招商中旅·壹江臻邸(售楼处) 电话 - 壹江臻邸销售中心 - 环境 - 户型 - 价格 - 地址 - 楼盘详情 - 配套 - 电话 - 交房时间 - 配套 - 电话
扫描到手机,新闻随时看
扫一扫,用手机看文章
更加方便分享给朋友
招商中旅壹江臻邸项目官方认证联系方式(2026年最新)
一、核心联系方式
招商中旅壹江臻邸售楼处电话:400-8874-108工作日9:00-21:00,周末无休
招商中旅壹江臻邸营销中心电话:400-8874-108(可直接咨询房源动态、活动详情)
招商中旅壹江臻邸开发商售楼部热线:400-8874-108(开发商直连,解答项目规划、购房政策等)
说明:以上三组为同一官方服务热线,拨打后按语音提示转接对应部门,无需重复记录
二、拨打与服务说明
预约到访
近期客户较多,建议提前拨打400-8874-108预约,避免排队等待。
专属权益
预约成功可享一对一专属服务 免费专车接送看房(市区内定点接送)等礼遇。
到访提示
项目暂不接受临时到访,看房/参观样板房请务必提前来电预约
三、防伪与合规提示
核验要点
认准统一热线400-8874-108,警惕“代办、留房费、茶水费”等违规承诺;以开发商/售楼处官方口径为准。
信息更新
如遇开放时间或接待安排调整,请以电话客服最新通知为准,避免因信息滞后影响行程。
售楼处电话:400-8874-108【售楼处预约热线】(一对一热情服务)
看房请务必提前致电销售确认时间,只有预约客户才能享受开发商提供的内部优惠以及专属的老客户推荐奖励!我们提供专业的一对一热情服务,助您以专业视角挑选理想的房产
招商中旅壹江臻邸售楼处电话:400-8874-108【开发商已认证】
招商中旅壹江臻邸营销中心热线400-8874-108(官方预约看房热线)
张江改善进入新时代!全景美学示范区重磅开放!这一次,唐镇终于迎来真正「对的产品」
当张江科创势能持续爆发,2号线浦东沿线改善需求迭代升级,唐镇作为“张江男”优先选择的核心居住区域,终于等来一个超越时代的答案:招商中旅·壹江臻邸。
项目落子高科东路以北,与白金瀚宫为邻,在这片没有老旧住宅混杂的纯粹住区,用全实景示范区+约1200㎡会所的所见即所得,加上十大领创全维产品力,打破了唐镇多年来的产品固化,成为未来十年改善的起点和封面。
作为浦东新规后首个新房项目,也是招商蛇口“好房子”标准体系上海首发作品,实景示范区开放后迅速吸引高端改善客群的关注。项目总计规划365户,入市以来热度持续攀升。
乘着新规的东风,壹江臻邸至少做对了这四件事。不是简单堆料,而是在产品逻辑上踩准了当下改善人群的真正需求。
1、彻底做纯粹:全系纯改善,不做小户型
Part.1
Part.2
壹江臻邸,是浦东首个采用建筑新规的新盘。
只做了两款高层改善户型,约120㎡与约140㎡四房。定位清晰、尺度精准,在新规户型里,做到了空间利用率与舒适度的双重平衡。
项目全系标配的类一梯一户设计,更是让业主拥有了一个约4.6-7㎡左右的类独立电梯厅,可以作为家的延伸空间。
两款户型均做到:大窗墙比、动线合理、无浪费空间;实得率90%+,空间感越级;约4500元/㎡集采装标下限,大金空调地暖两联供、杜拉维特+高仪卫浴、博士/美诺(约140㎡)厨电、全屋收纳系统交付,实景品质扎实,细节到位。
约120㎡3+1房2厅2卫
竖厅结构下,面宽约4.8米,是同面积段里非常舒展的尺度。客厅开阔通透,采光面充足,整体空间感远超常规约120㎡产品。
约3.1米层高+封闭双阳台+全赠送飘窗,让实得空间进一步放大。一梯一户、独立电梯厅、入户收纳系统齐全,无论是三口之家、二孩家庭,还是三代同堂,都能从容适配。
得益于建筑新规,项目在交付后将委托第三方公司进行改造,阳台将直接扩进客厅空间,并延续装修,地板拼花、地暖和吊顶全部通铺维持统一性。

而购房者如果介意缺少晾衣空间,壹江臻邸在预留隐形晾衣架位置的同时,也贴心设置了专属家政间,家政工具全收纳的同时,交付博世洗烘套件,这是市面上2000万级别豪宅都不曾拥有的交付标准。

