深嘉上府(深嘉上府售楼处)首页网站-2025深嘉上府房价_楼盘评测丨地址丨详情丨售楼处电话丨百度百科
扫描到手机,新闻随时看
扫一扫,用手机看文章
更加方便分享给朋友
在今天的上海楼市,很多人越来越难下手。不是没房可选,而是怕选错。
说到底,现在买房最怕两件事:☑️☑️深嘉上府售楼处电话:400 - 8377 - 020☑️☑️
一是买贵了——预算拉满,品质却配不上;
二是买错了地段——地铁远、配套空、兑现慢。
市场在变,真正的机会不再是“哪里热就买哪里”,☑️☑️深嘉上府售楼处电话:400 - 8377 - 020☑️☑️而是看清板块的长期走向,选到价格的“洼地”、价值的“风口”。
就在刚刚,位于嘉定核芯的深嘉上府传出劲爆消息:项目已经取证。
☑️☑️深嘉上府售楼处电话:400 - 8377 - 020☑️☑️
单价约28446元/㎡起,就能买到真三房,精装交付,中央空调、地暖、新风三大件一步到位,连洗碗机、凉霸也标配入户,首开优惠还有大惊喜!
☑️☑️深嘉上府售楼处电话:400 - 8377 - 020☑️☑️
这些配置,放在当下“品质内卷”的市场里,可能不算罕见;
但真正罕见的是:这样的配置,往往出现在总价500万+的项目里,而深嘉上府,把它做到200多万的价位段。
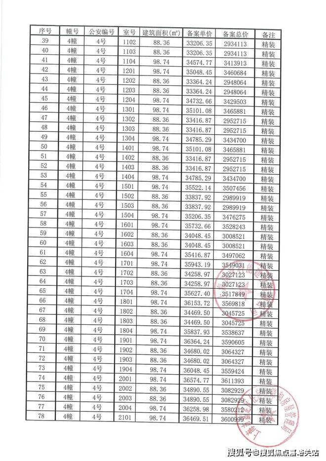
附一房一价表:
☑️☑️深嘉上府售楼处电话:400 - 8377 - 020☑️☑️
☑️☑️深嘉上府售楼处电话:400 - 8377 - 020☑️☑️
01
单价约2.85万/㎡起买精装三房!买房巨优解来了!
2025年的上海楼市,☑️☑️深嘉上府售楼处电话:400 - 8377 - 020☑️☑️正在进入一轮全面提价周期。
就在前几天,上海官方公布了新一批新房入市价格,其中多个热门板块的楼盘出现明显跳涨:☑️☑️深嘉上府售楼处电话:400 - 8377 - 020☑️☑️
海上清和玺(洋房)比前期高层上涨约1.42万/㎡;
中海云邸玖章上涨约8600元/㎡;
上海壹号院上涨约4000元/㎡;
康定壹拾玖也上涨约2000元/㎡…
从市中心到外环、从改善盘到刚需盘,☑️☑️深嘉上府售楼处电话:400 - 8377 - 020☑️☑️一股系统性的涨价潮正在蔓延全市。
就比如嘉定新城,新房三房总价普遍在500-600万,改善盘更是直逼“6”字头。
而仅两站之遥的安亭,☑️☑️深嘉上府售楼处电话:400 - 8377 - 020☑️☑️深嘉上府单价约2.85万/㎡起,总价200多万就能拿下一套真正意义上的三房,还是精装交付,国企开发。☑️☑️深嘉上府售楼处电话:400 - 8377 - 020☑️☑️
示范区实景
这将近200万的差价,是什么概念?
是能用于孩子教育全周期的成本;☑️☑️深嘉上府售楼处电话:400 - 8377 - 020☑️☑️还可以直接定存吃利息,对冲未来不确定性的安全感。
并且另一边,市场早已释放出强烈信号:
2025年3月,嘉定新城一幅地块经过49轮激烈竞拍,以31850元/㎡封顶成交,较相邻地块楼板价上涨38%。☑️☑️深嘉上府售楼处电话:400 - 8377 - 020☑️☑️
地价在涨,房价的“补涨”也只是时间问题。
在这种大势之下,深嘉上府却坚持“定价克制”,为刚需留出一个高性价比低风险的上车机会,本身就是一种“稀缺红利”。☑️☑️深嘉上府售楼处电话:400 - 8377 - 020☑️☑️
样板间实景 仅供参考
02
板块唯一在售综合体住宅!开启一场生活方式革命!
