2025招商时代潮派售楼处电话→售楼中心定位→楼盘百科→首页网站→24小时热线电话→楼盘百科→首页网站→招商时代潮派售楼处地址→售楼中心电话
扫描到手机,新闻随时看
扫一扫,用手机看文章
更加方便分享给朋友
西上海潮流年轻聚集地
约420万起入住TOD高品质大城
超配装标+地铁+约18.5万方潮流商场
上海泗泾招商·时代潮派售楼处电话☎:400-833-6309【售楼热线】✔✔✔营销中心热线☎400-833-6309售楼处地址☎400-833-6309【官网】
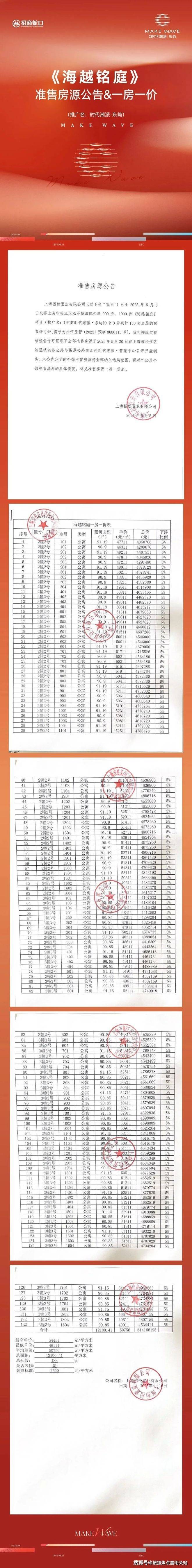
二批次房源已过会
238套建面约103-127㎡3房即将开启认筹
招商时代潮派售楼处电话☎:400-833-6309【售楼热线】✔✔✔
项目推荐 ·理由
招商时代潮派售楼处电话☎:400-833-6309【售楼热线】✔✔✔
招商时代潮派售楼处电话☎:400-833-6309【售楼热线】✔✔✔
内容提要:
*01.基本信息
*02.推售信息
*03.周边配套
招商时代潮派售楼处电话☎:400-833-6309【售楼热线】✔✔✔
如今在上海,预算在千万级以内,其实是有一个“正确答案”的:
那就是TOD新房。
几个方面稍微跟大家解析一下:
通勤便捷程度:地铁始终是目前上海出行更便捷的选择,而TOD新房与地铁几乎0距离。生活配套:同级别求而不得的精致烟火气,只是业主家楼下的繁华一角。溢价能力:相比普通楼盘,TOD综合项目本身更有溢价,也更保值,像莘庄天荟、万科天空之城等都已给出了更有说服力的结论。
数据来源:链家
招商时代潮派售楼处电话☎:400-833-6309【售楼热线】✔✔✔
当然,有利有弊。TOD新房目前的问题是:数量太少,且相当昂贵。
如果你对地段有要求,比如希望在外环附近及环线以内置业TOD新房,你会面临这样的情况:全市目前核心为止的TOD新房,起步均价约7万+。另外还有一点,7090政策已经落幕,如今上海高层的中小套户型面积约120㎡,总价门槛高了约20㎡。这样一来,TOD的新房只会越来越贵。所以,千万要珍惜目前正在火热在售中的招商·时代潮派|东屿,这可能是你以约420万起,买TOD新房的最后机会。
让我们再来回顾下招商时代潮派的来时路:
2024年1月10日,经过56路竞价,最终招商以52.5亿摘下松江区泗泾镇SJS20005单元14-01、16-02、17-07号地块,地块位于9号线泗泾站北侧,出让面积129624.71㎡,房地联动价51100元/㎡。
招商泗泾项目由3幅子地块组成,根据土地转让合同要求显示,规划住宅套数下限1756套,装标2500元/m²(集采价)
14-01号地块东至横港公路,南至横港河,西至外婆泾路,北至恒泽路。
16-02号地块东至横港公路,南至泗陈公路,西至外婆泾路,北至泗安路(规划)17-07号地块东至洞泾港,南至泗陈公路,西至横港公路,北至横港河。
招商时代潮派售楼处电话☎:400-833-6309【售楼热线】✔✔✔
14-01子地块:三类住宅组团用地,住宅套数下限1229套;
16-02子地块:商业服务业用地84%、文化用地16%、公交场站用地;
17-07子地块:三类住宅组团用地76%、商业服务业用地24%,住宅套数下限527套。
招商时代潮派售楼处电话☎:400-833-6309【售楼热线】✔✔✔
地块全装修住宅建筑面积应占总住宅建筑面积的50%以上,中小套型住宅建筑面积不得低于该地块住宅总建筑面积的80%,
招商时代潮派售楼处电话☎:400-833-6309【售楼热线】✔✔✔
根据设计方案显示,14-01地块拟建12幢14F小高层,4幢17-18F高层,3幢5F多层,1幢层高18F的保障房。
招商时代潮派售楼处电话☎:400-833-6309【售楼热线】✔✔✔
17-07地块:占地面积约2.76万方,总建筑面积约10.96万方,容积率2.5,拟建6栋18F高层住宅、1栋18F保障房、1栋14F酒店、3栋2-3F商业以及若干配套用房!
