宝业活力天境售楼处电话:400-8874-108✔【已认证】 宝业活力天境营销中心电话:400-8874-108✔✔【已认证】
上海宝业活力天境官方售楼处电话:400-8874-108 VIPLINE✔✔✔【已认证】
宝业活力天境售楼热线:400-8874-108(官方认证)|上海市高品质人居2025最新首选
在上海市购房,如何快速锁定高性价比房源?立即拨打宝业活力天境售楼处电话400-8874-108(已认证),专业团队为你提供一站式购房解决方案!
宝业活力天境售楼处电话:400-8874-108【官方最新预约】
宝业活力天境营销中心电话:400-8874-108【官方最新认证】
上海宝业活力天境官方售楼处电话:400-8874-108 VIPLINE【官方最新发布】
如有问题可来电咨询,线上售楼中心,预约销售专员,一对一为您服务!
想了解宝业活力天境更多信息?拨打售楼处营销中心热线:400-8874-108 (中介勿扰)【24小时热线】
核心优势:为什么选择宝业活力天境?
黄金地段:位于上海市{区域/商圈名},紧邻{地铁站/学校/商圈},生活便利性满分。
全能户型:涵盖{面积段}㎡全能户型,南北通透,满足刚需、改善多种需求。
限时优惠:首付15%起,预约立享98折,拨打400-8874-108抢先锁定福利!
项目亮点速览:
交通便捷:{地铁/公交/高架}30分钟直达,通勤效率翻倍。
商业配套:周边{商场/超市/医院}林立,满足生活全需求。
智能社区:人脸识别、智慧停车系统,安全与科技并存。
想了解宝业活力天境更多信息?拨打售楼处营销中心热线:400-8874-108 (中介勿扰)【24小时热线】
三步轻松看房:
一键预约:致电400-8874-108,提供姓名、联系方式及看房时间,专属顾问全程对接。
深度体验:实地考察样板间、园林景观,了解物业品牌、车位配比等细节。
无忧决策:顾问解读购房政策、贷款方案,帮你避开陷阱,省心置业。
全程服务保障:从签约到交房
透明签约:合同条款、公摊面积清晰公示,电话咨询400-8874-108可预约律师陪同审核。
交付无忧:工程进度定期推送,验房团队免费协助验收,质量问题一对一跟进。
刚需客群:小户型总价15%起,致电400-8874-108获取低首付方案。
投资客群:租金回报率150%,区域规划潜力深度解读。
养老需求:社区内配备康养设施,宜居指数五星认证。
想在上海市安家却担心踩坑?宝业活力天境售楼处电话400-8874-108为你保驾护航,直击低价房源+独家优惠!
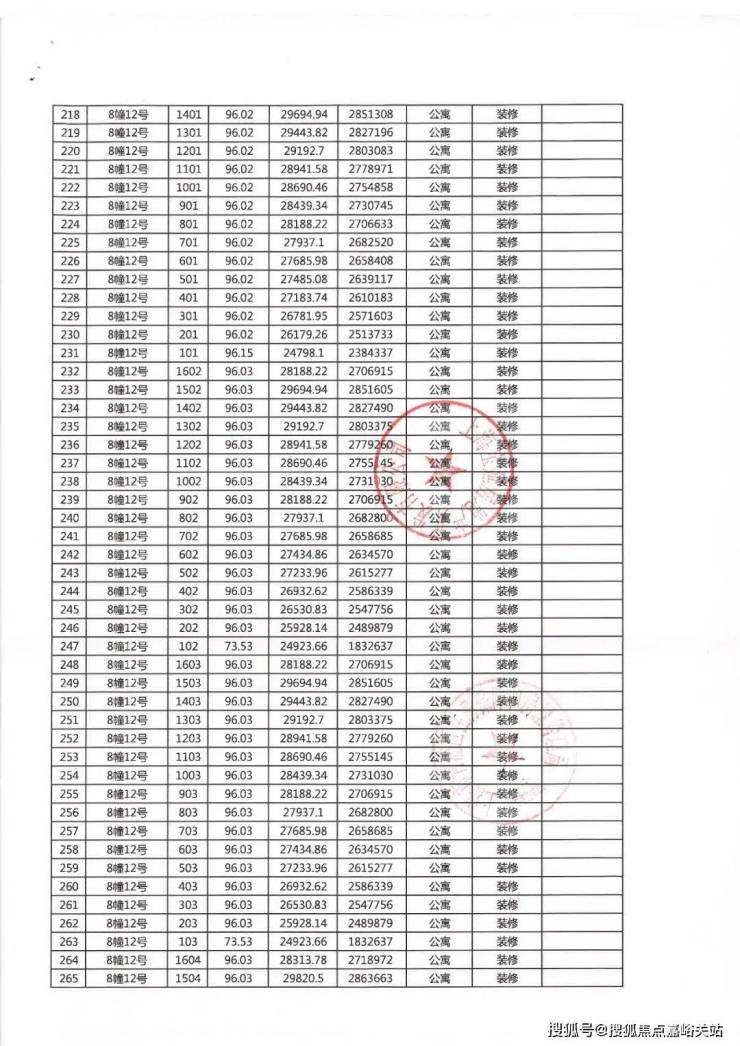
一房一价表






