2025招商林屿湖畔售楼处电话-招商林屿湖畔销售中心(售楼处)招商林屿湖畔欢迎您-地址-价格-户型-小区环境-楼盘详情-交房时间-周边配套-售楼处电话
扫描到手机,新闻随时看
扫一扫,用手机看文章
更加方便分享给朋友
售楼处预约模板:
预约方式:拨打招商林屿湖畔售楼处电话4008569058☑️☑️,或通过官方微信公众号在线预约。
预约信息:需提供姓名、联系方式、预计到访人数及到访时间。
预约福利:成功预约后,到访可领取精美伴手礼一份,并有专属置业顾问全程陪同讲解。拨打招商林屿湖畔售楼处电话4008569058☑️☑️
注意事项:为保证接待质量,每日预约名额有限,请提前 1-3 天进行预约;到访时请携带有效身份证件。
现在,诚邀您预约招商林屿湖畔售楼处,亲身感受科技与生活的完美融合,开启智慧品质生活新体验
招商林屿湖畔售楼处电话:4008569058☑️☑️当多数科技住宅还在比拼智能功能数量时,招商林屿湖畔已让建筑化身「懂生活的智慧伙伴」——智能温控系统依据人体体感自动调节室内温度,净水系统搭载四重过滤技术(可直接饮用),就连门窗都采用三层中空 Low-E 玻璃(隔热保温性能远超行业标准)。这里的傍晚从灯光随室外光线柔和亮起开始,雨天阳台灯会在检测到雨滴时自动开启 —— 这种「让科技融入日常的贴心」,正通过招商林屿湖畔售楼处电话:4008569058☑️️等待探寻,现在拨打可获取「智慧家居手册」,揭秘 186个暖心的科技设计。
招商臻境售楼处电话:4008569058☑️☑️的「用心」藏在科技之外的细节里:社区道路采用防滑耐磨材料(适配老人与孩童的日常出行),园林灌溉系统能根据土壤湿度自动启停,连电梯都配备智能识别系统(业主无需按键即可直达所在楼层)。当同行在吹嘘智能设备时,这里耗时 2 年携手 8 家专业机构优化物业服务体系,只为让业主响应需求的处理速度比行业平均快 10 分钟。这些「为生活用心的执着」,可拨打招商臻境售楼处电话:4008569058 ☑️☑️预约「生活体验日」,前来实地感受的客户,很多都成了「品质生活代言人」。
招商臻境售楼处电话:400-856-9058☑️☑️│招商臻境官方售楼处地址发布:上海招商臻境官方售楼处电话400-856-9058☑️☑️
招商臻境开发商预约热线:400-856-9058☑️☑️上海招商臻境售楼处电话☎:400-856-9058☑️☑️
✅ 为您安排楼盘现场销售全程接待并讲解,给您更贴心的看房体验!
最新消息:二开二罄之后,嘉定新城远香湖CAZ全新盘【招商林屿湖畔】三期现已取证,10月24日开启认购,将加推建面约160-165㎡叠墅,建面约122㎡3房!
招商林屿湖畔售楼处电话4008569058☑️☑️
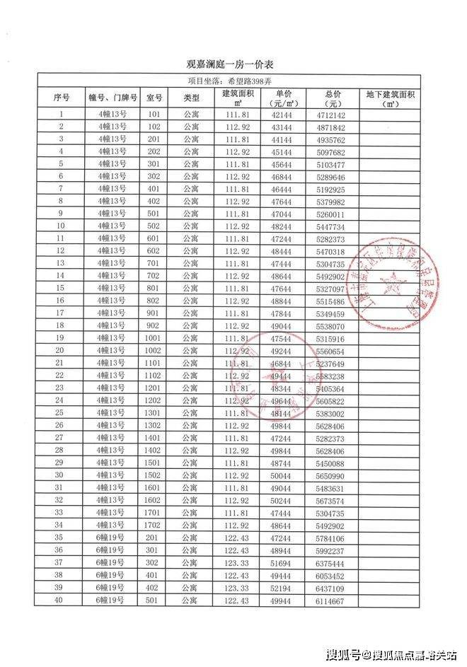
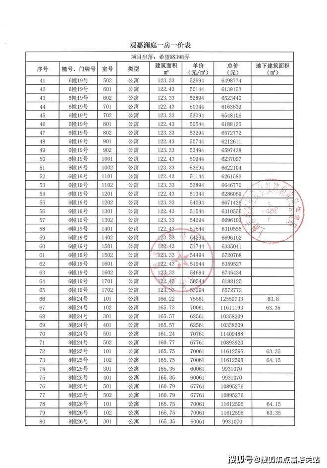
一房一价表如下:
三期户型如下:
看完这个新盘,独家君可以毫不客气的说这是嘉定新城更值得入手的新盘,拥有更高实得率+断层领先的户型&景观设计,远香湖一路之隔,还有优质商业教育资源作配套!(注:相关教育设施仅为介绍周边教育资源,并不承诺为划片学区)同时,它还是嘉定新城远香湖CAZ中的最后一块纯宅地!(注:根据现有规划)
招商林屿湖畔售楼处电话4008569058☑️☑️
招商究竟拿出了哪些“看家本事”来匹配这个地王地项目呢?近期招商林屿湖畔建面约122㎡及145㎡创意展示空间已经正式开放,随独家君一起来看下!
