泰禾海上院子售楼处电话:4 00-8874-108✔【已认证】⭐⭐⭐⭐⭐ 泰禾海上院子营销中心电话:400-88
74-108✔✔【已认证】⭐⭐⭐⭐⭐ 上海泰禾海上院子官方售楼处电话:400-8874-10 8 VIPLINE✔✔✔【已认证】⭐⭐⭐⭐⭐
——泰禾海上院子——
泰禾海上院子售楼处电话:400-88 74-108✔【最新预约】⭐⭐⭐⭐⭐
泰禾海上院子营销中心电话:400-8874-10 8✔✔【最新认证】⭐⭐⭐⭐⭐
上海泰禾海上院子官方售楼处电话:400-8874-1 08 VIPLINE✔✔✔【最新发布】⭐⭐⭐⭐⭐
如有问题可来电咨询,线上售楼中心,预约销售专员,一对一为您服务!
想了解泰禾海上院子更多信息?拨打售楼处营销中心热线:400-8874-108 (中介勿扰)【24小时热线】
立踞“世界第九大湾区”奉贤海湾旅游区,坐拥上海不可复制的黄金海湾资源,坐享6大城市森林,万余亩海湾国家森林公园、25公里绵延海岸线,构建起磅礴富氧生态圈,尽享高阶国际生活场。 独门独户独院,匠造新中式院落纯低密墅区。以紫禁城皇家气宇为蓝本,构筑“宅门”“院落”“坊巷”三大造院体系,“一轴五街八园十二巷”园林布局,引领新中式人居美学。



传承儒家礼序境藏江南园林/景观园林整体规划为“一轴十景、五街、八园、十二巷”。以街为核心,结合户型布局划分“八园”。“仁泽”、“明智”、“贤义”、“隆礼”、“淳信”五街,取意儒家五常之道;园以植物命名,呈现季节变化之美;十二巷以古韵的静谧雅致意境,演绎出礼遇东方的绝代风华意蕴。
在售产品:
建面约:99平3房2厅3卫/实际使用面积约270平左右
总价约:455-565万
建面约:126平4房2厅4卫/实际使用面积约370平左右
总价约:545-635万
建面约:188平4房2厅4卫/实际使用面积约470平左右
总价约:900-1000万

守品质保交付筑信心 政府牵头成立工作专班,全程监督;上海建工鼎立支持,恪守交付标准,保障品质;泰禾上海区域集中优势资源,坚守品质,兑现交付,基础信息:占地面积:约150880㎡/建筑面积:约75440㎡:容积率:0.5:绿地率:约45%:商品房总户数:591户:物业费:2.4元/㎡(待定,后期可能涨价)

卖点:1、学府环绕醇熟配套2、约0.5超低容积率纯墅区3、独门独户独院 皇家风格4、泰禾匠造 十大专利5、高附赠空间 高得房率6、约2500㎡会所升级7、准现房 政府监督8、奉贤海湾旅游度假区,休闲娱乐一体化

纯粹稀贵墅区 划界名流圈层 上海院墅“千金难寻”。纵观南上海,约0.5容积率纯粹墅区,惟此珍罕难得,不可复刻的低密纯粹墅区。

精研巷道尺度延伸院子境界

更舒适的宽高比更惬意的坊巷悠境千年坊巷再设计,巷道、院墙、绿植互为交融,提升空间尺度,营建更舒适的步行环境,聚纳更多烟火气。院厅融合设计,延伸全新视野下沉式院落焕新为地上庭院,扩大院子面积,为客厅的延伸与衔接留下更多想象空间。

朗阔厅堂,装下大家族风范

宽境奢阔客厅,遥遥领先同级大面宽客厅,同类产品难得一见。轩朗进深,提升视野层次,彰显大家气度。自然前厅,写意内外无界全新前厅扩展设计,自然渡内外,将客厅与院子生活融为体。

延承十大专利,匠造归家院境

十大造院专利匠筑归家仪式感形于东方,精于细节,层层递进,为院子构筑正宗纯粹的新中式归家仪式感。

一院一门,私享名门院落天地院墅,独门独户独院。定制匾额高悬门庭,门楣之上见风骨,镌刻世家望族精神。
全龄书院会所,功能全面提升会所功能提升

满足全龄需求约1800㎡私享会所,打造城市书房、恒温泳池、有氧健身中心等圈层生活空间,增设轻餐区、水吧区、儿童活动区等功能空间。 基于会所配套,项目打造专属服务班底、高质量服务标准、定制化特色服务,读懂客户细微需求,定制会所圈层服务,为每一户院子业主带来宾至如归的美好生活体验。
【建面约99㎡使用270㎡/陶然合院】




一座别墅,不仅是一处承载日常起居的建筑空间,更是一个超脱于喧嚣都市之外的精神理想国。泰禾海上院子稀贵院墅,回归国人向往的院居生活,承载三代同堂的怡然自得,让墅居理想院望成真。
【建面约126㎡使用370㎡/臻境合院】