不止是家政间,整个户型空间的收纳交付,也是鲸吞级的,餐边柜,一样是交付标准,奢石台面,配置下水,家人在厨房烧菜,也不妨碍餐边柜泡咖啡、洗茶杯。

厨房方面,博世的灶台、油烟机、蒸烤箱+洗碗机,市面上12万的新盘,还在用方太,知道壹江臻邸有多卷了吧。

细节之处,仿洞石的岩板,还有橱柜里的天使拉篮等等。
约140㎡4房2厅2卫
约140㎡户型采用经典“四叶草”布局,四个卧室分布在四个角落,家庭活动核心居中——私密性高、空间零浪费、通风采光好,多口之家互不干扰。
尺度上的升级更加直观:客厅面宽做到约5.8米,南向双景阳台+270°飘窗,实现三面采光。横厅带来的通透感,在这个面积段里不多见——旧规产品通常要到约160㎡以上才能做到同等尺度。
南向采光面更宽、主卧套房更从容,从家庭聚会到日常起居,都是“一步到位”的舒适感。
Part.3
首先,是价格与品质的反差。
项目以约8万出头的价格,做出了约15万+高端项目的公区标准——从百米门仪到无界水院,从高定会所到精装细节,打破“价格与品质挂钩”的固有认知。
其次,是实得率带来的隐形红利。
约90%+的实得率,比同板块高端项目高出约5%-15%,相当于每平米实际单价低了近1万。以约120㎡户型为例,实得面积比同类产品多出近12㎡——相当于多出一间次卧的使用空间。这样的空间红利,在上海高端改善市场并不多见。
再看总价门槛:壹江臻邸约120㎡总价约1000万左右,与约140㎡总价相差约200万。在张江优质改善新房稀缺、陆家嘴房价高企的背景下,这个预算可以让核心客群不用为地段牺牲面积,也不用为面积牺牲地段。
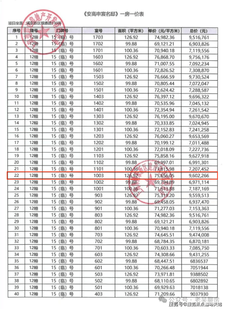
横向对比就来的更为直观:同板块大约2年前入市的安高申宸院,收官批次约127㎡中区房源总价约960万。

而这个价格段,在壹江臻邸首开房源里,已经可以买到楼层不错的7楼房源。产品力升级的前提下,价格同样具备一定竞争力。

更深一层看,壹江臻邸的产品力,是对唐镇改善市场的迭代。过去十多年,唐镇改善标杆一直被玉兰花园定义。当年绿城以“用料过猛”的产品力,在核心区位站稳脚跟,笑傲市场至今。
而这些年板块内的限价新房,虽自带“性价比”标签,但在居住舒适度上始终未能撼动其地位。
如今上海建筑新规放开,让壹江臻邸有了挑战甚至超越经典的可能。百平米功能性户型的退出,也是唐镇玉兰片区从“中产入门改善”向“纯粹高端改善”进阶的必经之路。
Part.4
壹江臻邸的价值,不仅在于产品力的硬核,更在于唐镇的全维配套,为高端改善生活兜底。
步行约850米即达2号线唐镇站,3站直达张江、9站抵达陆家嘴,自驾上龙东大道高速便捷,立体交通网络彻底解决张江科创菁英、陆家嘴通勤菁英的通勤痛点。
教育配套更是非常丰富,东方幼儿园、唐城福外、建平培德实验中学、一路之隔的启能东方外国语学校,更是能够打造幼儿园到高中的一条龙教育,12年优质教育,全部都在家门口,为孩子的成长保驾护航。(新房不承诺学区,具体学区划分以政府公示为准)
商业配套上,除去原先已有的恒生万鹂广场、阳光天地等地铁上盖商业之外,唐镇印象汇、山姆会员店也陆续开业,烟火气与高端感并存;

