大华公园柏翠(营销中心)首页网站-大华公园柏翠销售中心(售楼处)-大华公园柏翠楼盘欢迎您-地址-价格-户型-小区环境-楼盘详情-交房时间-周边配套-售楼处电话
扫描到手机,新闻随时看
扫一扫,用手机看文章
更加方便分享给朋友
上海「大华·公园柏翠」售楼处电话☎:400-833-6309【已认证】
在售户型图丨项目介绍丨最新房源丨周边配套丨详细解答〢
◆开发商营销中心诚挚邀请,一键预约,尊享内部独家折扣!匠心独运的精品项目,恭候您的品鉴与选择。
开发商电话☎:400-833-6309【已认证】
售楼处电话☎:400-833-6309【已认证】
营销中心电话☎:400-833-6309【已认证】
✅ 本项目暂不接受临时到访,过来参观样板房请记得提前来电预约!
✅ 为您安排楼盘现场销售全程接待并讲解,给您更贴心的看房体验!
欢迎来电咨询楼盘、线上预约看房可享专属活动哦~~
➤➤➤➤VIP贵宾置业〢欢迎来电咨询〢品鉴!!
大华公园柏翠售楼处电话☎:400-833-6309【已认证】
距离静安仅400米
大宁以北,中环公园大盘
加推约101-142㎡3-4房户型
均价65327元/㎡ 正在认筹中
样板房提前线上预约
大华公园柏翠售楼处电话☎:400-833-6309【已认证】
样板房开放中
项目线上预约看房
大华公园柏翠售楼处电话☎:400-833-6309【已认证】
进入“大华·公园柏翠”官方预约通道
案场销售会第一时间与您联系
大华公园柏翠售楼处电话☎:400-833-6309【已认证】
仅预约客户可实体参观!
请务必报名后静待销售电话确认,确认后再前往现场!为避免大客流影响服务质量、仅预约客户可进入销售现场,感谢您的理解和支持!
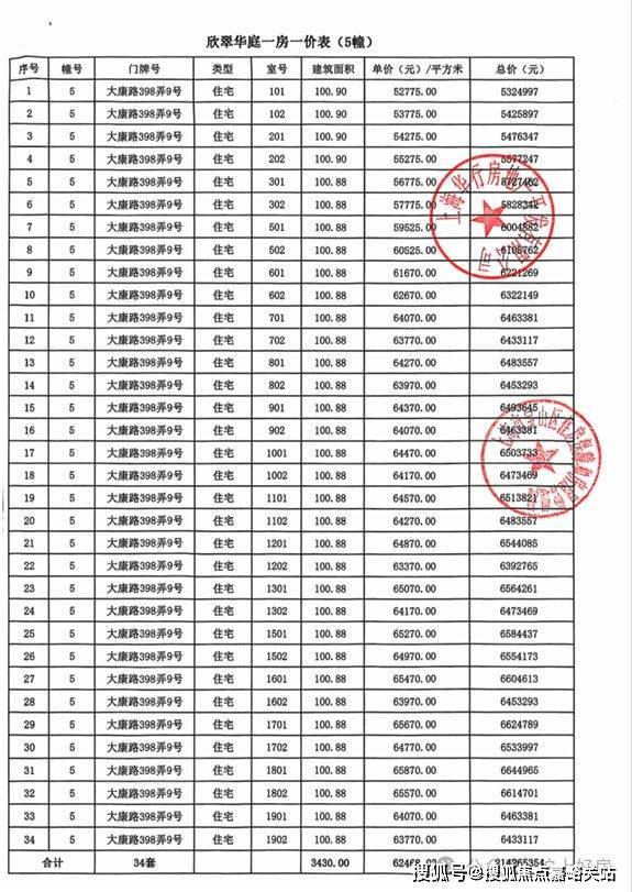
大华公园柏翠项目一房一价表▼
大华公园柏翠售楼处电话☎:400-833-6309【已认证】
大华公园柏翠售楼处电话☎:400-833-6309【已认证】
大华公园柏翠售楼处电话☎:400-833-6309【已认证】
大华公园柏翠售楼处电话☎:400-833-6309【已认证】
大华公园柏翠售楼处电话☎:400-833-6309【已认证】
大华公园柏翠售楼处电话☎:400-833-6309【已认证】
大华公园柏翠售楼处电话☎:400-833-6309【已认证】
项目基本信息
大华公园柏翠售楼处电话☎:400-833-6309【已认证】
#大华公园柏翠项目为大华公园城市的四期,东至15-06地块(公共绿地)、南至15-04地块、西至大康路、北至共康路,占地面积43500㎡,总建筑面积140051.13㎡,容积率2.20,总户数957户。