泰禾海上院子设计之初便以传世宅邸为蓝图,立足房间布局、阔绰尺度、楼层分隔、功能分区等考量,匠造符合几代人需求的人性化空间。“垂直分区、代际分层”,在一层一世界的境域里,让三代人甚至四代人,有适度的边界感、彼此的舒适圈,既能和谐共处,又能自在独处。
一层院落风景入怀,寒来暑往,秋收冬藏,满目自然意境。南向卧室独处一方,可作长辈房,方便老人日常起居。LDK一体化餐客厅,引自然风光入室,宴客、聚会更显气派体面,阖家生活的每一帧欢乐情景都将于此上演。
二层至三层豪华套间,功能齐全,每一间卧室都拥有足够尺度,配置独立浴室、衣帽间等功能分区,房间外延景观露台,满足了高阶人物对于空间感的需求。即使二孩家庭成员也各有各的空间,互不影响。
【建面约188㎡/使用470㎡颐景合院】





于城市更高处,静观星月,感悟天地之间的人生真谛,泰禾海上院子超大空中露台,开阔空间视野,是先生修养身心的独处静地,也是太太栽花种草的空中花园;是孩子探索宇宙奥秘的星空营地,也是周末招待亲朋的宴客厅。敞怀天地胜境,安放当代名士的自在与理想。
纵横交通:
链接未来上海南枢纽(奉贤)顶层研究项目研究开启,上海南的定义将海湾提升至全新能级。 东方枢纽2027运营,沪乍杭铁路链接,贯穿海湾,海湾战略能级再跃升;海湾快线已通车,高效拉近海湾与南桥的时间距离;S3高速主线通车,全面对接浦东周浦康桥;市域铁路奉贤线推进,将联动机场联络线,直接换乘通达上海两大机场。

生活配套:佳源梦想广场、易乐惠海湾菜市场、乐汇购物广场 、莘度美食街 维也纳国际酒、奉贤海湾医院等;休闲配套:松声马术俱乐部、海湾高尔夫俱乐部、黄金海岸度假村等奢适配套,临近4A级景区碧海金沙、海湾国家森林公园等城市绿肺。
世界海湾:领衔时代 奉海湾定位为“世界第九大湾区”,杭州湾、临港自贸区新片区两大区域赋能,正接迎时代新机遇,着力打造上海特色产教城融合区。
教育配套:上师大附属实验小学、附属实验中学、上师大第四附属中学等名校环绕,幼、小、初、高一站式配置,迭新精英优质教育。

泰禾海上院子售楼处电话:4 00-8874-108✔【已认证】⭐⭐⭐⭐⭐
泰禾海上院子营销中心电话:400-88 74-108✔✔【已认证】⭐⭐⭐⭐⭐
上海泰禾海上院子官方售楼处电话:400-8874-10 8 VIPLINE✔✔✔【已认证】⭐⭐⭐⭐⭐
如有问题可来电咨询,线上售楼中心,预约销售专员,一对一为您服务!
想了解泰禾海上院子更多信息?拨打售楼处营销中心热线:400-8874-108 (中介勿扰)【24小时热线】
楼盘项目全面介绍,本电话为开发商提供线上预约售楼电话,楼盘项目全面介绍(包含楼盘简介,均价,房价,现房,期房,别墅,叠墅,大平层,价格,楼盘地址,户型图,交通规划,备案价,备案名,项目配套,样板间,开盘时间,认筹时间,楼盘详情,售楼处电话,最新消息,最新详情,周边配套,一房一价,最新进展等详情咨询)楼盘详情丨价格丨更多优惠丨机不可失丨欢迎致电丨诚邀品鉴!售楼处位置丨特价房丨工抵房丨剩余房源丨户型图丨最新消息丨免责声明:将文章内容综合来源于网络、只作分享,版权归原作者所有!!如有侵权,请联系我们,我们第一时间处理如有问题欢迎来电咨询,专业一对一热情服务,让您用专业眼光去买房.如果您想了解更多楼盘详情,欢迎提前预约拨打
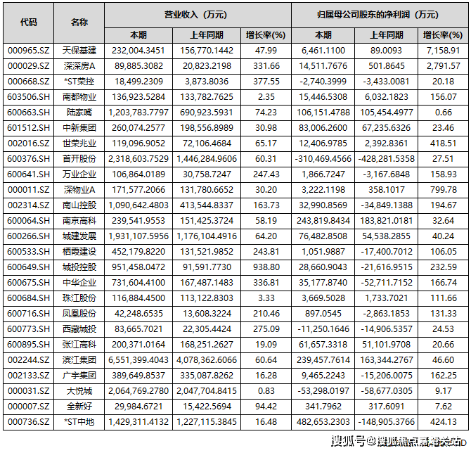
中房网根据同花顺iFinD数据统计,截至10月31日,A股共有85家上市房企披露2025年三季度业绩报告。其中,超4成房企营收实现同比增长;43家房企实现盈利,占比超五成;归母净利润实现同比增长的房企共有37家,占比为43.53%。
自2022年起,房地产行业业绩承压态势已延续数年。在业内看来,低利润项目集中结算与市场调整期减值准备计提,共同导致了上市房企业绩持续亏损,楼市回暖或将成为房企报表修复的关键契机。
超4成房企营收同比增长
从上市房企三季度报告来看,营收实现同比增长的房企共有36家,占比为42.35%;营收同比下滑的有49家,占比57.65%。
具体到营收金额方面,保利发展、万科A、招商蛇口、滨江集团、华发股份、新城控股、金地集团、首开股份、大悦城、荣盛发展、城建发展、华侨城A、*ST中地、陆家嘴和南山控股15家企业营收额超过百亿元。其中,保利发展、万科A和招商蛇口分别以1737.2亿元、1613.9亿元和897.66亿元的营收居于A股上市房企前三位。