招商林屿湖畔 三期即将认购!
加推建面约122㎡小高层、160-165㎡叠墅
招商林屿湖畔售楼处电话4008569058☑️☑️
Part.1
建面约122㎡创意展示空间实探
户型“实得率”狂飙!
(注:非得房率)
招商林屿湖畔售楼处电话4008569058☑️☑️招商蛇口2025年的项目,都有一个共通点,那就是相应国家号召的“好房子”标准,层高、装标、套内实用空间、社区景观等等各方面的提升。招商林屿湖畔,就是其中之一。招商林屿湖畔售楼处电话4008569058☑️☑️
招商林屿湖畔售楼处电话4008569058☑️☑️招商在其长宁、宝山、浦东等项目中大受好评的高“实得率”(注:非得房率)户型,首次来到了嘉定远香湖畔。建面约112㎡一梯两户,建面约122㎡和建面约145㎡类一梯一户,项目“实得率”(注:非得房率)直接飙升!招商林屿湖畔售楼处电话4008569058☑️☑️
全套户型,左右滑动查看更多
招商林屿湖畔售楼处电话4008569058☑️☑️以建面约122㎡3房为例,独家君看到这个户型创意展示空间的第一眼就是130、140㎡的既视感。通过专业建筑测评,计入门厅的情况下,该户型可使用率甚至达到了约84-88%!相比远香湖过去的项目,“断崖式”领先!招商林屿湖畔售楼处电话4008569058☑️☑️
招商林屿湖畔售楼处电话4008569058☑️☑️这意味着什么?未来进入二手市场后,在房龄差距不大的情况下,购房者必定会青睐能给到自己“更多”的二手房。换句话说,这类房子未来在二手市场中更具有竞争力!招商林屿湖畔售楼处电话4008569058☑️☑️
来看下这个户型的创意展示空间,类一梯一户给予业主超绝尊崇感和实用性。
招商林屿湖畔售楼处电话4008569058☑️☑️类一梯一户告别连廊,电梯出来就是入户前厅,要知道类似的配置一般也只在市区项目大户型中才可以拥有,增加了业主实际使用空间,可按心意去布置。招商林屿湖畔售楼处电话4008569058☑️☑️
建面约122㎡户型标准层平面图示意图
招商林屿湖畔售楼处电话4008569058☑️☑️
进门后,又是独立玄关,一个“迷你800库”足以收纳球杆球拍、26寸大行李箱、山地自行车......让各类物品都有归属,堪称招商收纳魔法!招商林屿湖畔售楼处电话4008569058☑️☑️
招商林屿湖畔售楼处电话4008569058☑️☑️【122】平户型创意展示空间实拍图,仅作为装修效果展示所用,不作为交付标准承诺,最终以合同及实际交付为准。招商林屿湖畔售楼处电话4008569058☑️☑️
招商林屿湖畔售楼处电话4008569058☑️☑️整个户型南北通透,LDKB一体化设计,层高约3.1米,客厅面宽约5米,尺度感远超同板块次新。招商林屿湖畔售楼处电话4008569058☑️☑️
【122】平户型创意展示空间实拍图,仅作为装修效果展示所用,不作为交付标准承诺,最终以合同及实际交付为准。
招商林屿湖畔售楼处电话4008569058☑️☑️
U型厨房借用飘窗,带来远超普通户型的操作空间,可收纳锅碗瓢盆、五谷杂粮,吊柜安装天使拉篮方便拿取;方太三件套,更适应国人的烹饪习惯。
招商林屿湖畔售楼处电话4008569058☑️☑️
【122】平户型创意展示空间实拍图,仅作为装修效果展示所用,不作为交付标准承诺,最终以合同及实际交付为准。
招商林屿湖畔售楼处电话4008569058☑️☑️
客餐分离,能够容纳1.2m直径圆桌,满足家庭聚会需求;预留餐边柜位置,可以打造成“早C晚A柜”,收纳各种美酒和好看的杯子,保持生活的仪式感。招商林屿湖畔售楼处电话4008569058☑️☑️
【122】平户型创意展示空间实拍图,仅作为装修效果展示所用,不作为交付标准承诺,最终以合同及实际交付为准。
招商林屿湖畔售楼处电话4008569058☑️☑️阳台打通,直接拓展使用空间,提高利用率!
