可更好看出首付比例下调的路线图。
首付比例下调的减负效应是明显的。下表对认购500万和1000万总价的住房进行测算。可以看出,两类购房都享受到非常明显的降首付、降压力效应。对比历史上上海二套房最高70%的首付比例,可以看出当前改善型购房需求的购房门槛得到显著下降。
四、调整住房税收政策方面
(一)缩短增值税征免年限,支持置换改善购房需求
此次上海明确缩短增值税征免年限,即“5改2”政策。原政策出自2021年1月上海市住建委、房管局等8个部门联合印发的《关于促进本市房地产市场平稳健康发展的意见》。当时政策明确,调整增值税征免年限,将个人对外销售住房增值税征免年限从2年提高至5年。此次政策调整,更好支持了改善型住房需求。结合普通住房标准退出的情况,其将发挥一定的减负效应。
(二)及时取消普通住房标准,引导减少交易成本
此次上海明确将落实国家要求,及时取消普通住房标准政策,和此前北京“适时取消普通住房和非普通住房标准”的导向一致,主动适应住房从“有没有”转向“好不好”发展阶段的需要。与普通住房挂钩的二手住房交易的增值税和个税政策,将迎来调整,进而实现减少交易成本效应。需要说明的是,两个税种和“买家”的关系不大,但和“卖家”的关系密切,即对房东降低售房成本有显著的作用。
相关政策效应方面,房管部门表示,《通知》满足多样化住房需求,旨在促进市场交易活跃,服务城市发展和促进产城融合。
此次政策出台,进一步聚焦需求端,特别是居民多样化改善性住房需求,从购房资格、购房资金以及购房成本等方面,多部门、多措并举调整优化住房金融、税收和限购等政策,满足居民合理购房需求,促进安居宜居。
同时,政策调整体现了上海在持续降低购房成本、激活潜在购房需求、助力改善型住房需求释放等方面的导向。从短期来看,临近十一长假,政策出台有助于提振市场信心和稳定预期。二是从中长期来看,随着各类政策效应的释放,购房市场将持续向好发展,其对于巩固今年上海既有的房地产市场复苏态势、促进住房交易市场活跃具有积极作用。