如果说价格是敲门砖,那么生活方式的想象空间,则是项目的另一个价值壁垒。
买房从来不是单一维度的比拼,☑️☑️深嘉上府售楼处电话:400 - 8377 - 020☑️☑️真正决定项目含金量的,是它能为居住者构建怎样的日常场景与生活质感。
而深嘉上府,在产品力、业态融合度上,☑️☑️深嘉上府售楼处电话:400 - 8377 - 020☑️☑️也有着整片区域难以比肩的稀缺性。
作为当前板块内唯一在售的综合体住宅项目,☑️☑️深嘉上府售楼处电话:400 - 8377 - 020☑️☑️深嘉上府自带约1万㎡自持商业+5.1万㎡商办。不仅填补了区域内复合业态的空白,也将“居住 + 生活 + 工作 + 社交”高度整合于一体。☑️☑️深嘉上府售楼处电话:400 - 8377 - 020☑️☑️
这是一个真正意义上的“24+1小时生活场”,一切都在家门口半径内完成。
效果图
工作日的早晨不用早起通勤,☑️☑️深嘉上府售楼处电话:400 - 8377 - 020☑️☑️几步即达办公楼,从容开启高效工作。
周末睡到自然醒,下楼就是咖啡馆与轻食店,开启松弛的一天。
下班后逛逛精品超市,吃完晚饭顺路健身,生活节奏自在有度。
孩子放学后,教培、托管、书店、影院一应俱全,学习与放松一站搞定。
朋友来访,不必奔波,楼下就是聚会的理想场所。☑️☑️深嘉上府售楼处电话:400 - 8377 - 020☑️☑️
这里不仅是一处居所,更是为家庭、事业、生活定制的场景空间:下楼即生活、出门即精彩。☑️☑️深嘉上府售楼处电话:400 - 8377 - 020☑️☑️
更为关键的是,这样的生活方式不是对未来想象,而是从入住深嘉上府的那天起,就可兑现的真实生活图景。
03
三大件+洗碗机+凉霸,这个刚需房太超配了!
☑️☑️深嘉上府售楼处电话:400 - 8377 - 020☑️☑️
这样高密度的生活复合度,背后更需要强大的产品力与品牌支撑作为底座。
深嘉上府的“完成度”,☑️☑️深嘉上府售楼处电话:400 - 8377 - 020☑️☑️是源于深业这个国企在人居产品打磨上的多年经验沉淀。
作为国资委直属国企,深业集团成立40余载,☑️☑️深嘉上府售楼处电话:400 - 8377 - 020☑️☑️目前项目覆盖20个省,58个城市,全国项目总量608个。连续多年荣获“中国房地产百强企业”“中国房地产开发企业稳健经营10强”“中国房地产年度社会责任感企业”等殊荣。☑️☑️深嘉上府售楼处电话:400 - 8377 - 020☑️☑️
在深嘉上府这个项目,深业也倾注了最大的诚意:把门槛降到尽可能低的同时,把体验拉升到更高。☑️☑️深嘉上府售楼处电话:400 - 8377 - 020☑️☑️
项目并没有因为定价“友好”就牺牲品质,甚至很多你在市区7万+/㎡项目里才能看到的配置,这里都有。☑️☑️深嘉上府售楼处电话:400 - 8377 - 020☑️☑️
项目共规划4栋住宅楼,整体采用一字型横向排布,☑️☑️深嘉上府售楼处电话:400 - 8377 - 020☑️☑️楼栋之间无遮挡,视野开阔。同时,所有楼栋均向东偏转35°,较大限度延长日照时间,确保户户充分享受阳光照射。☑️☑️深嘉上府售楼处电话:400 - 8377 - 020☑️☑️
深嘉上府效果图
在外观设计上,项目采用玻璃幕墙+顶部金色格栅塔冠设计,呈现出更强的通透感与质感,低调中不乏辨识度。☑️☑️深嘉上府售楼处电话:400 - 8377 - 020☑️☑️

深嘉上府效果图
项目的高品质不止于外观,更体现在归家与生活的每一细节。☑️☑️深嘉上府售楼处电话:400 - 8377 - 020☑️☑️

地上地下双精装大堂,归家仪式感十足,这是市区高端改善楼盘才有的配置。
☑️☑️深嘉上府售楼处电话:400 - 8377 - 020☑️☑️

效果图 仅供参考