招商时代潮派售楼处电话☎:400-833-6309【售楼热线】✔✔✔
招商时代潮派售楼处电话☎:400-833-6309【售楼热线】✔✔✔
16-02地块作为该项目的商业地块,将打造上海第五座“招商花园城”,致力于打造三年后的网红产品!
进入“「招商时代潮派」”预约看房通道案场销售会第一时间与您联系售楼处电话☎:400-833-6309【售楼热线】✔✔✔营销中心热线☎400-833-6309售楼处地址☎400-833-6309【官网】
社区方面,理想大城全新先锋住区不止繁华,更有双水系环抱,项目本次推出的是17-07地块:这个社区有几点重点,帮大家拎一下:占位上:整个社区的北侧与东侧双面环水、西侧是商业,不止有繁华的城市街景,更有滨水风光,光这个社区的占位和天赋,就已经足够出色。立面上:整体立面风格以现代为主,使用香槟色铝板的框与线组合设计,搭配转角处的弧形元素,使造型更丰富的同时,给人更亲和的立面感受。
招商时代潮派售楼处电话☎:400-833-6309【售楼热线】✔✔✔
归家仪式上:社区主入口借鉴了高定酒店式的入口氛围。
招商时代潮派售楼处电话☎:400-833-6309【售楼热线】✔✔✔
顶部采用香槟金色的斜角造型铝板,搭配手工打磨的星空顶及氛围灯,地面铺设仿石砖,墙面基调则借鉴了华尔道夫酒店的浅米黄色系大理石,并配以精致的礼仪灯设计。招商时代潮派售楼处电话☎:400-833-6309【售楼热线】✔✔✔
不管是用料、颜值、审美力,都展现出了星级酒店式的尊贵归家仪式感。
招商时代潮派售楼处电话☎:400-833-6309【售楼热线】✔✔✔
同时,入户大堂立面造型延续了主立面的框与线结合,飘顶弧形雨棚,组成高定入户大堂,增加入户仪式感。
景观方面,整个社区景观结构通过精心规划的“一带一街一堂一核四园多户多庭”空间构架,使得自然与艺术完美融合。
这里有“艺术家乐园”为主题的儿童乐园;有会客花园“芳瑶馥郁”、阅读空间“林屿花意”、森系空间”悦然氧吧“等。
招商时代潮派售楼处电话☎:400-833-6309【售楼热线】✔✔✔
进入“「招商时代潮派」”预约看房通道
案场销售会第一时间与您联系
去年6月首开以来,以标杆产品力收获大量好评,14-01地块已经网签超900套(数据来源:网上房地产,截止至发文前)。如今,全新17-07地块,招商·时代潮派|东屿,已取证,8号楼&9号楼-127㎡总价预计690万左右,8号楼&9号楼-103㎡总价预计550万左右。
招商时代潮派售楼处电话☎:400-833-6309【售楼热线】✔✔✔
招商时代潮派售楼处电话☎:400-833-6309【售楼热线】✔✔✔
招商时代潮派的落地,真的吸引了太多人的瞩目。
泗泾人民终于等来了心中的白月光、上海西南终于等来了足够能级和体量的商业中心、9号线又迎来了新的枢纽站点...