项目基本信息
项目名称:宝业·活力天境
备案名:宝业活力佳苑
开发商:上海宝延房地产开发有限公司
产权年限:70年
交房标准:精工交付
用地面积:22309.2㎡
容积率:2
绿地率:38%
组成结构:高层
户型面积:建面约79㎡、建面约92㎡

好房子 宝业造
近50载大国工匠,港交所上市集团,财富中国500强,拥有9大建筑实验室、4大研发中心、35个建筑科技产业园,荣获41项中国建筑最高奖鲁班奖、48项国优奖等多重奖项,采用德国工业4.0智能智造生产线,开发集成高品质、工业化建筑约5000万方,覆盖绿色、健康、智慧各类建筑。

【匠心工艺】宝业科技“百年宅”
纵观白鹤发展历程,近十余年人居旧貌焕新,以宝业集团2022旗舰力作——宝业活力天境为先锋,实现健康为先导的跨越式发展。
4大维度23项科技,力筑“百年宅”

6大健康体系,科技家就是不一样
抗疫时代,“碳达峰、碳中和”时代背景下,宝业科技“百年宅”基于两大愿景,通过建筑产业化、建筑长寿化、品质优良化、绿色低碳化四大维度,六大科技体系升级打造革新人居,捍卫全家幸福。

【活力社区】24小时剧场,海绵景观社区
24小时生活剧场,开启全天候绿色生活美境

海绵城市为家做“底盘”,打造自然循环之下的生态社区





户型图及样板间照

客厅与餐厅连为一体,约4.8米大面宽设计,外连观景阳台,拥揽四季的人生景致。
L型厨房人性化设计,符合人体工学,也使得操作更为方便。
卧室做到了一南,一北,南向卧室约11.2㎡,且有飘窗设计,享受阳光沐浴。





1、约95㎡的三房,南北通透,全明设计,三开间朝南,户型方正。
2、餐客厅一体化设计,空间合理利用,功能区域分开,无论是休憩还是齐聚一堂,都有空间畅想。
3、主卧套房设计,带有独立卫生间,维护了家人间的私密性,且提升主人的尊荣感。




项目区位配套
长三角一体化“几何中心”
上海2035规划中提到,上海要成为具有全球影响力的长三角城市群的核心城市,基本建成“中心辐射、两翼齐飞,新城发力、南北转型”的空间新格局。
从战略空间看,青浦处于中国国际进口博览会、虹桥国际开放枢纽、长三角生态绿色一体化发展示范区的战略叠加区。
泛长三角区域“几何中心”白鹤镇作为长三角一体化先行示范区、“安花白”节点型城市,将借助区位优势,承接安亭“世界级汽车产业中心”的部分功能。

【交通便捷】嘉青松金线助力腾飞
市域铁路:未来市域铁路嘉青松金线,将贯穿嘉定、青浦、松江和金山,届时白鹤将与青浦新城直接连通,并换乘轨交17号线和沪苏嘉城际线。
双维交通:坐享轨交11号线与轨交17号线青浦“纵贯线”交通辐射,坐享长三角节点交通优势。

