恒文御澜湾售楼处电话:4 00-8874-108✔【已认证】⭐⭐⭐⭐⭐ 恒文御澜湾营销中心电话:400-88
74-108✔✔【已认证】⭐⭐⭐⭐⭐ 上海恒文御澜湾官方售楼处电话:400-8874-10 8 VIPLINE✔✔✔【已认证】⭐⭐⭐⭐⭐
——恒文御澜湾——
恒文御澜湾售楼处电话:400-88 74-108✔【最新预约】⭐⭐⭐⭐⭐
恒文御澜湾营销中心电话:400-8874-10 8✔✔【最新认证】⭐⭐⭐⭐⭐
上海恒文御澜湾官方售楼处电话:400-8874-1 08 VIPLINE✔✔✔【最新发布】⭐⭐⭐⭐⭐
如有问题可来电咨询,线上售楼中心,预约销售专员,一对一为您服务!
想了解恒文御澜湾更多信息?拨打售楼处营销中心热线:400-8874-108 (中介勿扰)【24小时热线】
最新消息!临港新片区,蓝湾国际社区总价200万别墅来了!
三国铁,四轨交,名校世外在侧, 【恒文御澜湾】 12月17日开启认购!



蓝湾国际社区
第五代◎卓越生活样板
虹桥商务区崛起催生形成古北新区,陆家嘴发展引领形成碧云国际社区....每个时代的核心产业发展,推动上海国际社区居住需求。
蓝湾国际社区—是临港集团在产城融合上的重要实践区。片区总规划约6平方公里,由临港集团携手Gensler、AECOM、罗兰贝格等诸多国内外咨询机构,对标美国“第二大硅谷”城市—“尔湾”,打造的国际化特色住区,汲取碧云国际社区的开发经验, 未来将升级为继古北、碧云、张江、唐镇之后的第五代高端国际化品质社区。

项目推售建面约104m²3房(小高层)
建面约94-155-158-163-168m²叠墅(四层)
过会均价25900元/m²,
小高层总价约202万起
叠墅总价约234万起



户型图赏鉴


约95㎡宽境叠院:上下双叠境,存粹与私密兼得


下叠: 独立花园、约5.2米挑高地下室 , 一层主卧套房+超大竖厅,独立厨房、卫生间 ,客餐厅一体化连接敞亮落地窗,品茶会友、莳花弄草;二层独立休憩空间, 南向双卧室。
上叠:实现 2+1房2卫 设计,长辈房位于三层、配卫生间,规避上下楼梯的麻烦。 南向阳台与餐客厅一线贯通 ,享受充沛阳光。 四层豪华主卧、北侧连接露台, 空中露台及顶层阳光平台,可量身定制成一方幸福天地。

约155-168㎡天地院墅:当代家庭墅居生活范本,主城院墅典藏



下叠: 约5.2m挑高地下室,独立阔绰花园 ;一层长辈房+超大客餐厅, 二层三房两卫布局,主卧奢享套房。
上叠: 三层长辈房+奢阔一体化客餐厅,U型厨房 空间; 四层三房两卫布局 ,尊享 主卧套房 ;北侧 星空露台及顶层 ,美好生活自由定义。

土拍回顾及规划
2021年1月8日,上海文基置业有限公司(恒文)以90443.0万元竞得自贸区临港新片区奉贤园区二期04FX-0002单元B1503、B1601、B1504地块。 溢价率7.11%,成交楼面价8229元/㎡。
项目四至范围:东至正旭路西侧绿化带,南至莲桂路,西至承贤路东侧绿化带,北至芦五公路南侧绿化带。
项目出让面积70723.4平方米,容积率1.55,建筑面积109902.2平方米, 可售房源680户。

新亚洲四层纯叠墅
致献城市进阶墅居生活提案
「恒文·御澜湾」,以“自然诗意栖居”为核心理念,为改善进阶所著,致力于打造一座兼具自然灵动与奢适生活的低密度品质墅居,为城市菁英人群居住再焕新章。
精致典雅新亚洲风格建筑
采用新亚洲建筑风格,立面采用 多彩涂料及局部铝板 ,外观稳重大气,简洁挺拔的现代建筑立面上增添古典细节,端庄典雅、丰富生动。

取义经典“台地花园”设计
根据地貌调减,整体 南低北高错落式布局 ,通过精妙的高差处理,让每一栋建筑都拥有无遮挡的宽阔视野和极佳的采光通风。

“树木是大地写给天空的诗”—纪伯伦
三进归家礼序 立体景观院落
景观巧妙利用高差以中式院落空间递进关系为切入点,打造 “【府】-【园】-【宅】” 三重空间序列,形成“私密-半私密-半公共-公共空间”,打造三进归家动线。
一进丨【府门】: 社区入口设置迎宾门堂、隐奢门头、松石望府。
二进丨【园径】: “五重垂直绿化”设计,每个巷道排布不同种类植物,高大的乔木撑起绿伞、中层开花灌木和造型树增添色彩与层次、精致的花境和地皮如天然地毯,构建垂直森林、立体景观。同时打造有儿童乐园、成人健身、康养花园、热身运动、品质会客、邻里交流六大全龄功能场景。
三进丨【宅间】: 曲径通幽至宅前,私密性与观赏性结合,采以对景、夹景、端景等手法作空间差异表达,强化空间的围合感,给人以卸下疲惫、舒心放松的温暖归家。
植物配置四季有景: 春有繁花(如樱花、海棠)、夏享浓荫(如香樟、榉树)、秋赏彩叶(如乌桕、红枫)、冬观风骨(如腊梅、红梅)。

