大华·公园柏翠售楼处2025首页网站|大华·公园柏翠售楼处电话|在售户型|小区配套|最新价格|周边详情|容积率|楼盘详情

嘉峪关楼市发布 2025-06-14 13:54:10
用手机看
扫描到手机,新闻随时看

扫一扫,用手机看文章
更加方便分享给朋友

大华公园柏翠售楼处电话:400 - 856 - 9058

大华公园柏翠

售楼处电话:400 - 856 - 9058

如有问题欢迎来电咨询,来电即可享受买房优惠!

预约来电尊享购房优惠,可预约案场内部销售人员,专业一对一热情服务,让您用专业眼光去买房。

楼盘项目全面介绍,本电话为开发商提供线上售楼处电话,楼盘项目全面介绍(包含楼盘简介,楼盘积分,房价,价格,楼盘地址,户型图,交通规划,备案价,项目配套,楼盘详情,售楼处电话,最新消息,最新详情,周边配套,最新进展等详情咨询)

大华公园柏翠售楼处电话:400 - 856 - 9058

大华公园柏翠售楼处电话:400 - 856 - 9058

大华公园柏翠营销中心热线400 - 856 - 9058预约看房热线

大华公园柏翠售楼处电话:400 - 856 - 9058

【售楼处预约热线】(一对一热情服务)

看房请务必致电与销售确认时间,仅预约客户可享受开发商内部优惠,专属老带新推荐奖!这才铸就了如今缦云上海极强的产品力!

大华公园柏翠售楼处电话:400 - 856 - 9058大华公 园柏翠,因其约2公里 范围内拥有总量约80万方的生态公园(相当于2个长风公园)而火爆于市场,成为公园生活的理想。

其中,包含一个千亩绿境,是家门口的生态绿境,可以随时随地亲近自然。

大华公园柏翠售楼处电话:400 - 856 - 9058以及,4大城市公园。例如,约3万方庙行公园、约4.2万方共和公园、约2.7万方三泉公园以及约9.3万方彭浦四季公园,居住在 此,可以尽情的享受公园生活。大华公园柏翠售楼处电话:400 - 856 - 9058

大华公园柏翠售楼处电话:400 - 856 - 9058项目凭 借天然大氧吧旁,板块的价值、低密的规划以及轻奢的品质,都是爆火市场的理由。

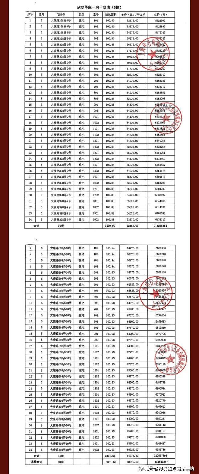
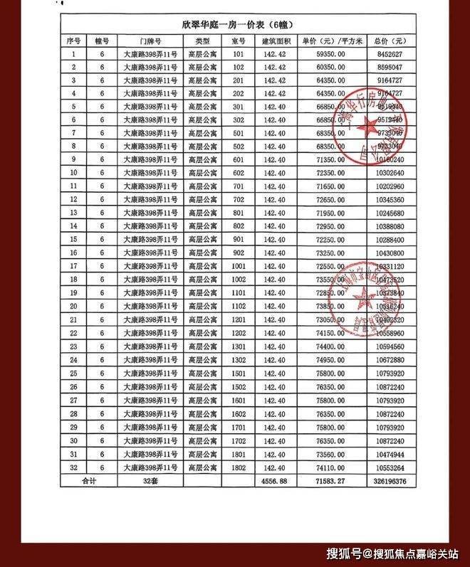
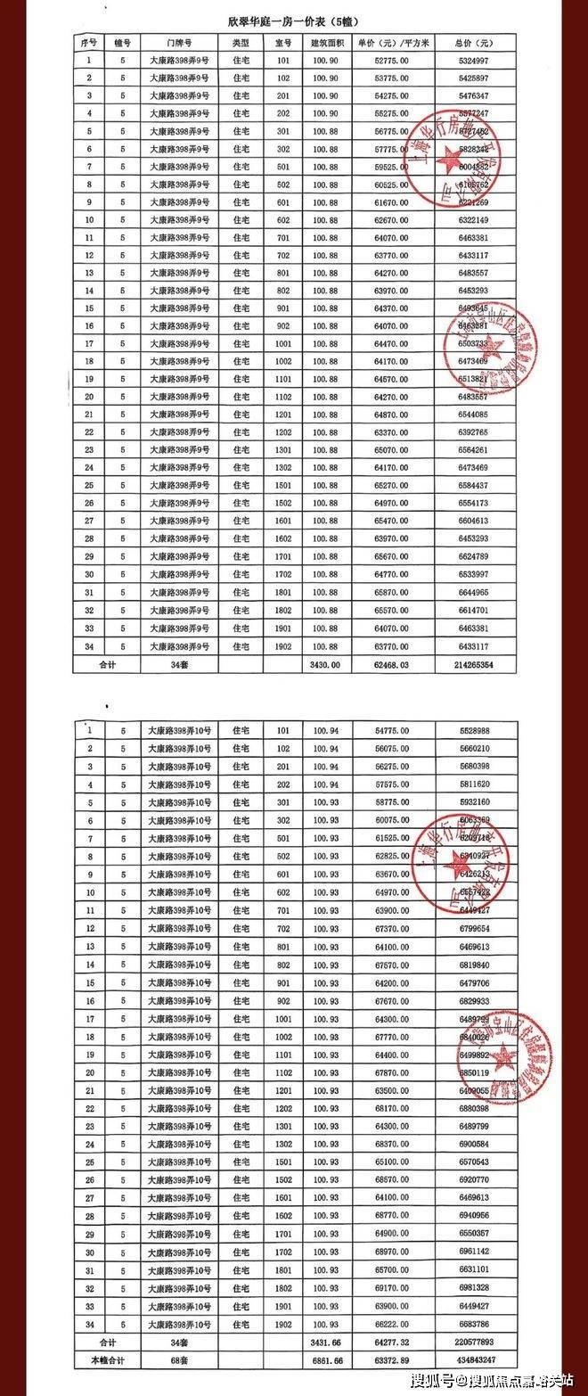
收官房源开盘热卖中!