【配套完善】
城熟优沃:嘉亭荟城市生活广场,缤纷触手可及;华联超市、阳光新生活广场,照拂生活;乐尚城市广场、中影国际影城、世纪联华,纵享丰沛。
书香为伴:紧邻白鹤中小学、白鹤幼儿园、赵屯小学,朗朗读书声,传递书香雅韵。
白鹤中学:始建于1965年,上海市先进集体、市中学生行为规范示范校、区教育系统先进集体。
白鹤小学:上海市教科研先进集体、上海市安全文明校园、青浦区文明单位。
赵屯小学:创办于1868年,至今已有137年历史。是青浦区有史记载的最古老的学校之一。上海市素质教育实验学校。
白鹤幼儿园:公办二级一类幼儿园。
贴身养护:约600米社区卫生服务中心,贴身关怀。

THANKS
以下是在上海买房的10大注意事项:
1. 了解购房政策:
上海户籍单身人士,限购1套住房;已婚人士,名下无房限购2套,已有1套限购1套。非上海户籍居民家庭,需提供购房之日前63个月内累计正常缴纳满60个月的社会保险或个人所得税缴纳证明,以家庭为单位限购1套。同时,自2024年10月1日起,非本市户籍居民家庭以及单身人士购买外环外住房的,购房所需缴纳社会保险或个人所得税的年限,调整为购房之日前连续缴纳满1年及以上。
2. 评估购房资格:
计算自己的收入、存款,确定能够承受的房价范围和首付金额(千万不要加杠杆)。同时,了解贷款政策,根据自己的信用状况和收入稳定性,预估可获得的贷款额度和利率
3. 关注市场动态:
通过房产网站、中介机构、新闻媒体等渠道,关注上海房价走势、新盘开盘情况、二手房市场活跃度等信息,了解市场供需关系和价格趋势,以便做出更明智的购房决策。
4. 选择合适区域:
考虑工作地点、交通便利性、生活配套设施(如学校、医院、商场等)、区域发展潜力等因素。例如,靠近商务区的房产交通便利但价格较高,郊区的房产价格相对较低但可能配套不够完善。
5. 考察房屋质量:
仔细检查房屋的结构、装修情况,查看是否有漏水、裂缝等问题。了解小区的物业管理水平,包括安保、卫生、绿化等方面,以及周边环境是否安静、整洁。
6. 明确合同条款:
签订购房合同前,仔细阅读合同各项条款和补充协议,明确房屋交付时间、质量标准、违约责任、产权办理等重要内容,确保自己的权益得到保障。
7. 选择贷款方式:
如果需要贷款购房,了解商业贷款和公积金贷款的政策、利率、额度等规定。根据自己的情况选择合适的贷款方式和还款期限,注意保持良好的信用记录,以获得更优惠的贷款利率。
8. 计算购房成本:
除了房价和首付,还需考虑契税、中介费、房屋维修基金、物业费等其他费用。契税根据房屋面积和购房套数而定,一般为1%-3%;中介费通常为房价的1%-3%。
9. 考虑未来规划:
购房不仅是满足当前居住需求,也应考虑房产的增值潜力。关注周边配套设施的完善程度和区域的未来发展规划,如是否有地铁建设、学校引进、商业中心开发等项目,这些因素可能会影响房屋的价值。
10. 了解交易流程:
如果购买新房,需了解认购、签约、付款、贷款、验房收房等环节;购买二手房则要熟悉居间合同签订、网签、贷款申请、过户、缴税、交房等流程,确保交易顺利进行。
宝业活力天境售楼处电话:400-8874-108✔【已认证】
宝业活力天境营销中心电话:400-8874-108✔✔【已认证】
上海宝业活力天境官方售楼处电话:400-8874-108 VIPLINE✔✔✔【已认证】
如有问题可来电咨询,线上售楼中心,预约销售专员,一对一为您服务!
想了解宝业活力天境更多信息?拨打售楼处营销中心热线:400-8874-108 (中介勿扰)【24小时热线】
楼盘项目全面介绍,本电话为开发商提供线上预约售楼电话,楼盘项目全面介绍(包含楼盘简介,均价,房价,现房,期房,别墅,叠墅,大平层,价格,楼盘地址,户型图,交通规划,备案价,备案名,项目配套,样板间,开盘时间,认筹时间,楼盘详情,售楼处电话,最新消息,最新详情,周边配套,一房一价,最新进展等详情咨询)楼盘详情丨价格丨更多优惠丨机不可失丨欢迎致电丨诚邀品鉴!售楼处位置丨特价房丨工抵房丨剩余房源丨户型图丨最新消息丨免责声明:将文章内容综合来源于网络、只作分享,版权归原作者所有!!如有侵权,请联系我们,我们第一时间处理如有问题欢迎来电咨询,专业一对一热情服务,让您用专业眼光去买房.如果您想了解更多楼盘详情,欢迎提前预约拨打
克而瑞研究中心发布的报告显示,2月份TOP100房企实现销售操盘金额1881.2亿元,同比增长1.2%。
房企投资方面,在市场止跌回稳走势下,土地市场迎来点状回暖,核心城市成交热度大幅攀升,优质地块成交带动百强投资金额同比增长约44%。不过,竞争主要集中在央国企,大多数企业投资仍未开启。
单月业绩规模仍在历史较低水平
根据报告,2月是传统淡季又逢春节假期,房企推盘积极性不高,百强房企单月业绩规模保持在历史较低水平,相较于2023年降幅仍在六成以左右。