在社区内部,深嘉上府通过丰富的洄游动线,串联阳光草坪、童梦乐园、全龄运动等,打造全龄的活动空间。☑️☑️深嘉上府售楼处电话:400 - 8377 - 020☑️☑️
同时,利用架空层空间,☑️☑️深嘉上府售楼处电话:400 - 8377 - 020☑️☑️拓展出星空健身房、共享书吧、四点半学堂等公区配套,将家家户户的“生活”延伸到了社区之中,满足育儿、健身社交、充电学习等多维需求。☑️☑️深嘉上府售楼处电话:400 - 8377 - 020☑️☑️

☑️☑️深嘉上府售楼处电话:400 - 8377 - 020☑️☑️

效果图 仅供参考
这种产品力,不只是外在,更落实在日常居住体验的点滴之中。
☑️☑️深嘉上府售楼处电话:400 - 8377 - 020☑️☑️深嘉上府主力户型为建面约88㎡、99㎡的三房,整体布局没有过度“炫技”,但结构扎实,更注重空间的合理分配与功能的均衡性,属于典型的实用型高分户型。
在这里,刚需与初改都能找到心仪的家。☑️☑️深嘉上府售楼处电话:400 - 8377 - 020☑️☑️
1)建面约88㎡ 三房两厅一卫
在紧凑面积内做到三房配置,最考验的从不是房间数量,而是如何在功能完整的同时,不牺牲舒适度。☑️☑️深嘉上府售楼处电话:400 - 8377 - 020☑️☑️
深嘉上府约88㎡户型,将三房两厅一卫的布局打磨得非常成熟。
建面约88㎡户型图
整体为三开间朝南,客厅拥有近似百平产品的面宽感受。这个尺度,在同面积段产品中非常罕见。☑️☑️深嘉上府售楼处电话:400 - 8377 - 020☑️☑️
厨房采用U型操作台设计,操作动线紧凑高效,真正从实用出发。
餐厅区域则可以轻松容纳四人位以上的餐桌,不显拥挤。
建面约88㎡样板房实景 仅供参考
空间赠送也相当实在:全屋飘窗设计,连浴室都未遗漏,大幅增加了可利用空间。☑️☑️深嘉上府售楼处电话:400 - 8377 - 020☑️☑️
北侧的房间更可灵活改造,无论用作书房、客卧还是儿童房,都有充足的可变性。☑️☑️深嘉上府售楼处电话:400 - 8377 - 020☑️☑️

建面约88㎡样板间实景仅供参考
2)建面约99㎡ 三房两厅两卫
在目前市场上,99㎡户型往往是刚需与初改的“重叠带”,更需要兼顾实用性与舒适度的平衡。☑️☑️深嘉上府售楼处电话:400 - 8377 - 020☑️☑️
深嘉上府的99㎡户型,做到了空间感、舒适度、实用性三者兼备。
整体三开间朝南,采光充足。☑️☑️深嘉上府售楼处电话:400 - 8377 - 020☑️☑️客餐厅采用一体化等宽通厅设计,动线流畅,尺度感被有效拉开。同时,厨房与阳台的开窗面难得的实现了对齐,做到真正的南北通透。☑️☑️深嘉上府售楼处电话:400 - 8377 - 020☑️☑️
建面约99㎡样板间实景仅供参考

建面约99㎡样板间实景仅供参考
主卧位于户型最深处,套房式私密设计,独立性较强。
全屋飘窗配置,涵卧室卧、厨房及淋浴间,带来约4㎡的额外实得面积,不仅提升整体采光、延展使用边界,也大大节省了置业成本。☑️☑️深嘉上府售楼处电话:400 - 8377 - 020☑️☑️更难得的是,在如今成本普遍控制趋紧的背景下,深嘉上府在装标上几乎是“向上看齐”:☑️☑️深嘉上府售楼处电话:400 - 8377 - 020☑️☑️
新风系统、地暖、日立中央空调三大件全系标配;墙面铺设定制墙布,地面采用多层实木复合地板,质感在线;☑️☑️深嘉上府售楼处电话:400 - 8377 - 020☑️☑️
厨房内的洗碗机、凉霸等设备也都在交付范畴,诚意十足。
这不仅是一个买房机会,更像是深业在200万+市场,发起的一次高配平权革命——打破“高配=高价”的惯例。☑️☑️深嘉上府售楼处电话:400 - 8377 - 020☑️☑️

04
交通+产业大升级!板块价值提前兑现!