164套建面约101-142m²3-4房

过会均价65327元/m²,总价520万起

124㎡户型已售罄大华公园柏翠售楼处电话:400 - 856 - 9058

大华公园柏翠售楼处电话:400 - 856 - 9058

户型图赏鉴

建面约101㎡越阶三房

大华公园柏翠售楼处电话:400 - 856 - 9058经典飞 机户型+三开间朝南+餐客厨一体化+约5.3m的阔绰横厅,整体南向面宽达到约11.5m!整个户型的通透度和采光度很棒。

全屋飘窗设计+不封阳台+整个户型几乎没有过道面积的浪费,每个房间面积都很实用!得房率很高!大华公园柏翠售楼处电话:400 - 856 - 9058

两卫的人性化设计,即使是上班早高峰,排队洗漱不用等待,非常细节。

这个户型兼顾了实用性,也很好地控制总价段,很适合小年轻群体上车!大华公园柏翠售楼处电话:400 - 856 - 9058

大华公园柏翠售楼处电话:400 - 856 - 9058

建面约124㎡超享四房

大华公园柏翠售楼处电话:400 - 856 - 9058四开间 朝南+南北通透!南向面宽达到约12.8m,采光度不言而喻清晨阳光照进来,开启活力满满的居家生活。

大华公园柏翠售楼处电话:400 - 856 - 9058主卧、 次卧、主卫、次卫都做了飘窗设计,很好地延展了空间感,美观又实用。得房率很高。不封阳台,相当于是赠送一半面积,实打实省钱。

建面约142㎡天幕四房大华公园柏翠售楼处电话:400 - 856 - 9058

这套建面约142㎡的四房,堪称人生进阶之作。 两个电梯厅,拥有独立的入户空间,类一梯一户的设计,“电梯前室+独立玄关”隔绝喧嚣、打扰,给到业主归家仪式感和尊崇感、私密性!

项目信息

大华公园柏翠售楼处电话:400 - 856 - 9058

大华公园柏翠售楼处电话:400 - 856 - 90583月26日,上海宝山区发布公示,拟以协议方式出让宝山区庙行镇N12-1001单元15-03地块(“城中村”改造项目-庙行镇康家村)。

大华公园柏翠售楼处电话:400 - 856 - 9058根据现有的信息可以看到,此次推出的旧改地块,其实是在之前的新盘大华公园城市三期的南地块,两个地块紧挨着(四期:大华公园柏翠)。

为什么不叫大华公园城市四期了?因为此次推出的是大华高端系列产品大华公园柏翠售楼处电话:400 - 856 - 9058。

大华公园柏翠售楼处电话:400 - 856 - 9058项目四至范围:东至15-06地块(公共绿地)、南至15-04地块、西至大康路、北至共康路,占地面积43500㎡,总建筑面积140051.13㎡,容积率2.20。大华公园柏翠售楼处电话:400 - 856 - 9058