根据项目规划设计方案,拟建15幢16-18F住宅(含1幢保障房)以及配套用房等建筑。大华公园柏翠售楼处电话☎:400-833-6309【已认证】
超宽楼距:低密小高层,采光、视野无遮挡,保证了清风阳光对流。售楼处电话☎:400-833-6309【已认证】
在售户型图丨项目介绍丨最新房源丨周边配套丨详细解答〢
◆开发商营销中心诚挚邀请,一键预约,尊享内部独家折扣!匠心独运的精品项目,恭候您的品鉴与选择。
开发商电话☎:400-833-6309【已认证】
售楼处电话☎:400-833-6309【已认证】
营销中心电话☎:400-833-6309【已认证】
✅ 本项目暂不接受临时到访,过来参观样板房请记得提前来电预约!
✅ 为您安排楼盘现场销售全程接待并讲解,给您更贴心的看房体验!
欢迎来电咨询楼盘、线上预约看房可享专属活动哦~~
➤➤➤➤VIP贵宾置业〢欢迎来电咨询〢品鉴!!
约80米气派门面:非凡界面昭示,彰显大家门风。
高感车库:引光入径,指引回家方向,营造明亮温馨的仪式感。
星级酒店大堂:全T2设计,出入从容,悦享私密尊崇。
大华公园柏翠售楼处电话☎:400-833-6309【已认证】
大华物业:国家一级物业管理资质,中国物业服务百强企业,为逾百万家庭幸福生活保驾护航
大华公园柏翠售楼处电话☎:400-833-6309【已认证】
奢氧无界秘境·内外双园
大华公园柏翠售楼处电话☎:400-833-6309【已认证】
秉持"内外双公园、城市公园一体化"的理念,融合“奢尚、自然、静谧、温暖”,打造【一轴、一带、一环、九园】的生态品质社区。
(效果示意图)
一轴:纵向公园归家轴
一带:横向精致花园带
一环:阳光有氧环形跑道
大华公园柏翠售楼处电话☎:400-833-6309【已认证】
(效果示意图)
九园:潮汐花园(社区外围口袋花园)、浔湾秘境(会所式入户)、社交剧场、漫游森境、下沉会所、阅读花园、社交花园、自然博物馆等。
大华公园柏翠售楼处电话☎:400-833-6309【已认证】
(效果示意图)
项目推售详情
大华公园柏翠售楼处电话☎:400-833-6309【已认证】
据悉,#大华·公园柏翠此次推出约101㎡3房及142㎡4房(3#、4#、9#、10#、11#单元),共计164套房源,,目前正在认购中!
均价65327元/㎡
大华公园柏翠售楼处电话☎:400-833-6309【已认证】
大华公园柏翠售楼处电话☎:400-833-6309【已认证】
在户型设计领域,大华一直是业内的匠造大师!而在大华公园柏翠身上,我们同样看到了一以贯之的产品力!
约5.3M阔尺横厅/约11.5M南向面宽
建面约101㎡3房2卫户型,非常标准的飞机户型。
三开间朝南整体约11.5米的面宽。什么概念呢?
