升值潜力上
2024年9月14日上海迎来第五批次土地出让,备受关注的 “大宁灵石社区地块”,成交楼板价约68280元/㎡,刷新大宁板块纪录,除去办公,保守估计产品入市均价在 12-13万/㎡, 甚至有说高达16万/㎡。
内行人看门道,大宁土地价值再次得到印证和提升,接下来买到核芯地段、品质新房的门槛将大幅度的提高,而位处 大宁之上,距新地块咫尺距离的 大华·公园柏翠,四批次均价约6.24万/㎡,
居住属性上
“即使不做运动,只是在公园待上二十分钟,也能让自身状态更佳。”
这是《国际环境健康杂志》提出的“二十分钟公园效应”,可见自然对于人类的重要性。
在寸金寸土的城市里,公园变得愈发弥足珍贵。
公园是生活的自然入口,它诠释着都市人对于自然栖居的梦想,是人与人产生链接的重要场所,更是身心安顿的自然空间。 大华公园柏翠售楼处电话:400 - 8894 - 986😺😺
公园是天然的健康磁场,1棵树每天约能产生15kg鲜氧、1平米草地每天能制造约0.9kg鲜氧,并能降低7-8分贝噪音。一座公园,等同于一个造氧、静音、调节温湿度的「天然氧吧」。
公园是永恒的财富价值,从伦敦的海德公园(公园资产最高约合15.6亿人民币/套),到纽约的曼哈顿中央公园(公园资产最高约合16.5亿人民币/套),再到日本新宿的御苑(公园资产单价约6万人民币/㎡),公园旁一直都是豪宅诞生最密集的地方。
大华公园柏翠,因其约 2公里范围内拥有总量约80万方的生态公园(相当于2个长风公园)而火爆于市场,成为公园生活的理想。 大华公园柏翠售楼处电话:400 - 8894 - 986😺😺
其中,包含一个千亩绿境,是家门口的生态绿境,可以随时随地亲近自然。
以及,4大城市公园。例如,约3万方庙行公园、约4.2万方共和公园、约2.7万方三泉公园以及约9.3万方彭浦四季公园, 居住在此,可以尽情的享受公园生活。大华公园柏翠售楼处电话:400 - 8894 - 986😺😺
(示意图,数据来源于网络)

大华公园柏翠售楼处电话:400 - 8894 - 986😺😺
项目凭借天然大氧吧旁,板块的价值、低密的规划以及轻奢的品质,都是爆火市场的理由。

大华公园柏翠售楼处电话:400 - 8894 - 986😺😺
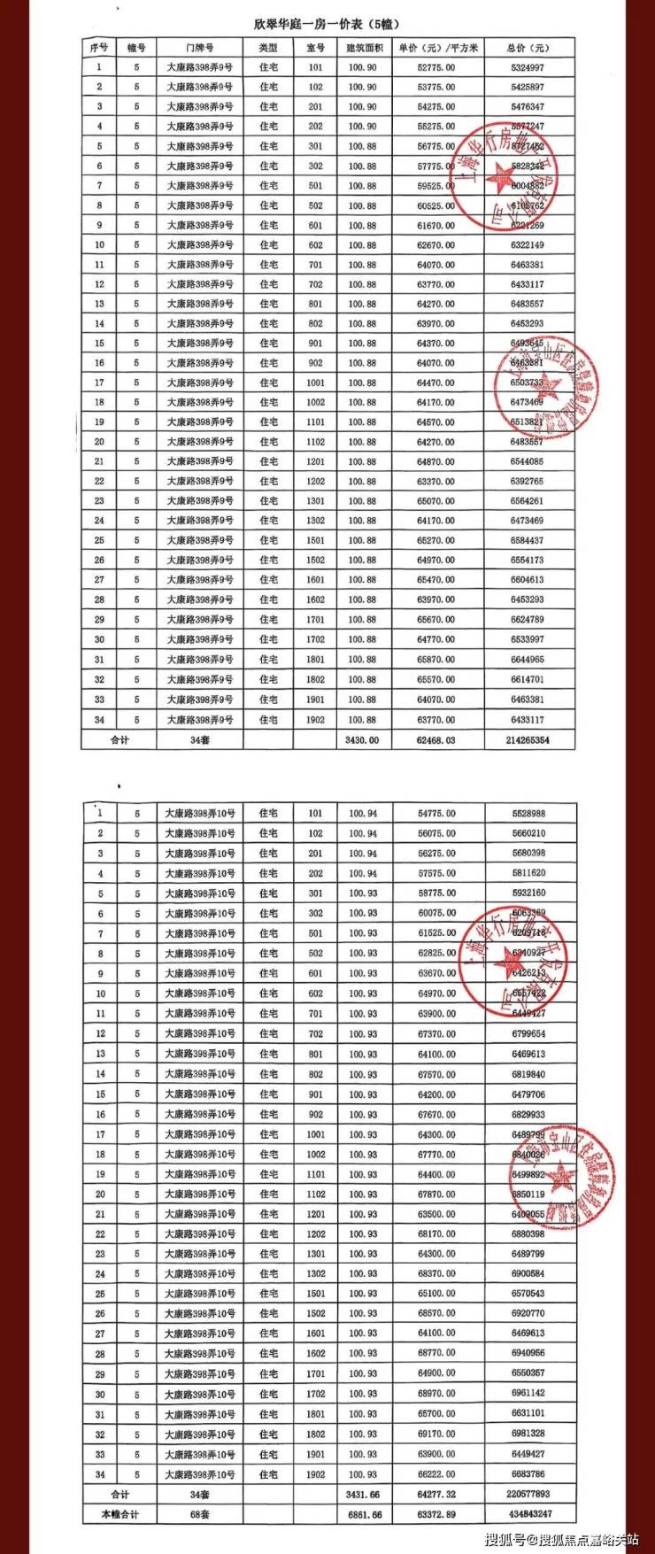
收官房源开盘热卖中!
164套建面约101-142m²3-4房
过会均价65327元/m²,总价520万起
124㎡户型已售罄