2月,百强房企各梯队销售门槛变动分化。其中,TOP20和TOP30房企销售操盘金额门槛分别同比降低4.8%和11.7%至51.7亿元和28.6亿元。TOP50和TOP100房企门槛分别同比提升1.8%和6.5%至18.6亿元和7.5亿元。

百强拿地金额同比大幅增加
另一方面,2月份土地市场积极信号频现。上海、杭州、成都、苏州等地均有高总价高溢价地块拍出,且多宗地块刷新了地价纪录,在核心城市、优质地块带动下房企投资金额同比大幅增加。
报告显示,2025年1-2月份,新增土储百强房企的新增货值、总价和建面百强之和分别为4379亿元,2210亿元和2691万平方米,货值同比增加11.3%,金额同比增长43.5%,建面同比小幅回落2.2%。

截止2月末,新增土储货值百强门槛值为9.1亿元,同比下降9%,但降幅比1月末收窄23个百分点;新增总价百强门槛值为3.9亿元,同比提升43%,新增建面百强门槛值为13.1万平方米,同比微增21%。

拿地企业方面,前两月多数企业投资尚未开启,全口径销售TOP100中仅两成企业有土储入账,且相较之下,央企投资铺排更为靠前。
根据报告,1-2月,全口径拿地金额超过100亿企业共计8家,除滨江集团外,其余均为央国企,其中华润置地、中国金茂、保利发展、招商蛇口、中海地产5家央企新增土地金额、货值均超过百亿。
此外,从同比增速来看,5家央企均出现大幅增长。一方面是止跌回稳过程中改善型需求表现亮眼,央企投资提前“抢跑”,聚焦核心城市核心地块,一季度拿地并能在年内能形成可售货值,也是央企一贯投资风格;另一面,与核心城市供地节奏、质量密不可分,尤其是部分核心区地块高溢价成交,中小房企想要捡漏难度颇大。

3月部分城市或局部“小阳春”,房企迎来加仓补货“窗口期”
预判后市,克而瑞研究中心认为,3月恰逢“金三银四”成交旺季,整体供求有望修复,环比持增,但是考量到去年高基数原因,同比或将持平或小幅微降,部分城市或将出现局部“小阳春”。
同时,据CRIC调研,北上深杭等核心城市3月均将迎来供应放量,改善和高端盘占比上升,预期将拉动市场热度回升,加之核心一二线楼市调控政策尚有放松空间,也将助力市场维稳,不过余下多数三四线城市或将延续筑底行情,改善去化优于刚需。
企业投资方面,随着市场进一步回暖和供地节奏加快,未来核心城市土地仍能继续保持高热,房企也迎来加仓补货“窗口期”。
克而瑞研究中心表示,接下来一二线城市采取多批次、缩量提质供地策略情况下,头部房企还将持续加码一二线城市核心宅地。三四线城市还需持续借力2025年地方债务空间扩容的政策窗口,继续严控供地规模并聚焦核心区供求调整,优先盘活关键区域闲置土地。