金地嘉峯汇售楼处电话→金地嘉峯汇2025首页网站|售楼处电话|在售户型|小区配套|最新价格|周边详情|容积率|楼盘详情
扫描到手机,新闻随时看
扫一扫,用手机看文章
更加方便分享给朋友
金地嘉峯汇售楼处电话:4008569058
上海金地嘉峯汇售楼处电话:4008569058【官方认证】
「宝华紫薇之星」
桃浦科技智慧生态区
11、15号线双轨交
建面约100-121㎡3房
建面约141-188㎡4房
均价约8.55万/㎡精装准现房金地嘉峯汇售楼处电话:4008569058
金地嘉峯汇售楼处电话:4008569058
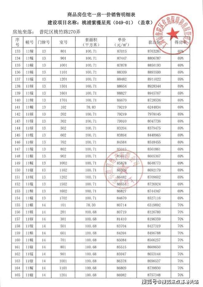
项目一房一价表
项目基本信息
【项目名称】紫薇之星
【所在区域】上海市普陀智创城国际化生态示范区
【开发商】宝华集团&东苑集团
【可售楼栋】首开2-3-6-7-8-10-11
【项目户型】100-101-114-121-141-182-188㎡
【均 价】:均价8.55万/㎡
【建筑类型】板楼
【建筑风格】现代风格
【规划层数】14层
【规划户数】560户
【交付标准】装修交付
【规划幢数】11栋
【交付时间】待定(具体以购房合同约定的时间为准)
【容积率】2.5
【绿化率】35%
【得 房 率】约70%-73%
【车位配比】1:1.2
【楼 间 距】约30米
【层 高】3.15米
【物业公司】待定
【物业费】待定
【人车分流】:
项目特色:
装修状况:精装修
全龄户型 任你挑选
强强联手 品质保障
智创城核心 城市界面全新
定制大师级私境
精装交付 高装修标准
高品质住宅 石材外立面
项目推售详情
项目已是准现房,将推出建面约100-121㎡的3房和建面约141-188㎡的4房。
金地嘉峯汇售楼处电话:4008569058
项目全套户型
金地嘉峯汇售楼处电话:4008569058
金地嘉峯汇售楼处电话:4008569058
金地嘉峯汇售楼处电话:4008569058
样板间实景图▼
项目地块及配套信息
2023年8月,上海二批次土拍,宝华&东苑以总价328800万元成交普陀区桃浦科技智慧城(W06-1401单元)049-01、050-01、051-01地块,地块出让面积30126.9㎡,容积率2.5,溢价率4.05%,楼板价43655元/㎡,房地联动价85500元/㎡。
该地块东至祁连山路,南至桃竹路,西至景泰路,北至常和路,面积3.01公顷,容积率2.5,为商住用地。
根据项目规划设计方案,拟建11幢14F住宅(含1幢保障房)、以及商业、配套用房等建筑。
项目位于普陀桃浦智创城板块,板块总体规划437万方,是目前上海中心城区现存不可多得、可成片开发的“黄金宝地”
桃浦智创城公司董事长王慎曾说,将按照黄浦江两岸的开发标准和现代化国际大都市中心城区的一流标准来规划建设桃浦智创城。
从定位上来说,桃浦智创城要打造的是中心城区转型升级的示范区与上海科创中心重要承载区,从形式上来说和张江科学城有点像,但是要更加细致、功能更全。
效果图
光商办体量就规划了约207万方,已经超过了约197万方的前滩、约126万方的新天地,再加上76万方的科创板块,区域后续的发展绝对值得期待。
示意图
这些并不是“喊口号”,而是实打实的在逐步落地。
目前部分建成的体量中最大的项目是智创TOP产城综合体,规划建筑面积有113万方,同时已经开始对外招商。
作为桃浦地区转型发展的首发项目,由临港集团下属上海市工业区开发总公司主导开发。
实景图
目前,智创TOP的A区已先后引入了东方雨虹、德爱威、乐凯新材料等先进材料头部企业,上海电力高压、李园实业等总部办公相继入驻,这些都是税收千万级的总部型企业。已经能够可以形成产业链创新链的基础,而这种园区集聚、龙头带动的业态也是桃浦产业发展从零开始的一个很好开端!