部分头部房企亏损较大
归母净利润方面,前三季度共有43家房企实现盈利,占比超过五成。
其中,有7家房企归母净利润超过10亿元,分别是*ST中地、招商蛇口、南京高科、滨江集团、保利发展、上海临港和陆家嘴。

上述房企中,*ST中地(中交地产)的表现较为亮眼。三季报数据显示,公司前三季度营收达142.93亿元,同比增长16.48%;实现净利润48.27亿元,扭亏为盈,同比大幅增长424.13%。
作为一家“披星戴帽”的房企,其账面盈利的核心驱动力来自重大资产重组。今年6月,*ST 中地公告称,计划将旗下房地产开发业务相关的全部资产与负债,转让给控股股东中交房地产集团有限公司。这一重组事项在8月31日完成实质资产交接,房地产业务自此正式退出公司合并报表范围。
据悉,资产重组为* ST中地带来64.89亿元的资产置出相关收益,这一数据直接拉动了当期利润表现,同时推动归属于上市公司股东的净资产转正至12.48亿元。
让人唏嘘的是,三季度业绩亮眼的房企,恰恰是已经退出房地产开发业务的那家。
值得注意的是,期内部分龙头房企归母净利润出现较大亏损,如万科、*ST金科、华夏幸福等。
数据显示,今年前三季度,万科实现营业收入1613.9亿元,同比下滑16.61%;归属于上市公司股东的净亏损280.2亿元,同比下滑56.14%。
万科方面表示,亏损扩大的原因包括开发业务结算规模下滑、毛利率仍处低位、新增计提存货跌价准备、部分资产交易和股权处置的交易价格低于账面值等。
另一亏损规模超百亿的为*ST金科。前三季度,金科实现营业总收入56.99亿元,同比下滑73.57%;归母净利润亏损107.78亿元,同比下滑102.12%。
还有华夏幸福,其亏损规模也近百亿。前三季度,公司营业收入为38.82亿元,同比下降72.09%,归属于上市公司股东的净利润亏损98.29亿元,同比下滑338.67%。
25家房企实现营收和归母净利润双增
前三季度有25家房企实现了营收和归母净利润的双增长。

有37家房企实现归母净利润实现同比正增长。其中,天保基建、深深房A、深物业A、渝开发、*ST中地、世荣兆业、城投控股、南山控股、中华企业、广宇集团、万业企业、南都物业、新黄浦、凤凰股份、中洲控股、珠江股份、栖霞建设17家房企前三季度的归母净利润增长超过100%。
其中,天保基建前三季度归属于上市公司股东的净利润增幅最大,为7158.91%。天保基建表示,业绩增长主要得益于报告期内满足收入结转条件的项目增加,以及冲回的土地增值税增加和资产减值损失减少。
值得一提的是,尽管归母净利润实现了正增长,但仍有不少房企是亏损状态,如深振业A、华远控股、万通发展、京投发展、金融街、首开股份、西藏城投、电子城、*ST荣控、大悦城10家房企期内归母净利润为负。

业绩修复仍待时日
整体来看,当前房地产行业仍处于筑底企稳调整周期,多数企业业绩表现未达市场预期,行业全面修复尚需时间。
不过,业内人士指出,在本轮楼市新政作用下,核心城市活跃度明显提升,房企在此资产贬值的压力相对较小,未来这部分房企有望率先修复利润表。多家企业也表示,通过在核心城市拿利润较高的项目,逐步带动利润表的修复。
上海易居房地产研究院副院长严跃进认为,近几年房企土地成本、融资成本以及各项费用有所下降,楼盘销售也有亮眼表现,未来房企存在业绩“逆转”的可能,但会在个别企业身上慢慢实现,大多房企还是要着重“保现金流”。