金桥碧云澧悦(售楼处) 首页 - 金桥碧云澧悦销售中心 - 环境 - 户型 - 价格 - 地址 - 楼盘详情 - 配套 - 电话 - 交房时间 - 配套 - 电话 - 交房时间

嘉峪关楼市发布 2025-11-25 13:31:21
用手机看
扫描到手机,新闻随时看

扫一扫,用手机看文章
更加方便分享给朋友

✨✨✨【金桥碧云澧悦】营销中心看房预约:4001185086✔✔✔❤❤❤

大家好,我是营销总KK总,也是KK园区的小猪仔。很高兴今天作为代表给大家推荐✨✨✨【金桥碧云澧悦】营销中心看房预约:4001185086✔✔✔❤❤❤这款项目。

最新消息,张江后花园!金桥碧云澧悦,一期少量房源售完!二期直接认购!建面约93-165㎡3-4房,过会均价约5.6万/㎡!最新一房一价表!

素有小上海之称的浦东新区周浦镇,在浦东的发展一直会引起大家的关注, 比如15年前就有了浦东第一家万达广场,足已证明是区域的热点。

2022年9月,上海第三批次土拍中,上海金桥股份以313281万元,竞得浦东新区周浦镇08单元16-02地块,地块出让面积55998.9㎡,容积率1.8, 溢价率0%,成交楼板价31080元/㎡,房地联动价56000元/㎡。

当城市发展迭代至新高度,高端人居的定义早已超越 “居所” 本身 ——✨✨✨【金桥碧云澧悦】营销中心看房预约:4001185086✔✔✔❤❤❤是资源的极致占有,是匠心的精雕细琢,更是身份与格调的无声彰显。立足上海核心热土,✨✨✨【金桥碧云澧悦】营销中心看房预约:4001185086✔✔✔❤❤❤以时代眼光占位稀缺资源,用匠心雕琢空间细节,为城市塔尖人群呈现一席集繁华、静谧、尊崇于一体的理想人居范本。

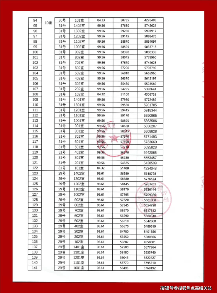
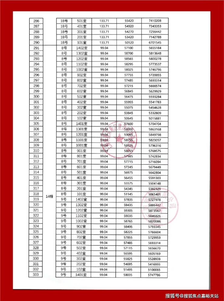
最新一房一价表:

户型图如下:

地块出让面积55998.9㎡,容积率1.8, 溢价率0%,成交楼板价31080元/㎡,房地联动价56000元/㎡。

项目地块东至周园路,西至16-01地块,南至16-03地块,北至韵涛路。根据公示,项目将拟建11F-14F住宅商品房,以及17F保障住宅,1-2F配套。

总占地面积约5.6万平方米,容积率1.8,总建筑面积15.5万平方米,其中地上建筑面积10.6万平方米,地下建筑面积为4.9万平方米。

项目精心规划“一环一轴三园”,于建筑中另辟一方天地,以绿意包裹整个小区,打造绿氧环绕的公园住区。漫步在花园小径,呼吸新鲜氧负离子,在自然中享受阳光微醺和清新绿意,在生机盎然中安享静谧。

在上世纪的德国建筑大师密斯·凡德罗,“Less is more.”的极简主义审美驱动下,项目规划以简约流线型线条为主脉络,框体结构搭配层叠横向线条,辅以庄重典雅的淡色玻璃,从而营造隐而不喧的优雅色彩,简约的设计更能呈现丰富的内涵,细节的掌控凸显匠心的品质。

公园住区,因低密而愈加纯粹,项目以1.8的低容积率,塑造低密人居空间的舒适尺度,疏阔的楼间距,邀阳光与风景入席,避免楼宇间贴合感,推窗即风景,给予生活更多留白。项目规划建面约93-165㎡四种主力户型,家族的生活奢想在此皆有可能。

金桥周浦项目位于浦东周浦镇,在《上海市浦东新区国土空间总体规划(2017-2035)》中,再次重点强调了周浦的定位:

至2035年,发展成为凝聚科创力量,充满人文气息的“魅力小上海”,依托张江科学城,形成以医疗服务、电子商务和时尚创意为主导产业,宜居宜业的综合型城镇。

交通方面,项目距离16号线周浦东站约1.8公里、18号线繁荣路站约2.6公里,算不上名副其实的地铁盘,可借助其他短驳交通工具,通勤到张江、前滩、陆家嘴、人民广场等核心区域还是比较方便的!

自驾出行也十分便捷,通过沪奉公路链接外环、中环、罗山高架以及申嘉湖高速等城市主干道,四通八达!

商业方面,板块内配套成熟,3km范围内有万达广场,小上海步行街,绿地缤纷广场,印象生活广场等商业中心。

教育方面,周边有浦东新区澧溪幼儿园、傅雷幼儿园、澧溪小学、周浦第二小学、周浦实验学校、澧溪中学、傅雷中学等教育配套。

(项目周边的幼儿园、小学、中学等教育设施(如有)是城市公共生活配套的重要组成部分。本项目销售过程中,部分展示与介绍可能涉及项目周边已有或规划中教育设施,但并非项目所在的学区,本项目不承诺任何学区,介绍此信息旨在帮助客户更全面的了解项目周边条件,并不代表我公司对此提供保证。)

医疗方面,项目南侧就是浦东新区周浦医院,步行可达,可以完全满足平时基本的就医需求。

休闲方面,项目1公里范围内有周浦文化公园、周浦体育中心(在建)等配套。

浦东周浦

国企匠心 双轨臻品住宅

「碧云澧悦」二期

建面约93-165㎡3-4房

目前少量房源 直接下定✨✨✨【金桥碧云澧悦】营销中心看房预约:4001185086✔✔✔❤❤❤地段,始终是高端住宅的核心价值密码。真正的豪宅,是对生活细节的精准洞察与极致满足。选择一处居所,更是选择一种生活方式与圈层社交。如果您正寻觅一处匹配身份与生活理想的高端居所,不妨亲临✨✨✨【金桥碧云澧悦】营销中心看房预约:4001185086✔✔✔❤❤❤营销中心,亲眼见证塔尖人居的质感与格调,亲手锁定属于您的城市核心资产。

声明:本文由入驻焦点开放平台的作者撰写,除焦点官方账号外,观点仅代表作者本人,不代表焦点立场。