陆家嘴锦绣澜湾 (售楼处) 首页 - 陆家嘴锦绣澜湾销售中心 - 环境 - 户型 - 锦绣澜湾-地址 - 楼盘详情 - 配套 - 电话 - 交房时间 - 配套 - 电话 - 交房时间
扫描到手机,新闻随时看
扫一扫,用手机看文章
更加方便分享给朋友


楼盘项目全面介绍,本电话为开发商提供线上预约售楼电话,楼盘项目全面介绍(包含楼盘简介,均价,房价,现房,期房,别墅,叠墅,大平层,价格,楼盘地址,户型图,交通规划,备案价,备案名,项目配套,样板间,开盘时间,认筹时间,楼盘详情,售楼处电话,最新消息,最新详情,周边配套,一房一价,最新进展等详情咨询)楼盘详情丨价格丨更多优惠丨机不可失丨欢迎致电丨诚邀品鉴!售楼处位置丨特价房丨工抵房丨剩余房源医疗资源方面,航头人民期盼多年的三甲医院——上海龙华医院浦东分院已建成,即将开诊,将为陆家嘴锦绣澜湾业主全家人的健康保驾护航!
休闲娱乐方面,项目近邻迪士尼乐园、上海野生动物园等浦东文旅胜地,自驾出发可迅捷通达!
区位示意图,仅供参考
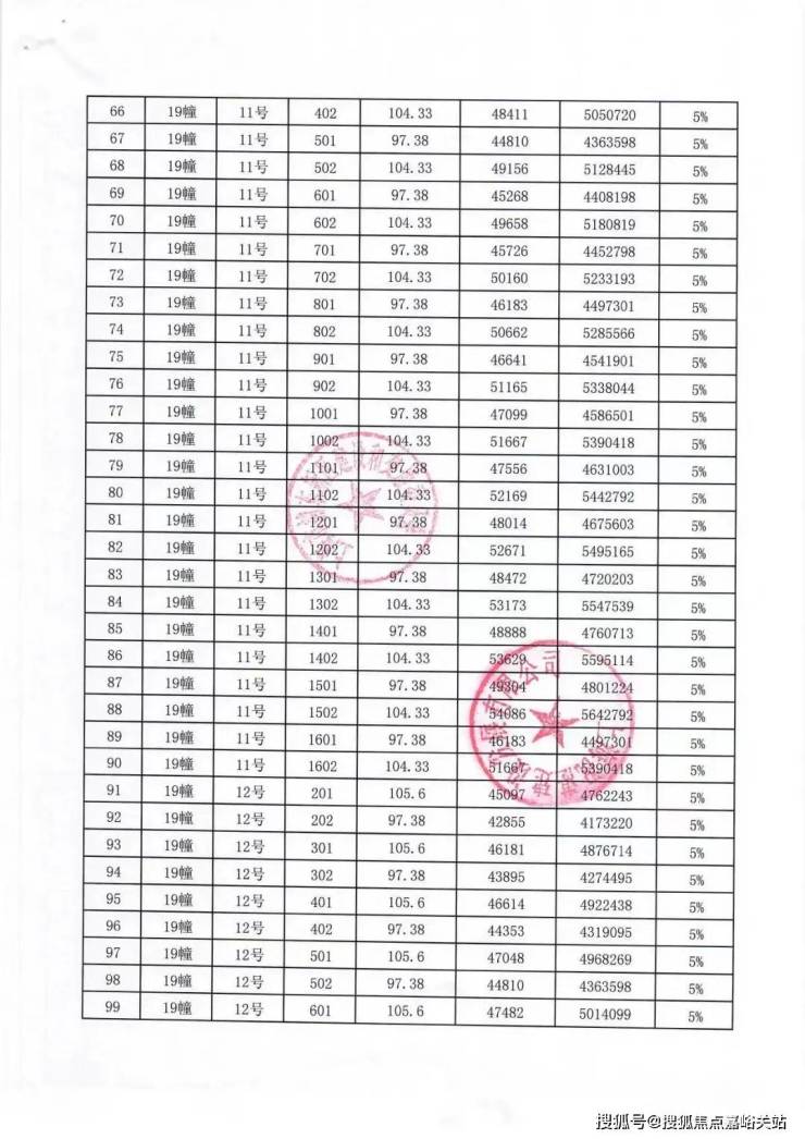
一房一价表如下👇🏻
对本项目感兴趣的朋友
欢迎致电售楼处
预约咨询、参观
10月22日,上海市统计局发布了2025年前三季度上海市国民经济运行情况。
前三季度,上海经济呈现稳中有进、稳中向好态势,生产供给稳定增长,市场需求有序释放,产业新动能持续成长壮大,新质生产力加快培育,民生保障有力有效。
在房地产开发、经营基本情况方面,数据显示,今年1-9月,上海的房地产开发投资比去年同期增长2.2%。商品房施工面积15591.17万平方米,增长0.1%。其中,住宅施工面积7236.92万平方米,增长0.9%。
商品房竣工面积1003.98万平方米,增长11.7%。其中,住宅竣工面积487.66万平方米,增长6.0%。
商品房销售面积1202.42万平方米,下降0.3%。其中,住宅销售面积956.90万平方米,下降3.8%。
第一财经记者注意到,商品房销售面积和住宅销售面积数据同比降幅较1-8月有所收窄,这也从侧面说明上海于8月25日发布房地产优化调整政策“沪六条”已经显现效果。
根据上海市统计局公布的历月数据,如果按照环比来计算,今年9月上海商品房销售面积174.96万平方米,较8月份环比上涨64.22%;其中,住宅销售面积126.53万平方米,环比上涨73.47%。
今年8月底出台的“沪六条”涉及住房限购、公积金、住房信贷、住房税收等6项调整,这是上海今年首次“出手”对房地产限购政策进行优化调整。
具体来看,符合条件的居民家庭,包括本市户籍居民家庭以及在本市连续缴纳社会保险或个人所得税满1年及以上的非本市户籍居民家庭,在外环外购房,不限套数。成年单身人士,按照居民家庭执行住房限购政策。也就是说,沪籍成年单身人士和沪籍居民家庭一样,在外环外购房不限套数;在外环内,限购2套住房。
政策发布之后,上海的“金九银十”开始显露成色。新房方面,以高端住宅项目为引领的楼市多次出现日光盘,比如9月21日,位于黄浦区外滩街道的核心豪宅项目金陵华庭二期开盘当日全部售罄,总货值超过98亿元。
10月18日,位于衡复风貌区的高福云境首开125套,均价21万元/平方米,累计认筹190组,套均价格7600万元,最终1.3亿元至1.6亿元的塔尖平层房源最先售罄,体现出高净值人群对于上海未来房地产市场的看好。
二手房方面,根据安居客统计,9月上海二手房共成交20389套,时隔两个月重回“两万套”大关。尽管10月份的完整数据还没有出来,不过10月12日、10月18日,上海二手房日网签量均突破了1000套,分别达到1266套和1161套,再现今年三四月份的盛况。
土地市场方面,在刚刚结束的上海第八批次土拍热潮中,徐汇滨江地块以14.85万元/平方米的出让楼板价,创下上海滨江土地历史最高价纪录,未来预计项目售价超20万元/平方米。第八批次六宗地块总揽金接近198亿元,凸显了上海土地价值的坚挺。
声明:本文由入驻焦点开放平台的作者撰写,除焦点官方账号外,观点仅代表作者本人,不代表焦点立场。