大华公园柏翠售楼处电话:400 - 856 - 9058根据项目规划设计方案,拟建1 5幢建筑。其中,4幢16层、10幢17层、1幢18层保障房以及配套用房等建筑、其中18F的楼栋为保障房。整个小 区共计834户。可以看到,小区的排布比较传统,最大约70米开阔楼距,尊崇一梯两户,车位比也比较充足。大华公园柏翠售楼处电话:400 - 856 - 9058

大华公园柏翠售楼处电话:400 - 856 - 9058整个小区,南面规划了一大幅教育用地,其中规划了复旦附中旦华学校,西面原有的工业厂房,也进行了新的绿地规划。

大华公园柏翠售楼处电话:400 - 856 - 9058项目社区秉承“内外 双公园、城市公园一体化”理念,打造出“一轴 、一带、一环、九大花园空间”的生态品质社区。

一轴:纵向公园归家轴

一带:横向精致花园带

一环:阳光有氧环形跑道大华公园柏翠售楼处电话:400 - 856 - 9058

九园:潮汐花园(社区外围口袋花园)、浔湾秘境(会所式入户)、社交剧场、漫游森境、下沉会所、阅读花园、社交花园、自然博物馆。

约80米气派门面:非凡界面昭示,彰显大家门风。大华公园柏翠售楼处电话:400 - 856 - 9058

星级酒店大堂:全T2设计,出入从容,悦享私密尊崇。大华公园柏翠售楼处电话:400 - 856 - 9058

高感车库:引光入径,指引回家方向,营造明亮温馨的仪式感。大华公园柏翠售楼处电话:400 - 856 - 9058

大华物业: 国家一级物业管理资质,中国物业服务百强企业,为逾百万家庭幸福生活保驾护航大华公园柏翠售楼处电话:400 - 856 - 9058

生活配套

大华公园柏翠售楼处电话:400 - 856 - 9058

大华公园柏翠售楼处电话:400 - 856 - 9058从地图上看,该地块距离静安区的直线距离只有800米,距离大宁核心区域仅约5公里,不仅离大宁国际商圈近,周边还有宝山万达、大华商圈等大型商业配套。大华公园柏翠售楼处电话:400 - 856 - 9058

来源:百度地图

大华公园柏翠售楼处电话:400 - 856 - 9058还有一个必须要注意的是,大宁区域的“大数据与云计算中心”市北高新,已在持续进行产业和人口导入,未来也将带动整个大宁北区域的腾飞。大华公园柏翠售楼处电话:400 - 856 - 9058

大华公园柏翠售楼处电话:400 - 856 - 9058交通方 面:依托经过传统市中心的1号线(共康路站约1.8公里、18号线大康路站均约1.8公里),可以快速直达大宁、人民广场、淮海路、陕西南路等,经转乘通往陆家嘴、南京东路、南京西路也极为便捷。大华公园柏翠售楼处电话:400 - 856 - 9058

1号线线路图

大华公园柏翠售楼处电话:400 - 856 - 9058自驾上,南北高架+中环+外环+康宁路+长江西路,路网发达,可便捷通勤城市各重要节点。

商业方面:无缝链接大宁久光中心、大宁音乐广场、大宁国际商业广场等

周边约900M范围:社区邻里中心商业广场、场北集贸市场、北斗星广场

直线距离约2KM范围内:宝山万达广场、宝山购物中心等

直线距离离约2.5KM:大华老镇嘉年华商业广场,多类型商业形态荟萃

直线范围约4KM内:宝山山姆超市、弘基文化休闲广场、经纬汇等大华公园柏翠售楼处电话:400 - 856 - 9058

大华公园柏翠售楼处电话:400 - 856 - 9058教育方 面:附近不仅有陈伯吹实验幼儿园、华东师大实验学校等名校,项目正南侧一路之隔,还有个九年一贯制学校在建设中。大华公园柏翠售楼处电话:400 - 856 - 9058

陈伯吹实验幼儿园

大华公园柏翠售楼处电话:400 - 856 - 9058生态休 闲:项目坐拥五大公园、约80万方伟岸绿境环抱,媲美“新江湾湿地公园、世纪公园、长风公园”等,拥享“自然生态+稀臻难寻”双重价值属性。具体包括千亩绿境(约60万方绿化在侧),约3万方庙行公园、约4.2万方共和公园,约2.7万方三泉公园、约9.3万方彭浦四季公园等。大华公园柏翠售楼处电话:400 - 856 - 9058

大华公园柏翠售楼处电话:400 - 856 - 9058

声明:本文由入驻焦点开放平台的作者撰写,除焦点官方账号外,观点仅代表作者本人,不代表焦点立场。