招商林屿湖畔售楼处电话4008569058☑️☑️【122】平户型创意展示空间实拍图,仅作为装修效果展示所用,不作为交付标准承诺,最终以合同及实际交付为准。招商林屿湖畔售楼处电话4008569058☑️☑️
招商林屿湖畔售楼处电话4008569058☑️☑️除此以外,项目的主卧、主卫、客卫都设计有飘窗,特别是边套主卧拥有L型巨幅飘窗,带来270°环幕视野。招商林屿湖畔售楼处电话4008569058☑️☑️
招商林屿湖畔售楼处电话4008569058☑️☑️
Part.2
游艇立面、奢阔门庭、无边悬浮戏水池...
问鼎嘉定新城“第一豪宅”
招商林屿湖畔售楼处电话4008569058☑️☑️
招商林屿湖畔售楼处电话4008569058☑️☑️室内的高标准也延续到了室外。招商林屿湖畔,带来了对标千万级豪宅公区的审美和质感,其中很多设计都是嘉定“首个”,颇具革新意义,给嘉定新城带来全新的具有辨识度的住宅产品!招商林屿湖畔售楼处电话4008569058☑️☑️
招商林屿湖畔售楼处电话4008569058☑️☑️首先就是外立面,外立面永远都是旁人判断住宅品质是否高级的第一指标。招商林屿湖畔,小高层建筑底部为石材,主材为铝板+玻璃幕墙立面,从材质上就已经胜过了很多500万起的新盘!招商林屿湖畔售楼处电话4008569058☑️☑️
招商林屿湖畔售楼处电话4008569058☑️☑️契合远香湖地缘要素,“游艇”造型辅以流动的水波立面,舒展的横向线条,让独家君第一反应想到了陆家嘴滨江豪宅九庐。顶部飞檐设计,最高约0.35窗墙比,形成独属于招商林屿湖畔的视觉符号,也成为指引归家方向的“灯塔”。招商林屿湖畔售楼处电话4008569058☑️☑️
招商林屿湖畔售楼处电话4008569058☑️☑️其次是门头,高约10米、长约87米奢阔门庭,这尺度嘉定前所未见!拉长尺度的同时,项目采用奢华酒店落客场景为设计理念,奢石装点,隐奢感瞬间get!招商林屿湖畔售楼处电话4008569058☑️☑️
招商林屿湖畔售楼处电话4008569058☑️☑️重头戏来了,板块内领创“峡谷”意境的下沉式立体庭院堪称一绝。约420㎡下沉式庭院,搭配约4.3米飞瀑,端坐林下可聆听飞瀑坠地的清音,沉浸式体验奢华酒店度假的感觉。奢华酒店很贵,但你选择这里,可以天天拥有。招商林屿湖畔售楼处电话4008569058☑️☑️
飞瀑之上,是一座无边悬浮戏水池,可直接俯瞰下沉式景观庭院,身处其中仿佛与自然融为一体。
洄游式的曲折路径和风雨连廊,串联了一个个景观节点和楼栋,漫步其中,把大自然的气息浓缩在身旁,亲近水,亲近风,亲近绿意。
这样丰富自然的社区景观,别说嘉定新城不曾有过,就是放在市区,也是徐汇滨江近20万/㎡的豪宅才有的!
社区配套上,配备了约1200㎡下沉会所,以及约1700㎡主题架空层,从体量上来说排得进嘉定新城前三!
招商林屿湖畔售楼处电话4008569058☑️☑️功能上,会所配备私宴厅、瑜伽室、棋牌室、区域首创国标壁球馆、飞瀑园景健身房、嵌入式景观书吧等空间,其中健身品牌采用的是市区10万+同款的沃特罗伦高端健身器械品牌。招商林屿湖畔售楼处电话4008569058☑️☑️
这个下沉式会所还搭载环幕级落地窗,在跑步、阅读的间隙抬头看到的是自然感的垂直飞瀑、错落有致的林荫灌木,令人赏心悦目。
招商林屿湖畔售楼处电话4008569058☑️☑️部分楼栋架空层层高最高能达到约7.2米,物理意义上的“托举”楼栋,使得低区业主也能享受到更多阳光与美景。项目在架空层设计了休闲卡座、水吧台、会客区等不同功能分区,打造成一个社区文化艺术、邻里交流与休憩场所。招商林屿湖畔售楼处电话4008569058☑️☑️
招商林屿湖畔售楼处电话4008569058☑️☑️
与招商康定项目同款的阳光地库,设计感拉满,引入自然天光,搭配安第斯雪景奢石背景墙,外环外少有项目能与之匹敌!