在“大虹桥”最新的规划草案中,安亭正式被纳入大虹桥范畴,这也意味着区域各项资源以及规划的升级。
比如交通的升级。☑️☑️深嘉上府售楼处电话:400 - 8377 - 020☑️☑️
以安亭北站、安亭西站为核心的安亭枢纽,是打通长三角一体化和虹桥国际开放枢纽的链接通道,在上海2035规划中,宝嘉线、嘉青松线即将启动,嘉安高速延展嘉定向东,与宝山互通。☑️☑️深嘉上府售楼处电话:400 - 8377 - 020☑️☑️
14号线西延有望于2026年启动建设,未来将从安亭一路直连陆家嘴核心,彻底打通城市主轴。☑️☑️深嘉上府售楼处电话:400 - 8377 - 020☑️☑️

深嘉上府距离规划中的地铁14号线西延伸线同济大学站直线约300米,是真正意义的地铁盘。(数据来源:百度地图)☑️☑️深嘉上府售楼处电话:400 - 8377 - 020☑️☑️
再比如,产业的升级。
安亭被定位为“产城全面融合的世界级汽车产业中心”,☑️☑️深嘉上府售楼处电话:400 - 8377 - 020☑️☑️区域内的氢能港总部基地、上汽研发中心、中德产业园等高能级企业群体,高能级产业集群持续落地。稳定就业+导入人群+消费升级,这才是区域能真正升值的底层逻辑。☑️☑️深嘉上府售楼处电话:400 - 8377 - 020☑️☑️
除了交通、产业的升级,深嘉上府周边的各项生活配套,也很完善。
区位图
商业方面,除了自带的1万㎡商业,项目3公里范围内汇聚嘉亭荟、三德广场、财富广场等大型综合体,日常购物、休闲娱乐全方位覆盖。☑️☑️深嘉上府售楼处电话:400 - 8377 - 020☑️☑️
教育资源方面,☑️☑️深嘉上府售楼处电话:400 - 8377 - 020☑️☑️一路之隔为同济大学嘉定校区,周边配套同济附属小学、黄渡中学、华师大双语学校等优质学府,全龄段优教资源环绕。(新房不承诺学区、最终学区以官方公示为准)☑️☑️深嘉上府售楼处电话:400 - 8377 - 020☑️☑️

医疗方面,☑️☑️深嘉上府售楼处电话:400 - 8377 - 020☑️☑️项目周边有瑞金医院北院、东方肝胆医院安亭分院两所三甲医院,以及瑞金医院安亭分院、黄渡社区卫生医院等,为家庭健康保驾护航。
此外,周边还有嘉北郊野公园、安亭汽车博览公园、远香湖公园、嘉定紫藤园等绿色生态配套环伺,推窗见绿,宜居宜养。☑️☑️深嘉上府售楼处电话:400 - 8377 - 020☑️☑️
当市场回归理性,真正值得买的房子,不是去风口追高,而是占据价值起点。
深嘉上府,是“当下可负担+未来可兑现”的黄金组合。☑️☑️深嘉上府售楼处电话:400 - 8377 - 020☑️☑️
单价28446元/㎡起,☑️☑️深嘉上府售楼处电话:400 - 8377 - 020☑️☑️即可拥享城市综合体的繁华、地铁口的便利、真三房的舒适格局,以及中央空调、地暖、新风、洗碗机、凉霸等全维精装配置,真正做到一步到位。☑️☑️深嘉上府售楼处电话:400 - 8377 - 020☑️☑️
深嘉上府,不只是家的选择,更是一次占位城市核心资源、锁定未来红利的智慧决策。☑️☑️深嘉上府售楼处电话:400 - 8377 - 020☑️☑️
1、什么是房产:房屋产权的简称。
2、什么是地产:是指土地财产。
3、什么是房地产:是房产和地产的总称。
4、什么是房地产业:从事房地产开发、建设、经营、管理以及维修、装饰和服务的综合性产业。
5、什么是房地产开发:是指在依法取得土地使用权的土地上按照使用性质的要求进行基础设施、房屋建筑的活动。
6、什么是土地开发:是将“生地”开发成可供使用的土地。
7、集体土地是指:农村集体所有的土地。
8、征用土地是指:国家为了公共利益的需要,可依照法律规定对集体所有的土地实行征用。
9、什么是土地所有权:是指国家或集体经济组织对国家土地和集体土地依法享有的占有、使用、收益和处分的权能。