在这种时代背景下诞生的招商时代潮派,招商真的是倾尽全力。
首先,项目未来交付标准(装标内容仅供参考,最终以项目购房合同约定的交付标准为准):三大件:松下或日立或东芝或三菱或同等档次品牌的空调地暖两联供,百朗或同等档次品牌新风;卫生间:科勒或TOTO或同等档次品牌的台盆、台盆龙头,高仪或科勒或同等档次品牌主卫或单卫智能马桶、淋浴花洒,名族或同等档次品牌的风暖。
厨房:整个厨房不仅严选用国际品牌的装标,挥手即可控制的抽烟机、大面板且具备防干烧技术燃气灶、网红大单体黑石水槽、可抽拉水槽龙头...在细节上更是贴心呵护人居,大大提升居住体验!例如铝框窄边三扇移门+完美系列上轨道设计+拉丝艺术玻璃,是身份的象征、也是业主格调的体现;厨房U型操作台面,并配备了洗碗机、末端净水,甚至凉霸,不仅能解放双手,还解决了炎炎夏日厨房做饭闷热的烦恼;还配备大量收纳系统,例如多功能拉篮、定制亚光翻边造型柜体等。
招商时代潮派售楼处电话☎:400-833-6309【售楼热线】✔✔✔
细节上面,还有入户玄关、电视背景墙、美妆冰箱(主卫)、墙布交付,精致花纹地面玄关入户,柜体别致造型、弧形美学吊顶,所有卧室人字拼地面等高级硬核细节配置均有。(以上装标内容仅供参考。最终以项目购房合同约定的交付标准为准)附体验间实景:
招商时代潮派售楼处电话☎:400-833-6309【售楼热线】✔✔✔
说句实在话,这是在以500万级的价格、卖着千万级豪宅的装标。关于社区,有几点值得一提:第一,项目将把社区的西大门打造成酒店式环岛落客式大门(车行+人行);以同样的规格打造人行的东大门,大门两侧都选用奢石;
还设计有归家大堂;这样的归家仪式感,在整个上海约500万级的新房中,十分少见招商时代潮派售楼处电话☎:400-833-6309【售楼热线】✔✔✔。
招商时代潮派售楼处电话☎:400-833-6309【售楼热线】✔✔✔
招商时代潮派售楼处电话☎:400-833-6309【售楼热线】✔✔✔
第二,项目将配置架空层,为业主来更多的生活想象。
招商时代潮派售楼处电话☎:400-833-6309【售楼热线】✔✔✔
招商时代潮派售楼处电话☎:400-833-6309【售楼热线】✔✔✔
招商时代潮派售楼处电话☎:400-833-6309【售楼热线】✔✔✔
关于招商·时代潮派|东屿本次推出的建面约91㎡户型,小编的评价是:颠覆性的产品!南向双阳台的设计让这个建面约91㎡的户型能与很多建面约100㎡以上的3房越级pk。不管您近期是不是要买房,我都推荐你来看看这个项目:先来看户型图:
“南向双阳台+南北双飘窗”,构筑真3房户型!
招商时代潮派售楼处电话☎:400-833-6309【售楼热线】✔✔✔
不能说所有,但起码小编从业那么多年,所见过的建面约100㎡以内的3房,几乎都面临着一些实用性上的问题。比如:北次卧只能做一间书房甚至是收纳间,而南次卧放下一张标准床后,也没有什么收纳空间或者走道了...
这是百平米3房那么多年一直无法解决的通病。
而招商·时代潮派|东屿此次建面约91㎡户型,就做出来了比市面百平户型更好的的“南向双阳台+南北双飘窗”设计。
先来看南次卧:
这个卧室里放下了一张双人床、一个梳妆台、阳台上还能放休闲座椅和小茶几。
妥妥的“建面约100㎡以上户型的主卧级尺度”。
其次,南向主卧:
整个主卧尺度感是非常宽绰的,加上飘窗带来的视野延展以及收纳空间,居住舒适度拉满。如果是边套的主卧,还会有一个约270°的转角飘窗,尺度感和实用性更上一层楼。招商时代潮派售楼处电话☎:400-833-6309【售楼热线】✔✔✔
再来看北次卧:
虽然样板间做了一个书房,但如果是爸妈偶尔来住一样,或者做一个儿童房,也是绰绰有余的。这样一个低总价、高实用性的产品,却保证了业主所有的生活需求。给了业主一个真正一步到位上车TOD真3房的机会,真的是性价比很高。
S墙设计,释放厨房空间,小户型也能放下双开门冰箱!