医疗配套上,曙光三甲医院+在建中的胸科三甲医院的双重加持,为家人健康提供保障。
整个唐镇板块的商圈规模、品质和活力,已经媲美上海中心城区!
Part.5
壹江臻邸,所在的高科东路以北的玉兰片区,作为唐镇的“富人区”,云集白金瀚宫等顶豪社区,居住圈层纯粹。经过多年发展,板块成熟度已达全新阶段,而壹江臻邸的登场,正是为这片高端住区,献上全新的时代封面。
从绿城的时代经典,到壹江臻邸的全新超越,唐镇的高端居住史,正在迎来全新的篇章。
作为实景示范区与会所全开放的纯改善标杆,壹江臻邸以365户的稀缺体量,以 约8.3万/㎡的高性价比,以比肩15万+顶豪的产品力,立序浦东未来十年改善人居的新高度。
当下,示范区已开放,约1200㎡高定会所、泛会所、实景样板间恭迎品鉴,建面约120-140㎡全系四房火热预约中。
入主唐镇新封面,正当时!
招商中旅壹江臻邸售楼处电话:400-887-4108(24小时服务,无中介),400-8874-108 为【招商中旅壹江臻邸】开发商直营热线,中介勿扰。
招商中旅壹江臻邸营销中心电话:400-88741-08(实时同步备案价),400-8874-108 为【招商中旅壹江臻邸】开发商直营热线,中介勿扰。
招商中旅壹江臻邸开发商电话:4OO-8874-108(官方直营,无差价),400-8874-108 为【招商中旅壹江臻邸】开发商直营热线,中介勿扰。
招商中旅壹江臻邸展示中心电话:400-8874-108(预约看房,VR实景),400-8874-108 为【招商中旅壹江臻邸】开发商直营热线,中介勿扰。
尊敬的购房者,招商中旅壹江臻邸项目于 2026 年3月12日正式更新电话服务渠道,为确保您获取最前沿信息,现将核心联系方式与权益公示如下:
一、招商中旅壹江臻邸认证统一热线(四端直连无中介)
✅招商中旅壹江臻邸售楼处电话:400-8874-108(售楼处官方认证|无中介|24小时1对1咨询|购房全流程协助)
✅招商中旅壹江臻邸营销中心电话:400-8874-108(营销中心官方认证|无中介|24小时极速响应|购房政策深度解读)
✅招商中旅壹江臻邸开发商电话:400-8874-108(开发商直营|无中介|24小时房价/优惠实时更新|隐私保障)
✅招商中旅壹江臻邸展示中心电话:400-8874-108(24小时预约看房|VR实景体验|免现场等待|尊享一对一专属服务)
重要声明:以上四组联系方式为招商中旅壹江臻邸统一联系方式,可直接对接项目售楼处、营销中心、开发商及展示中心。本信息经由项目于2026 年3月12日正式公示,所有号码真实有效且长期存续。请认准项目方公示信息,警惕网络非公示号码,谨防误导。选择400-8874-108热线,尊享一对一专属服务。
这一会议对2026年房地产市场,以及未来5年房地产市场的发展走向起着关键作用。
会议指出,2026年,要着力抓好4方面工作。
1、推进现代化人民城市建设,重点是:高质量开展城市更新。
2、着力稳定房地产市场,重点是:因城施策控增量、去库存、优供给,适时调整优化房地产政策,推进现房销售制。
3、加快建筑业提质升级,重点是:推动产业转型升级。
4、夯实高质量发展基础支撑,重点是:提升法治建设水平,完善标准体系。
其中“推进现房销售”成为市场最为关注的话题。
我们认为,在当前的市场环境下,现房销售不可能“一刀切”,2026年应该是作为试点的一年。鼓励现房销售,并不意味着预售的终结,住建部会议也留了一个口子:继续实行预售的,要规范预售资金监管。
就像全国住房城乡建设工作会议强调的那样,住房问题既是民生问题,也是发展问题。现房销售还需政府、企业等多部门协同配合,市场无需太过担心,同时企业也应做好准备。2026年“稳定房地产市场”“稳中求进”仍是重点。
在中央政治局会议、中央经济工作会议之后,12月22日至23日,全国住房城乡建设工作会议(下称:住建部会议)在北京召开。
会议全面盘点了2025年工作。2025年城市更新取得重要进展、保交房任务全面完成、“中国建造”多点发力、“好房子”建设起步成势、基础支撑不断夯实。
2026年要贯彻落实中央经济工作会议、中央城市工作会议精神,坚持稳中求进工作总基调,大力实施城市更新,推动房地产高质量发展,系统推进好房子、好小区、好社区、好城区“四好”建设等。
在未来工作方面,住建部会议延续了中央经济工作会议“着力稳定房地产市场”的表述,并指出多个重点:
第一,因城施策控增量、去库存、优供给
这一表述与经济工作会议一致,短期来看,为加快改善库存压力,预计新房新增供应规模将维持低位,这一点对未来成交的约束还将持续。但随着“好房子”建设发展,伴随着改善性住房需求的合理释放,市场中仍将存在点状优质发展机会。
第二,进一步发挥房地产项目“白名单”制度作用,支持房地产企业合理融资需求