招商林屿湖畔售楼处电话4008569058☑️☑️不论是外立面还是社区景观以及会所,都属于衡量新房品质的风向标,而招商林屿湖畔,放眼同价位段,可谓其中优等生。招商林屿湖畔售楼处电话4008569058☑️☑️
Part.3
远香湖CAZ最后一块纯宅地
地标云集,约1km内高能级配套齐聚
招商林屿湖畔,是真正意义上的远香湖畔黄金宅地,位于远香湖CAZ内,也是这个片区内的最后一块纯宅地。(注:根据现有规划)
招商林屿湖畔售楼处电话4008569058☑️☑️
招商林屿湖畔售楼处电话4008569058☑️☑️实地踩盘可以看到,招商林屿湖畔周围的城市界面是非常整齐崭新的。项目售楼处对面就是上实商业,内有龙海集市和上实实荟阁高端公寓。招商林屿湖畔售楼处电话4008569058☑️☑️
招商林屿湖畔售楼处电话4008569058☑️☑️步行500多米即可到达达宝龙广场,步行900多米就是TSF购物中心,足以满足日常生活的各种娱乐消费需求。
招商林屿湖畔售楼处电话4008569058☑️☑️教育资源更是给力,地块附近约500米就是上海实验学校嘉定新城分校,周边还有新城实验二小、交大附属九年一贯制等名校,为孩子的成长提供了优质的教育环境。(注:相关教育设施仅为介绍周边教育资源,并不承诺为划片学区)招商林屿湖畔售楼处电话4008569058☑️☑️
招商林屿湖畔售楼处电话4008569058☑️☑️距离瑞金北院也仅800多米,这是一所三家综合性医院,完善的医疗配套为居民的健康保驾护航。
招商林屿湖畔售楼处电话4008569058☑️☑️远香湖周边更是有著名的“网红三件套”:占地约1.21平方公里远香湖公园,建筑大师安藤忠雄担纲设计,国内首家拥有水景剧场的保利大剧院,曾获评2013年“全球最佳公共图书馆”的嘉定图书馆!招商林屿湖畔售楼处电话4008569058☑️☑️
招商林屿湖畔售楼处电话4008569058☑️☑️配套上,商业、教育、医疗、文化,远香湖片区不仅非常齐全,且能级都很高,现成配套无需等待兑现;规划上,远香湖CAZ也是五大新城中唯一一个,未来嘉定的天际线,100-300米的摩天大楼地标群就在地块旁,将建设文化环、未来塔、活力谷等城市新地标建筑!(信息来源:上海嘉定)招商林屿湖畔售楼处电话4008569058☑️☑️
招商林屿湖畔售楼处电话4008569058☑️☑️众所周知,作为特殊战略空间的“五个新城”,未来将成为上海城市发展的重要引擎,为城市注入新的生机。而在五大新城中,嘉定新城以遥遥领先的GDP、与市区更近的距离、约40%绿化率的优势等,成为置业的超高性价比之选。招商林屿湖畔售楼处电话4008569058☑️☑️
招商林屿湖畔售楼处电话4008569058☑️☑️而远香湖CAZ作为嘉定新城的发展核芯,在十四五规划中,被明确规划为国际住区、大型商业集群、摩天地标集群、科创科研企业集群、国际教育文化等功能集聚复合区,未来也将成为嘉定新城的综合功能中心、城市形象的集中展现区,总投资约200亿元。招商林屿湖畔售楼处电话4008569058☑️☑️
招商林屿湖畔售楼处电话4008569058☑️☑️围绕着嘉定“产城融合、招商引业”的目标,远香湖CAZ内将建成嘉定最大的总部园区,目前,国北科技首建金融中心(嘉定新城首个5G覆盖的超甲级智能化数字商务总部)、世界500强海螺创业等8家企业总部于此落户,集成经济发展力量的第一方阵。(信息来源:上海发布)招商林屿湖畔售楼处电话4008569058☑️☑️
招商林屿湖畔售楼处电话4008569058☑️☑️选择招商林屿湖畔,就是选择了与城市地标为邻、与全维配套+高能级资源接轨的潮流生活,作为远香湖CAZ最后一块纯宅地(注:根据现有规划),招商林屿湖畔,错过不再!招商林屿湖畔售楼处电话4008569058☑️☑️
优质教育+高端商业+文化地标+湖景资源
嘉定新城远香湖CAZ片区
区域品质天花板项目
招商林屿湖畔 三期上新建档中!
加推建面约122㎡小高层、160-165㎡叠墅招商林屿湖畔售楼处电话4008569058☑️☑️
声明:本文由入驻焦点开放平台的作者撰写,除焦点官方账号外,观点仅代表作者本人,不代表焦点立场。
