☑️☑️金桥·碧云澧悦售楼处电话:400-8377-020☑️☑️
☑️☑️金桥·碧云澧悦售楼处电话:400-8377-020☑️☑️
☑️☑️金桥·碧云澧悦售楼处电话:400-8377-020☑️☑️
但在张江周边,唐镇700万级,川沙650万级,横沔650万级,唯独500-650万级处于真空,买航头新场未必甘心,那这一大批购房群体该何去何从?

事实上,环顾全上海,今年除了理想之地,500万级没有太抢眼的楼盘,不止浦东难,全上海都难。

那现在终于迎来好机会: 这不仅是500万级性价比更突出的新盘,还能让你买进大张江,拥1.8容积率低密小区,户型从首改到改善到终极改善全部囊括,装标甚至用到杜拉维特、汉斯格雅、 弗拉卡 。

☑️☑️金桥·碧云澧悦售楼处电话:400-8377-020☑️☑️ 开盘现场图
碧云澧悦 总建筑面积约15.5万 ㎡拥有约1.8的从容容积率,绿氧环绕的公园景观设计,规划 15 幢高层,建筑面积约 93-165 ㎡四种主力户型,共计852 套高品质住宅。

项目容积率只有1.8,清一色11-14F住宅,垂直空间住户少,邻里干扰少,等电梯时间短。 且拥有约30-48米宽的疏阔楼间距,采光、居住舒适度堪称500万级翘楚。

项目立面规划以简约流线型线条为主脉络 ,框体结构搭配层叠横向线条,实际的呈现确实是超乎想象。

社区内部规划“一环一轴三园”的景观布局, 以绿意包裹整个小区,打造绿氧环绕的公园住区。漫步在花园小径,呼吸新鲜氧负离子,在自然中享受阳光微醺和清新绿意,在生机盎然中安享静谧。





最新消息!张江南 · 周浦芯 · 碧云新作;国匠金桥│碧云品质一脉相承「金桥碧云澧悦」实景现房 即买即住!少量建面约93-165㎡3-4房;均价5.6万/㎡!总价约493-965万;18号线地铁口约150米!售楼处线上火热预约中!

实景实房 款清交房

☑️☑️金桥·碧云澧悦售楼处电话:400-8377-020☑️☑️



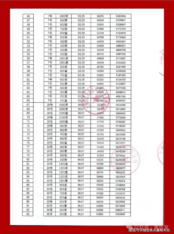
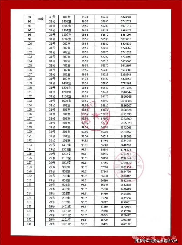
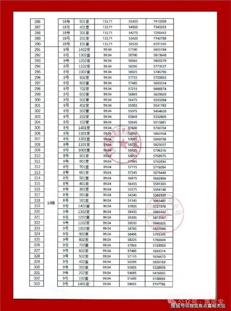
一房一价表如下
一房一价 👇
«上下滑动查看»
☑️☑️金桥·碧云澧悦售楼处电话:400-8377-020☑️☑️









☑️☑️金桥·碧云澧悦售楼处电话:400-8377-020☑️☑️
在售户型图发布:





99㎡3房样板间展示如下


☑️☑️金桥·碧云澧悦售楼处电话:400-8377-020☑️☑️





点击添加图片描述(最多60个字)


精心规划“一环、一轴、三园”,于建筑中另辟一方天地, 以绿意包裹整个小区,打造绿氧环绕的公园住区。漫步在花园小径,呼吸新鲜氧负离子在自然中享受阳光微醺和清新绿意,在生机盎然中安享静谧。


公园住区,项目以1.8从容容积率,塑造人居空间的舒适尺度。


项目规划以简约流线型线条为主脉络, 框体结构搭配层叠横向线条,辅以庄重典雅的淡色玻璃,从而营造隐而不喧的优雅色彩,简约的设计更能呈现丰富的内涵,细节的掌控凸显匠心的品质。


在浦东买房,核心要素是跟着张江买, 那在如今扩容后的张江科学城,面对周边一众650万、700万级新房,5字头的碧云澧悦堪称“断层领先的性价比”,不仅是整个大张江科学城的门槛价, 更是你当下,甚至未来500万级买进张江的仅剩机会!
☑️☑️金桥·碧云澧悦售楼处电话:400-8377-020☑️☑️☑️☑️金桥·碧云澧悦售楼处电话:400-8377-020☑️☑️