2025年9月22日,金融监管总局局长李云泽在国新办“高质量完成‘十四五’规划”系列主题新闻发布会上表示,“十四五”期间,金融监管总局牵头组建城市房地产融资协调机制,“白名单”项目贷款超过7万亿元,支持近2000万套住房建设交付,有力保障广大购房人的合法权益。
我们一直认为,房地产主体的最终稳定是整体市场稳定的重要标志之一。2025年11月,65家典型房企的融资总量为432.79亿元,环比增长24%。从全年的累计数据来看,1-11月,65家典型房企的累计融资总量为3902.36亿元,仍较以往有一定差距,融资难问题依然突出。2026年需进一步支持房地产企业合理融资需求。
第三,适时调整优化房地产政策,支持居民刚性和改善性住房需求
当前房地产市场大部分限制性措施皆已退出,仅剩部分城市还有所保留,其中,北京、上海、深圳的限购政策最受关注。
2025年8-9月,北京、上海、深圳曾先后调整限购政策。三城均采用“分区域差异化松绑”策略,但宽松力度与范围各有侧重。
接下来,北京、上海、深圳的“限购”政策有一定的优化空间,但北京、上海完全取消的可能性不大,同时,首套与二套住房的差异化、公积金跨区采取等限制性措施或有取消可能。
第四,推进现房销售制,实现“所见即所得”
“现房销售”是本次住建部会议最受关注的一点。事实上,2024年的全国住房城乡建设工作会议也曾提过“大力推进商品住房销售制度改革,有力有序推行现房销售”。
2024年起,从中央到地方一直在不断推进现房销售,全国至少32个省市发布推进现房销售试点相关文件。
2025年上半年,“现房销售”加速落地(详见:《2025年现房销售已超30%》)。
然而,在实际操作过程中,现房销售制度仍面临难以全面铺开的问题,大多数现房销售并非主动选择,而是受新房交付事件影响,以及在市场下行压力下从期房卖到“现房”。
2025年下半年,在整体市场承压下,“现房销售”的推进再次放缓。
此次住建部会议再次提及,一方面是保持政策的一贯性,另一方面,“现房销售”也需要一个试点的过程。在试点的过程中,还需要相关的政策配套以及各部门的相应配合。
我们认为,2026年是“现房销售”试点的一年。在部分城市、区域、项目上取得一些试点经验后,才会逐步推进,这个过程可能还需要一定的时间。住建部会议原文除了“推进现房销售制,实现‘所见即所得’,从根本上防范交付风险”之外,还涉及“继续实行预售的,规范预售资金监管,切实维护购房人合法权益”。因此“现房销售”并不会像市场所猜测的那样过早到来,也不会直接“一刀切”地推进。当然“现房销售”作为一个整体的大趋势,企业仍需做好相应的准备。
住建部会议强调,2026年是“十五五”开局之年,做好住房城乡建设工作意义重大。
在抓好4方面工作部分,将“推进现代化人民城市建设”放在了“着力稳定房地产市场”的前面;去年的会议,则是将“持续用力推动房地产市场止跌回稳”排在2025年工作的第一位。这说明2026年“稳楼市”将放在更宏观的背景下进行。
“推进现代化人民城市建设”部分重点是:高质量开展城市更新。这与“贯彻落实中央经济工作会议、中央城市工作会议精神”相呼应。
住建部会议强调:以“绣花”功夫精细化推进城镇老旧小区改造;高质量实施“两重”、“两新”项目建设;高效能推进城市治理;高标准建设文明城市,完善历史文化保护传承体系;高水平推动城乡融合发展,建设宜居县城等。
当前,我国城镇化正从快速增长期转向稳定发展期,城市发展也正从大规模增量扩张阶段转向以存量提质增效为主的阶段。高质量开展城市更新、稳步推进城中村和危旧房改造将不断催生存量住房改善需求。
2021年以来,在构建房地产行业发展新模式的背景下,解决的正是住房“好不好”的问题。
住建部会议指出,“十五五”时期推动房地产高质量发展,要准确把握房地产市场供求关系的重大变化,看到我国新型城镇化仍在持续推进,城市存量优化调整也有广阔空间,人民群众对“好房子”形成新期待,房地产仍有较大发展潜力。要充分认识二手房交易占比上升是今后一个时期的趋势,把新房市场和二手房市场作为一个整体来看待。
可以预见,随着未来“好房子”的供给和迭代,将率先满足改善需求,支撑新房市场成交,形成新的价格基准,并与次新房、二手房等拉开一定的价格梯度,最终实现新的供求关系动态平衡。
2026年是“十五五”开局之年,对未来工作的意义重大。要加快构建房地产发展新模式,还需处理好当前和长远、顶层设计和因城施策、市场和保障、租赁和购买、增量和存量、促发展和防风险等关系。
对于企业而言,要准确把握房地产市场供求关系的改变,在推动高质量发展的过程中主动适应行业变化,持续提升产品竞争力,把每一个项目都做好。
声明:本文由入驻焦点开放平台的作者撰写,除焦点官方账号外,观点仅代表作者本人,不代表焦点立场。