大华公园柏翠售楼处电话:400 - 8894 - 986😺😺


大华公园柏翠售楼处电话:400 - 8894 - 986😺😺



大华公园柏翠售楼处电话:400 - 8894 - 986😺😺

大华公园柏翠售楼处电话:400 - 8894 - 986😺😺
户型图赏鉴
建面约101㎡越阶三房

大华公园柏翠售楼处电话:400 - 8894 - 986😺😺
经典飞机户型+三开间朝南+餐客厨一体化+约5.3m的阔绰横厅,整体南向面宽达到约11.5m!整个户型的通透度和采光度很棒。
全屋飘窗设计+不封阳台+整个户型几乎没有过道面积的浪费,每个房间面积都很实用!得房率很高!
两卫的人性化设计,即使是上班早高峰,排队洗漱不用等待,非常细节。
这个户型兼顾了实用性,也很好地控制总价段,很适合小年轻群体上车! 大华公园柏翠售楼处电话:400 - 8894 - 986😺😺

建面约124㎡超享四房

大华公园柏翠售楼处电话:400 - 8894 - 986😺😺
四开间朝南+南北通透!南向面宽达到约12.8m,采光度不言而喻清晨阳光照进来,开启活力满满的居家生活。
主卧、次卧、主卫、次卫都做了飘窗设计,很好地延展了空间感,美观又实用。得房率很高。不封阳台,相当于是赠送一半面积,实打实省钱。 大华公园柏翠售楼处电话:400 - 8894 - 986😺😺
建面约142㎡天幕四房

大华公园柏翠售楼处电话:400 - 8894 - 986😺😺
这套建面约142㎡的四房,堪称人生进阶之作。 两个电梯厅,拥有独立的入户空间,类一梯一户的设计,“电梯前室+独立玄关”隔绝喧嚣、打扰,给到业主归家仪式感和尊崇感、私密性!

大华公园柏翠售楼处电话:400 - 8894 - 986😺😺
项目信息
3月26日,上海宝山区发布公示,拟以协议方式出让宝山区庙行镇N12-1001单元15-03地块(“城中村”改造项目-庙行镇康家村)。
根据现有的信息可以看到,此次推出的旧改地块,其实是在之前的新盘大华公园城市三期的南地块,两个地块紧挨着(四期:大华公园柏翠)。 大华公园柏翠售楼处电话:400 - 8894 - 986😺😺
为什么不叫大华公园城市四期了?因为此次推出的是大华高端系列产品。

大华公园柏翠售楼处电话:400 - 8894 - 986😺😺
项目四至范围:东至15-06地块(公共绿地)、南至15-04地块、西至大康路、北至共康路,占地面积43500㎡,总建筑面积140051.13㎡,容积率2.20。

大华公园柏翠售楼处电话:400 - 8894 - 986😺😺
根据项目规划设计方案, 拟建15幢建筑。其中,4幢16层、10幢17层、1幢18层保障房以及配套用房等建筑、其中18F的楼栋为保障房。 整个小区共计834户。可以看到,小区的排布比较传统,最大约70米开阔楼距,尊崇一梯两户,车位比也比较充足。 大华公园柏翠售楼处电话:400 - 8894 - 986😺😺

大华公园柏翠售楼处电话:400 - 8894 - 986😺😺
整个小区,南面规划了一大幅教育用地,其中规划了复旦附中旦华学校,西面原有的工业厂房,也进行了新的绿地规划。