另外,周边几个商办地块也在推进进度。其中包含了603地块的华谊集团就地转型项目,604地块的英雄天地项目
效果图
随着多年的开发,产城高度融合发展的国际化生态示范区初具规模。相信不久后,桃浦智创城将会有大量的高知人才在此居住和工作。
示意图
交通配套方面:项目临近沪嘉高速,可快速直达虹桥枢纽,往南约1公里为地铁11号线祁连山路站,往东约1.5公里为地铁15号线古浪路站
此外,规划的26号线地铁线在桃浦智创城范围内沿祁连山路也将设立站点,同时区政府也在积极推进轨道交通20号线西延伸服务桃浦智创城核心区的研究工作(已公示,信息来源:上海市人民政府网站)
自驾的话,周边中环高速、外环高速、沪嘉高速贯穿城市动脉。
商业配套方面:静安大融城、环球港、大华虎城嘉年华、百联中环购物广场以及南翔印象城,5大顶尖商圈环绕。此外项目周边还有世纪华联超市、每日优鲜等多个便民超市。
实景图
教育资源方面:目前区域内已形成了涵盖幼、小、初、高全学段的教育设施,引入了高水平的国际化教育学校,核心区已建成上海安生学校(72班),东拓区已引入上海外国语大学附属普陀实验学校,目前均已招生入学;区教育部门根据桃浦智创城的建设进度,按照对标上海一流,适度超前的原则,统筹加快推进高品质幼儿园和九年一贯制学校等高质量教育设施落地。
上海安生学校实景图
医疗资源方面:周边有上海德济医院、上海交通大学医学院附属仁济医院宝山分院、上海市同济医院、上海市普陀区中心医院等。
上海德济医院实景图
更重磅的是,于2022年12月完成立项批复,计划于2024年年底动工的约25万方西部区域医疗中心。未来将成为集医疗、教学、科研、预防于一体的大型综合性医院。而这一项目更是被列入了普陀区卫生健康“十四五”规划重点项目之一
其他重点设施及配套:桃浦着力打造的约100万方智创森态中央公园,其规模相当于长风公园的3倍,这在浦西外环以内可以说是目前绝无仅有的。
已建成约50万方的中央绿地作为桃浦区域转型升级的重要载体,在景观打造上借鉴了伦敦海德公园、纽约中央公园规划设计理念。建成后将成为中心城区最大的开放式公共绿地。
金地嘉峯汇售楼处电话:4008569058
近期,我们通过在线问卷的形式,发起了一项关于下半年买房意向的调查,累计收到约1600份的有效样本数据。
结果显示,2025下半年果断选择买房的受访者,仅占22.98%;观望情绪仍然占据主导位置,选择持币观望的受访者近半数之多。
信心不足,预期不振,是房地产市场接下来要面临的主要挑战,也是“有形之手”需要破解的难题。
未来市场,超一半的人继续看跌
房地产市场仍然处于深度调整阶段,虽然管理层不断出手修复预期,但止跌回稳还需在下半年继续努力。
基于当前的成交走势,以及房企的半年度业绩情况,让意向购房者们对后市难言乐观。
数据显示,上半年全国TOP100房企销售总额为18364.1亿元,同比下降11.8%;TOP30房企的销售总额为13483.9亿元,同比缩水12.9%。
同时,今年1-6月全国范围内销售总额破千亿的房企也仅只有4家,较去年同期减少2家。
从全国范围来看,虽然1-6月份的新建商品房销售面积等数据还未公布,但大概率也逃不过下跌的行情。自2022年开始,这一指标在同比方面,就持续处在报跌的通道中。
在此惯性下,意向购房者不看好未来走势,也是情理之中、意料之内。更何况,当前房地产还没有出现扭转颓势的关键信号释放出来。
在线问卷调查显示,对于接下来的市场走向,超过50%的受访者预判延续下跌、继续筑底。
而在房价方面,结合此前的数据走势,以及当前所处的大环境,看跌的情绪更显浓厚。
最新调查结果显示,有57.31%的人认为后市房价继续下跌,选择走势趋稳的受访者占11.83%,认为会止跌回升的人则仅有8.67%。
救市有的放矢,消除三大顾虑是关键
由此可见,“有形之手”未来稳楼市需要聚焦的三件事,信心、信心、还是信心!
那么问题来了,在提振信心这个痛点上,如何才能做到有的放矢呢?
最新的问卷调查,对于购房者心态也做了一个清晰的画像。结果显示,影响大家做出购房决策三个关键顾虑分别是:
就业难增收难,还贷信心不足;预期不给力,担心房价下跌;政策多变,未来环境不确定性很大。
受访者中,有36.7%的人担心就业与收入不稳影响房贷偿还,36.5%的人害怕房价会继续下跌而不敢入市,另有34%的人对未来环境没有积极预期。
后续的救市动作,除了着力释放需求和改善供给,还需在稳就业、促增收等方面多发力。因为,有购买力才有需求,有需求才有市场。
试想下,当大家的钱包都鼓起来,存款都厚实起来,没道理不去提高生活品质和改善居住环境。
另一方面,让更多的长效机制发挥作用,替代短期的应急式操作,这也是市场所期待的。
值得注意的是,虽然行业整体表现不给力,但我们也应该看到,房地产市场仍不乏真正的刚需和刚改。
调查结果显示,有31.8%的受访者认为,只要价格、房型、配套等都合适,就无所谓是不是购房好时机,买就得了。
当然,下半年止跌回稳依然是房地产工作的主基调,更多新的激励举措肯定还会给市场安排上。毕竟,房地产的支柱地位还没有发生变动。
声明:本文由入驻焦点开放平台的作者撰写,除焦点官方账号外,观点仅代表作者本人,不代表焦点立场。