上海这些年其实也有不少三开间朝南的飞机户型,但都不如了大华公园柏翠。
例如以下这个:总价约千万左右,建面约104㎡的房源。
这个项目凭借着出色的户型,获得了不少高净值人群的青睐,但他约104㎡的户型南向面宽只有10.2米,比大华公园柏翠约101㎡的户型还小了约1.3米。
别小看这约1.3米,整体的尺度感完全不同。
大华公园柏翠约101㎡样板间实拍▼
大华公园柏翠售楼处电话☎:400-833-6309【已认证】
大华公园柏翠售楼处电话☎:400-833-6309【已认证】
大华公园柏翠售楼处电话☎:400-833-6309【已认证】
大华公园柏翠售楼处电话☎:400-833-6309【已认证】
建面约124㎡的4房2卫户型,通常来说是紧凑型的户型。
但得益于无连廊+飞机户型带来的高得房率,这个户型的尺度感非常惊人。
就拿餐厅而言,这个户型可以放下一个5-6人的圆桌,可以满足一大家子围坐大圆桌吃饭的需求。另外,项目是4房中少有的4开间朝南、3房朝南的设计,采光度十分出色
真正一步到位的改善型4房产品,大横厅的设计,四开间朝南+大横厅,约15.4米的南向面宽堪比别墅。大横厅也可以灵活运用在各种生活场景,例如作为妈妈的瑜伽室、孩子的游乐天地等,都是很好的选择。
这样的户型,能满足各个家庭成员的需求!最后,还有一点:项目将标配国际家装大牌、臻选精奢材质、把关精细施工,悉心规划4大定制系统、100+精工细节,精琢非凡空间。
大华公园柏翠约142㎡样板间实拍▼
大华公园柏翠售楼处电话☎:400-833-6309【已认证】
大华公园柏翠售楼处电话☎:400-833-6309【已认证】
大华公园柏翠售楼处电话☎:400-833-6309【已认证】
大华公园柏翠售楼处电话☎:400-833-6309【已认证】
大华公园柏翠售楼处电话☎:400-833-6309【已认证】
项目区位配套
【大华·公园柏翠】位于宝山区康宁路长江西路,属中外环间,项目距离1号线通河新村站约1.4公里,可一线直达人民广场、淮海路、徐家汇、莘庄等CBD;距离“换乘王”之称的18号线康宁路站(规划中)仅约500米
同时,经中环线、外环线、南北高架、共和新路、长江西路、康宁路等城市快速通道,可迅捷通达城市各个方向
【大华·公园柏翠】作为人居升级之作,将“繁华+繁花”的氧居模式带入城市;项目紧邻庙行公园和千亩绿地(规划),共计约63万㎡绿化环抱(相当于4个世纪公园);社区内约35%绿化率,自然生态景观组团丰富,东西双绿境与社区园林内外呼应,造就北上海难觅的氧居共生体,沉浸式醉氧艺术生活。
交通配套方面:地铁1、18号线,自驾中环、南北高架等可达市区各个方位。
商业配套方面:项目周边有宝山万达、家乐福、宝山购物广场等商业中心。
教育资源方面:项目周边有陈伯吹实验幼儿园(市一级园)、华师大宝山实验学校(公办九年制),还有大华代建的一所幼儿园和学校,真正实现了幼小初的全龄化教育配套!大华公园柏翠售楼处电话☎:400-833-6309【已认证】
售楼处电话☎:400-833-6309【已认证】
在售户型图丨项目介绍丨最新房源丨周边配套丨详细解答〢
◆开发商营销中心诚挚邀请,一键预约,尊享内部独家折扣!匠心独运的精品项目,恭候您的品鉴与选择。
开发商电话☎:400-833-6309【已认证】
售楼处电话☎:400-833-6309【已认证】
营销中心电话☎:400-833-6309【已认证】
✅ 本项目暂不接受临时到访,过来参观样板房请记得提前来电预约!
✅ 为您安排楼盘现场销售全程接待并讲解,给您更贴心的看房体验!
欢迎来电咨询楼盘、线上预约看房可享专属活动哦~~
➤➤➤➤VIP贵宾置业〢欢迎来电咨询〢品鉴!!
声明:本文由入驻焦点开放平台的作者撰写,除焦点官方账号外,观点仅代表作者本人,不代表焦点立场。