大华公园柏翠售楼处电话:400 - 8894 - 986😺😺
项目社区秉承 “内外双公园、城市公园一体化”理念,打造出 “一轴、一带、一环、九大花园空间”的生态品质社区。

大华公园柏翠售楼处电话:400 - 8894 - 986😺😺
一轴:纵向公园归家轴
一带:横向精致花园带
一环:阳光有氧环形跑道

大华公园柏翠售楼处电话:400 - 8894 - 986😺😺
九园:潮汐花园(社区外围口袋花园)、浔湾秘境(会所式入户)、社交剧场、漫游森境、下沉会所、阅读花园、社交花园、自然博物馆。

大华公园柏翠售楼处电话:400 - 8894 - 986😺😺
约80米气派门面:非凡界面昭示,彰显大家门风。

大华公园柏翠售楼处电话:400 - 8894 - 986😺😺
星级酒店大堂:全T2设计,出入从容,悦享私密尊崇。

大华公园柏翠售楼处电话:400 - 8894 - 986😺😺
高感车库:引光入径,指引回家方向,营造明亮温馨的仪式感。

大华公园柏翠售楼处电话:400 - 8894 - 986😺😺
大华物业: 国家一级物业管理资质,中国物业服务百强企业,为逾百万家庭幸福生活保驾护航

大华公园柏翠售楼处电话:400 - 8894 - 986😺😺
生活配套
从地图上看,该地块距离静安区的直线距离只有800米,距离大宁核心区域仅约5公里,不仅离大宁国际商圈近,周边还有宝山万达、大华商圈等大型商业配套。 大华公园柏翠售楼处电话:400 - 8894 - 986😺😺
来源:百度地图

大华公园柏翠售楼处电话:400 - 8894 - 986😺😺
还有一个必须要注意的是,大宁区域的“大数据与云计算中心”市北高新,已在持续进行产业和人口导入,未来也将带动整个大宁北区域的腾飞。

大华公园柏翠售楼处电话:400 - 8894 - 986😺😺
交通方面:依托经过传统市中心的1号线(共康路站约1.8公里、18号线大康路站均约1.8公里),可以快速直达大宁、人民广场、淮海路、陕西南路等,经转乘通往陆家嘴、南京东路、南京西路也极为便捷。
1号线线路图

大华公园柏翠售楼处电话:400 - 8894 - 986😺😺
自驾上,南北高架+中环+外环+康宁路+长江西路,路网发达,可便捷通勤城市各重要节点。
商业方面:无缝链接大宁久光中心、大宁音乐广场、大宁国际商业广场等
周边约900M范围:社区邻里中心商业广场、场北集贸市场、北斗星广场
直线距离约2KM范围内:宝山万达广场、宝山购物中心等
直线距离离约2.5KM:大华老镇嘉年华商业广场,多类型商业形态荟萃
直线范围约4KM内:宝山山姆超市、弘基文化休闲广场、经纬汇等

大华公园柏翠售楼处电话:400 - 8894 - 986😺😺
教育方面:附近不仅有陈伯吹实验幼儿园、华东师大实验学校等名校,项目正南侧一路之隔,还有个九年一贯制学校在建设中。
陈伯吹实验幼儿园

大华公园柏翠售楼处电话:400 - 8894 - 986😺😺
生态休闲:项目坐拥五大公园、约80万方伟岸绿境环抱,媲美“新江湾湿地公园、世纪公园、长风公园”等,拥享“自然生态+稀臻难寻”双重价值属性。具体包括千亩绿境(约60万方绿化在侧),约3万方庙行公园、约4.2万方共和公园,约2.7万方三泉公园、约9.3万方彭浦四季公园等。 大华公园柏翠售楼处电话:400 - 8894 - 986😺😺