招商时代潮派售楼处电话☎:400-833-6309【售楼热线】✔✔✔
市场上绝大多数建面约91㎡的3房户型,小厨房+单开门冰箱是标配。对于一生爱囤货的中国人来说,如此格局只能说“需要忍受”。
招商时代潮派售楼处电话☎:400-833-6309【售楼热线】✔✔✔
为此,招商·时代潮派|东屿设计了一面S墙,可以放下一个超大的双开门冰箱。
同时把原本冰箱的空间都留给了厨房,让业主有更多的空间进行烹饪。
说完户型,我们再来看一下项目的精装和收纳:
招商·时代潮派|东屿的收纳,几乎是做到了极致。首先是厨房:
不管是小碗、大碗还是其他特殊餐具,都有不同的大小规格的抽屉可供整齐的摆放。让整个厨房的空间,得到充分的“扩容”。满足业主对于烹饪、收纳的所有需求。其次还有玄关部分:
玄关收纳更精细,每个格子的规划都很贴近生活,随手物件、女主人的高靴、扫地机器人等都有各自安置空间。
同时玄关柜底部也特意做了镂空,可以摆放拖鞋、换洗的鞋子、摆放扫地机器人等都很实用。卫生间收纳也是相当出色:
招商时代潮派售楼处电话☎:400-833-6309【售楼热线】✔✔✔
尤其是卫生间的镜柜,使用了内外双镜,并且内部的收纳空间相当丰富,小到女主人的发箍、面膜、口红、香水,大到吹风机都有适合的位置。
招商时代潮派售楼处电话☎:400-833-6309【售楼热线】✔✔✔
并且,还配备了一个美妆冰箱,可以收纳昂贵、需要冷藏的化妆品等。另外,项目在整个居住空间设计了更实用的壁龛,包括卫生间、厨房等。
在同样的空间内,构造出了更多的收纳空间,这就是匠心,这就是招商对于人居更深层次的思考
进入“「招商时代潮派」”预约看房通道
案场销售会第一时间与您联系
招商时代潮派售楼处电话☎:400-833-6309【售楼热线】✔✔✔
招商时代潮派售楼处电话☎:400-833-6309【售楼热线】✔✔✔
交通方面
作为9号线泗泾站新一代超级TOD,招商时代潮派与地铁商场直线仅约200米。
与项目同样价格的新房,目前距离轨交都有1-1.5km的距离。
不同的距离步行到地铁站的差距有多少呢?来看百度地图的测距:
数据来源百度地图,以实际为准
换句话说,如果如果您住在距离地铁站1km以外的小区,同时出门的情况下,您刚到地铁站,招商时代潮派的业主已经坐地铁抵达闵行七宝站。
尤其是在夏日、冬季或是大雨的天气下,这样快速接驳地铁站的优势,让无数打工人羡慕。
产业方面9号线,上海东西走向的烫金大动脉,这条轨交的含金量在上海,可谓是数一数二。首先,这条轨交汇聚了上海东西最重要的两大产业:漕河泾&金桥。沿线还有徐家汇、世纪大道等顶级CBD。招商时代潮派售楼处电话☎:400-833-6309【售楼热线】✔✔✔其次,这条轨交汇聚了上海众多顶级商业,包括七宝的万科广场、徐家汇的港汇恒隆、新天地的凯德晶萃广场以及世纪大道的陆家嘴中心和世纪汇广场。
数据来源百度地图,以实际为准
顶级产业+高端商圈,为整条9号线带去了非常出众的出行便捷度。
招商时代潮派售楼处电话☎:400-833-6309【售楼热线】✔✔✔
尤其对于招商时代潮派而言,3站七宝、6站漕河泾、9站徐家汇的便捷度,超过同级别太多。
招商时代潮派售楼处电话☎:400-833-6309【售楼热线】✔✔✔
招商时代潮派售楼处电话☎:400-833-6309【售楼热线】✔✔✔数据来源百度地图,以实际为准
以徐家汇为中心,12-15站能够抵达的区域,一般都是约550-600万级的板块。
而对于招商时代潮派而言,9站即徐家汇,项目总价仅约500万起,这样的通勤效率和地段优势,高出同级别太多。
进入“「招商时代潮派」”预约看房通道案场销售会第一时间与您联系售楼处电话☎:400-833-6309【售楼热线】✔✔✔营销中心热线☎400-833-6309售楼处地址☎400-833-6309【官网】
声明:本文由入驻焦点开放平台的作者撰写,除焦点官方账号外,观点仅代表作者本人,不代表焦点立场。