10、什么是土地使用权的出让:指国家以协议、招标、拍卖的方式将土地所有权在一定年限内出让给土地使用者,由使用者向国家支付土地使用权出让金的行为。
11、什么是土地使用权转让:是指土地使用者通过出售、交换、赠与和继承的方式将土地使用权再转移的行为。
12、什么是地籍、产籍:是对在房地产调查登记过程产生的各种图表、证件等登记资料,经过整理、加工、分类而形成的图、档、卡、册等资料的总称。
13、生地是指:不具备开发条件的土地。
14、熟地是指:已完成三通一平(水、电、道路,土地平整)或七通一平,具备开发条件的土地。
15、什么是宗地:是地籍的最小单元,是指以权属界线组成的封闭地块。
16、什么是宗地图:是土地使用合同书附图及房地产登记卡附图。它反映一宗地的基本情况。包括:宗地权属界线、界址点位置、宗地内建筑位置与性质、与相邻宗地的关系等。
17、证书附图是指:房地产后面的附图,主要反映房地产情况及房地产所在宗地情况。
18、什么是物业管理:泛指一切有关房地产开发、经营、商品房销售、租赁及售后服务。
19、什么是业主委员会:是在物业管理区域内代表全体业主实施自治管理的组织。是代表
物业全体业主合法权益的社会团体,其合法权益受国家法律保护。
20、业主委员会是如何产生的:由业主大会从全体业主中选举产生。
21、住房补贴是指:国家为职工解决住房问题而给予的补贴资助。
22、房屋的所有权是指:对房屋全面支配的权利。
23、房地产交易的两种主要形式是:地产交易形式与房产交易形式。
24、建筑物是指:人工建造而成的房屋和构筑物。
25、构筑物是指:建筑物中除房屋以外的东西。
26、什么是期房:是指消费者在购买时不具备即买即可入住的商品房。
27、期房是如何介定的:房地产开发商拿到商品房预售许可证开始至取得房地产权证大产证或竣工验收合格可以直接入住使用)为止。
28、什么是预售合同:消费者在购买期房时签定的销售合同。
29、什么是现房:是指消费者在购买时具备即买即可入住的商品房,即开发商已办妥所售的商品房的大产证(或已经竣工验收合格并交付使用)的商品房。
30、什么是毛坯房:房地产商交付屋内只有门框没有门,墙面地面仅做基础处理而未做表面处理的房叫毛坯房。
31、什么是成品房:是指对墙面、天花、门套、地板实行装修。
32、什么是商品房:是指以完全的市场价格向购房者出售的房子。
33、商品房预售是指:在房地产尚未建成以前,房地产的经销商在取得受买人一定数量的定金后,将期房出售给受买人。
34、商品房现售是指:指房地产开发企业将竣工验收合格的商品房出售给买受人。
35、二手房通常指的是:再次进行买卖交易的住房。
36、经济适用房指的是:面向中低收入家庭的普通住宅。
37、例出3种以上的安居房的种类:准成本房、全成本房、全成本微利房和社会微利房。
38、低层住宅的介定:1-3层的住宅。
39、多层住宅的介定:4-6层的住宅。
40、小高层住宅的介定:7-11层的住宅。
41、中高层住宅的介定:12-16层的住宅。
42、高层住宅的介定:16层以上为高层住宅。
43、超高层建筑的介定:总高度超过100米的建筑。
44、商品房的结构是指:房屋主体所使用的施工工艺和用材。
45、钢结构的意思是:承重的主要结构是用钢材料建造的,包括悬索结构。
46、钢混结构的意思是:承重的主要结构是用钢和混凝上建造的。
47、砖木结构的意思是:承重的主要结构是用砖、木材建造的。
48、砖混结构的意思是:主要是砖墙承重,部分是钢盘混凝土承重的结构。
49、框架结构的意思是:以钢筋混凝土浇捣成承重梁柱,再用预制的隔墙分户的结构。
50、开间指的是:一间房屋内一面墙的定位轴线到另一面墙的定位轴线之间的实际距离。
51、进深指的是:一间独立的房屋或一幢居住建筑内从前墙的定位轴线到后墙的定位轴线之间的实际长度。
52、层高指的是:下层地板面或楼板面到上层楼层面之间的距离。