大华公园柏翠售楼处电话:400 - 8894 - 986😺😺
房价调整的城市数量,又多了起来。
6月16日,国家统计局发布2025年5月70个大中城市商品住宅销售价格变动情况。70城中,13个城市新房价格环比上涨,比4月份减少9个;3个城市二手住宅价格环比上涨,比4月份减少2个。
而3月份,24个城市新房价格环比上涨,10个城市二手住宅价格上涨。两个月时间,房价上涨城市数量少了一半。这也说明,楼市在持续回稳中遇到了新的“阻力”,政策效应开始减弱。
从新房市场来看,5月份,70城新房价格环比下跌0.2%,跌幅比4月份扩大0.1个百分点,此前4个月跌幅均保持在0.1%;同比下跌4.1%,跌幅比4月份收窄0.4个百分点,且持续7个月收窄。也就是说,相比去年楼市表现,今年市场形势仍是持续好转的。
从二手房市场看,5月份,70城二手房价格环比下跌0.5%,跌幅比4月份扩大0.1个百分点;同比下跌6.3%,跌幅收窄0.5个百分点,且连续8个月收窄。这说明,对比去年楼市表现看,今年二手房市场亦处于持续改善中,市场向好的趋势并未改变。
这日,国家统计局新闻发言人、国民经济综合统计司司长付凌晖在国新办发布会上表示,今年以来,随着各项稳定房地产的政策加快落实,房地产市场继续朝着止跌回稳的方向在迈进。70个大中城市房价同比降幅继续收窄,商品房库存持续减少。
值得注意的是,5月份,一二线城市新房价格均再度转跌,不利于全国楼市稳定预期。
其中,一线城市新房价格环比由4月持平转为下降0.2%,此前1月份、2月份、3月份均上涨0.1%。仅上海新房价格上涨0.7%,北京、广州和深圳分别下降0.4%、0.8%和0.4%。
二线城市新房价格环比亦由4月持平转为下降0.2%;三线城市新房价格环比下降0.3%,降幅比4月份扩大0.1个百分点。
二手房市场价格跌得更多,挂牌量持续高位下,“以价换量”现象持续主导市场。就连上海,二手房价格也在调整。
5月份,一线城市二手房价格环比下降0.7%,降幅比4月扩大0.5个百分点。其中,北京、上海、广州和深圳分别下降0.8%、0.7%、0.8%和0.5%。二三线城市二手房价格环比均下降0.5%,降幅均扩大0.1个百分点。
从近3个月数据对比看,更能反映市场形势变化。今年3月份,一线城市二手房价格环比上涨0.2%,到了4月份转为下降0.2%,5月份降幅扩大至0.7%。
具体来看,3月份,4个一线城市中,北京、上海、深圳二手房价格分别上涨0.5%、0.4%和0.3%;4月份,只有上海上涨0.1%,广州持平,北京和深圳分别下降0.6%和0.3%;5月份,全部下跌。
也就是说,进入5月份,市场出现较大压力,更多城市加入房价下跌行列。
70个大中城市中,只有13个城市新房价格环比上涨。其中,杭州上涨0.8%,领涨全国;上海上涨0.7%,居第二;南宁和乌鲁木齐均上涨0.4%,并列第三;沈阳和长沙均上涨0.3%,并列TOP5。
在此轮行业复苏中,上海、杭州购房需求强劲,房价持续回稳。3月份、4月份,上海新房价格环比分别上涨0.7%、0.5%,居全国 第一;杭州分别上涨0.5%、0.4%,居全国第二。
5月份,70个大中城市中,只有3个城市二手房价格环比上涨,分别是无锡(上涨0.2%)、南充(上涨0.1%)、洛阳(上涨0.1%)。而4月份还在上涨的赣州、上海、成都、西宁、丹东,全部转为下跌。
房价不会持续降下去。一个值得注意的现象是,随着房价震荡下跌,市场底部正在形成,买卖双方议价空间正在收窄。
克而瑞数据显示,5月份,典型城市二手房平均议价空间为15.4%,环比下降0.1个百分点,再创2024年以来新低。苏州、武汉、西安等8个城市5月平均议价空间低于15%,其中苏州、南京、西安、武汉更是连续7个月低于10%,挂牌价中的“水分”相对较小。
基于数据,克而瑞认为,二手房买卖双方对于房价的心理预期在进一步趋同。当前各地对于城市更新进程的加快推进,正在进一步改善主城区的宜居环境,专项债收储则在加快改善各地重点库存压力,得益于各地稳市场举措的加快落实,预计下半年二手房平均议价空间仍将延续低位。
同时,政策对楼市的支持力度也在加大。新一轮提振住房消费政策,正在各地加速落地。
就在几日前,6月13日,国务院总理李强主持召开国务院常务会议,明确“要对全国房地产已供土地和在建项目进行摸底,进一步优化现有政策,提升政策实施的系统性有效性,多管齐下稳定预期、激活需求、优化供给、化解风险,更大力度推动房地产市场止跌回稳”。
这是基于政策应出尽出情况下,中央就推动房地产市场止跌回稳作出的新部署;也是基于当前疲弱的市场形势,传递出的房地产纾困新思路。此番中央表态,也给市场注入了一剂强心针,市场各方都在期待政策发力与落地。
付凌晖亦表示,房地产市场仍在调整过程当中,市场信心还待持续修复,市场供求关系仍待改善,促进房地产止跌回稳还需要继续努力。
中信证券认为,尽管长期底部可期,但风险仍存,若政策力度不及预期大,低线城市及低质房产可能继续下跌;房企盈利恢复缓慢或拖累行业整体复苏。