生活配套
交通方面: 三国铁:近邻【四团枢纽】,未来3条国铁+4条市域轨交,堪称临港版「虹桥枢纽」。
【沪乍杭铁路】:由上海东站→杭州西站、全程约40分钟,计划2029年通车。
【沪舟甬铁路】:跨海铁路,约40分钟直达舟山岛。
【沪通铁路二期】:全线连接四团枢纽、上海东站、外高桥、宝山、太仓、南通等,计划2027年6月底竣工;届时由四团至上海东站短至15分钟。
四轨交:南枫线、两港快线、27号线(浦南线)、曹奉线4条市域轨交汇聚。
【南枫线】:距离项目约2km,未来东向3站滴水湖、西向4站换乘轨道5号/15号线,计划2029年通车。
【两港快线】:自南枫线抵达滴水湖,约15分钟直达浦东机场&上海东站,计划2026年通车。
【27号线(浦南线)】(规划中):全线规划从浦东金融核心区出发,贯穿花木、张江、四团至滴水湖,实现临港自贸区与浦东中心城区的快速联系。(具体以官方公示为准)
【曹奉线】(规划中):全线预计由曹路、川沙、四团,连通浦东东部各功能区。
自驾上,可通过S2沪芦高速、G1503绕城高速+两港大道、S3沪奉高速,纵横路网,串联临港、奉贤、浦东中部核心区。

商业方面: 项目直距约1公里约6万方【蓝湾天地】,汇集法国雅高集团旗下的美爵酒店、美格菲健身会所、万达影城、大润发生鲜超市、肯德基、星巴克、华为等众多品牌。
位于项目南侧约750米约10万方【临港天荟】在建中。另有,宝龙广场、万达广场,距离项目约5-8公里。

教育方面: 上海世外临港国际学校,沪上最受欢迎的、办学有特色的、上海一流品牌民办寄宿制学校,与项目一路之隔。
临港蓝湾五四学校,又名华东师范大学理解与教育研究所附属实验学校,经由临港集团改扩建,是一所54班规模的九年一贯制学校(公办),位于项目西南侧约500米。
蓝湾幼儿园,对标国内外高水平教学水平,已于2024年9月招生开学的公立幼儿园,位于项目北侧约600米。

医疗方面: 临港熙康医院(直距约1KM)、上海第六人民医院(三甲)。
生态休闲: 海湾国家森林公园——4A级旅游景区,占地约16000亩、相当于8个世纪公园,约3.3公里海岸线,位于项目西南侧约3KM、蓝湾公园——蓝湾的“中央公园”
约1KM半径内,还汇集有皮划艇俱乐部、临港奉贤体育中心、青少年国际足球学校及综合性体育馆等丰富的体育休闲配套。未来,还规划有氧跑道、专业林下自行车道等运动场所。

恒文御澜湾售楼处电话:4 00-8874-108✔【已认证】⭐⭐⭐⭐⭐
恒文御澜湾营销中心电话:400-88 74-108✔✔【已认证】⭐⭐⭐⭐⭐
上海恒文御澜湾官方售楼处电话:400-8874-10 8 VIPLINE✔✔✔【已认证】⭐⭐⭐⭐⭐
如有问题可来电咨询,线上售楼中心,预约销售专员,一对一为您服务!
想了解恒文御澜湾更多信息?拨打售楼处营销中心热线:400-8874-108 (中介勿扰)【24小时热线】
楼盘项目全面介绍,本电话为开发商提供线上预约售楼电话,楼盘项目全面介绍(包含楼盘简介,均价,房价,现房,期房,别墅,叠墅,大平层,价格,楼盘地址,户型图,交通规划,备案价,备案名,项目配套,样板间,开盘时间,认筹时间,楼盘详情,售楼处电话,最新消息,最新详情,周边配套,一房一价,最新进展等详情咨询)楼盘详情丨价格丨更多优惠丨机不可失丨欢迎致电丨诚邀品鉴!售楼处位置丨特价房丨工抵房丨剩余房源丨户型图丨最新消息丨免责声明:将文章内容综合来源于网络、只作分享,版权归原作者所有!!如有侵权,请联系我们,我们第一时间处理如有问题欢迎来电咨询,专业一对一热情服务,让您用专业眼光去买房.如果您想了解更多楼盘详情,欢迎提前预约拨打
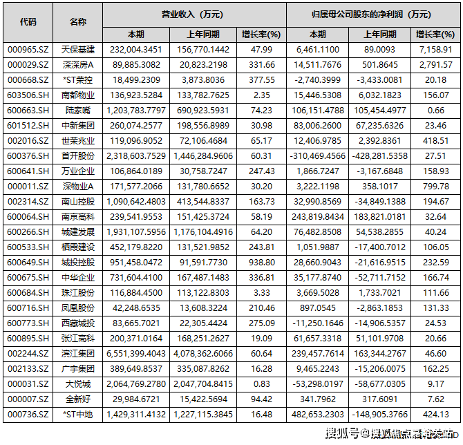
中房网根据同花顺iFinD数据统计,截至10月31日,A股共有85家上市房企披露2025年三季度业绩报告。其中,超4成房企营收实现同比增长;43家房企实现盈利,占比超五成;归母净利润实现同比增长的房企共有37家,占比为43.53%。
自2022年起,房地产行业业绩承压态势已延续数年。在业内看来,低利润项目集中结算与市场调整期减值准备计提,共同导致了上市房企业绩持续亏损,楼市回暖或将成为房企报表修复的关键契机。
超4成房企营收同比增长
从上市房企三季度报告来看,营收实现同比增长的房企共有36家,占比为42.35%;营收同比下滑的有49家,占比57.65%。
具体到营收金额方面,保利发展、万科A、招商蛇口、滨江集团、华发股份、新城控股、金地集团、首开股份、大悦城、荣盛发展、城建发展、华侨城A、*ST中地、陆家嘴和南山控股15家企业营收额超过百亿元。其中,保利发展、万科A和招商蛇口分别以1737.2亿元、1613.9亿元和897.66亿元的营收居于A股上市房企前三位。