53、净高指的是:下层楼板上表面到上层楼板下表面之间的距离。
54、占地面积指的是:地块的总面积。
55、1亩约等于多少平方米:666.66㎡
56、居住小区总用地指的是什么用地的总和:住宅总用地,公共建筑设施总用地,道路、广场用地、庭院、绿化用地的总和。
57、住宅总用地是指:住宅用地面积的总和。
58、公建总用地是指:小区内部公共建筑占地面积的总和。
59、建筑用地面积的介定:建设用地位置和界线所围合的用地之水平投影面积。
60、建筑基底面积是指:建筑物首层的建筑面积。
61、建筑高度是指:建筑物室外地平面至外墙面顶部的总高度。
62、房屋的基底面积是指:房屋的基底面积是指建筑物底层勒脚以上外围水平投影面积。
63、道路面积是指:小区内宽度大于1.5米道路的面积总和。
64、广场面积是指:停车、回车广场和有铺砌地面的场地面积之和。
65、庭院、绿化面积是指:小区内集中绿化带、小公园,以及公共活动场所等为小区所有居住人员共同使用权的绿化面积的总和。
66、假山、小池算不算庭院、绿化面积:算。
67、人均总占地面积(㎡/人)的计算公式:人均总占地面积=建筑红线内总用地÷本小区规划居住总人数。
68、人均住宅用地面积(㎡/人)的计算公式:人均住宅用地面积=小区内总住宅用地÷本小区规划居住总人数。
69、总建筑面积是指:小区内住宅、公共建筑、人防地下室面积总和。
70、人防地下室算不算在总建筑面积之内:算
71、住宅建筑面积是指:住宅建筑外墙外围线测定的各层平面面积之和。
72、套建筑面积是指:一套房屋的整体面积。
73、套建筑面积的构成是:套内建筑面积和套分摊的公用建筑面积
74、幢(栋)是指:一座独立的,包括不同结构和不同层次的房屋。
75、架空房屋是指:一般为底层架空,以柱子作为承重支撑物的房屋。
76、夹层是指:位于两自然层之间的楼层,指房屋内部空间的局部层次。
77、技术层的意思是:用作水、电、暖、卫生等设备安装的局部层次。
78、技术层层高在多少以上计算层数:2.20米以上的计算层数。
79、结构转换层是指:建筑物某楼层的上部与下部因平面使用功能不同,该楼层上部与下部采用不同结构类型,并通过该楼层进行结构转换,则该楼层称为结构转换层。
80、跃层式住宅是指:一套住宅占两个楼层,由户内楼梯联系上下层,上下两层完全分隔。
81、阁楼是指:利用房屋内的上部空间加建的楼层。
82、阁楼层高在多高以上计算面积:2.20米以上。
83、地上层数是指:即房屋的自然层数,指室内地坪±0.00以上的按楼板结构分层的层高在2.20米以上的楼层数。
84、地上层数用什么数表示:自然数。
85、地下层数是指:采光窗在室外地坪以下的,其室内层高在2.20米以上的地下室的层数。
86、地下层数用什么数表示:负数。
87、房屋总层数是指:房屋的地上层数与地下层数之和。
88、地下层数算不算在房屋总层数之内:算。
89、例出3个以上不算在房屋总层数内的建筑层:假层、夹层、阁楼、装饰性塔楼、楼梯间、水箱间。
90、柱廊是指:有顶盖和支柱,供人通行的建筑物,称为有柱走廊,简称柱廊。
91、骑楼是指:底层为有柱廊房,廊道上方建为楼房的一部分。
92、挑廊是指:指二层以上挑出房屋墙体外,有围护结构,无支柱有顶盖的外走廊。
93、门廊是指:建筑物门前有顶盖,有支柱或围护结构的进出通道。
94、门斗是指:支撑建筑物门前顶盖的是实体墙称为门斗。
95、檐廊是指:房屋檐下方两端有支撑墙体无柱的通道。
96、天棚是指:即天篷,有透明顶篷履盖的屋面。
97、晒台又称什么:露台。
98、露台是指:供人室外活动的上人屋面或底层地面伸出室外的有维护无顶盖的台面。
99、阳台是指:有永久性上盖、有围护结构、有台面、与房屋相连、可以供人活动或利用的房屋附属设施。
100、阳台的分类有:封闭式阳台和半封闭式阳台。
声明:本文由入驻焦点开放平台的作者撰写,除焦点官方账号外,观点仅代表作者本人,不代表焦点立场。