部分头部房企亏损较大
归母净利润方面,前三季度共有43家房企实现盈利,占比超过五成。
其中,有7家房企归母净利润超过10亿元,分别是*ST中地、招商蛇口、南京高科、滨江集团、保利发展、上海临港和陆家嘴。

上述房企中,*ST中地(中交地产)的表现较为亮眼。三季报数据显示,公司前三季度营收达142.93亿元,同比增长16.48%;实现净利润48.27亿元,扭亏为盈,同比大幅增长424.13%。
作为一家“披星戴帽”的房企,其账面盈利的核心驱动力来自重大资产重组。今年6月,*ST 中地公告称,计划将旗下房地产开发业务相关的全部资产与负债,转让给控股股东中交房地产集团有限公司。这一重组事项在8月31日完成实质资产交接,房地产业务自此正式退出公司合并报表范围。
据悉,资产重组为* ST中地带来64.89亿元的资产置出相关收益,这一数据直接拉动了当期利润表现,同时推动归属于上市公司股东的净资产转正至12.48亿元。
让人唏嘘的是,三季度业绩亮眼的房企,恰恰是已经退出房地产开发业务的那家。
值得注意的是,期内部分龙头房企归母净利润出现较大亏损,如万科、*ST金科、华夏幸福等。
数据显示,今年前三季度,万科实现营业收入1613.9亿元,同比下滑16.61%;归属于上市公司股东的净亏损280.2亿元,同比下滑56.14%。
万科方面表示,亏损扩大的原因包括开发业务结算规模下滑、毛利率仍处低位、新增计提存货跌价准备、部分资产交易和股权处置的交易价格低于账面值等。
另一亏损规模超百亿的为*ST金科。前三季度,金科实现营业总收入56.99亿元,同比下滑73.57%;归母净利润亏损107.78亿元,同比下滑102.12%。
还有华夏幸福,其亏损规模也近百亿。前三季度,公司营业收入为38.82亿元,同比下降72.09%,归属于上市公司股东的净利润亏损98.29亿元,同比下滑338.67%。
25家房企实现营收和归母净利润双增
前三季度有25家房企实现了营收和归母净利润的双增长。

有37家房企实现归母净利润实现同比正增长。其中,天保基建、深深房A、深物业A、渝开发、*ST中地、世荣兆业、城投控股、南山控股、中华企业、广宇集团、万业企业、南都物业、新黄浦、凤凰股份、中洲控股、珠江股份、栖霞建设17家房企前三季度的归母净利润增长超过100%。
其中,天保基建前三季度归属于上市公司股东的净利润增幅最大,为7158.91%。天保基建表示,业绩增长主要得益于报告期内满足收入结转条件的项目增加,以及冲回的土地增值税增加和资产减值损失减少。
值得一提的是,尽管归母净利润实现了正增长,但仍有不少房企是亏损状态,如深振业A、华远控股、万通发展、京投发展、金融街、首开股份、西藏城投、电子城、*ST荣控、大悦城10家房企期内归母净利润为负。

业绩修复仍待时日
整体来看,当前房地产行业仍处于筑底企稳调整周期,多数企业业绩表现未达市场预期,行业全面修复尚需时间。
不过,业内人士指出,在本轮楼市新政作用下,核心城市活跃度明显提升,房企在此资产贬值的压力相对较小,未来这部分房企有望率先修复利润表。多家企业也表示,通过在核心城市拿利润较高的项目,逐步带动利润表的修复。
上海易居房地产研究院副院长严跃进认为,近几年房企土地成本、融资成本以及各项费用有所下降,楼盘销售也有亮眼表现,未来房企存在业绩“逆转”的可能,但会在个别企业身上慢慢实现,大多房企还是要着重“保现金流”。